Студопедия

Главная страница Случайная страница

КАТЕГОРИИ:

АвтомобилиАстрономияБиологияГеографияДом и садДругие языкиДругоеИнформатикаИсторияКультураЛитератураЛогикаМатематикаМедицинаМеталлургияМеханикаОбразованиеОхрана трудаПедагогикаПолитикаПравоПсихологияРелигияРиторикаСоциологияСпортСтроительствоТехнологияТуризмФизикаФилософияФинансыХимияЧерчениеЭкологияЭкономикаЭлектроника






Расчет численности работников






В данном разделе рассчитываются численность работников и фонд оплаты труда.

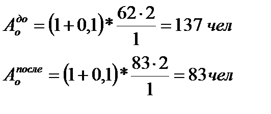
Контингент основных рабочих по ремонту тяговых двигателей определяется по формуле:

,

где b – добавочный процент рабочих на замещение (равен 10 %);

Сi – количество рабочих мест (Таблица 2);

S – число смен (принять равным 2);

ni – норма обслуживания (n = 1).

Контингент ремонтных рабочих в цеху рассчитывается по нормативам:

· норма времени на одну ремонтную единицу составляет на: текущий ремонт – 0, 1 ч (производится еженедельно), осмотр – 0, 85 ч, малый ремонт – 6, 1 ч;

· структура ремонтного цикла для всего оборудования: К-О-О-М-О-О-М-О-О-С-О-О-М-О-О-М-О-О-К (К - капитальный ремонт; М - малый ремонт; С - средний ремонт; О - осмотр);

o 12 – осмотров в структуре ремонтного цикла;

o 4 – малых ремонтов;

o 2 – капитальных ремонтов;

o 1 - средний ремонт.

· длительность ремонтного цикла составляет для:

o металлорежущих станков – 4 года;

o подъемно-транспортного оборудования – 12 лет;

o остального оборудования – 9 лет.

Численность ремонтных рабочих по содержанию оборудования определяется по формуле:

,

где Т - трудоемкость ремонта и осмотров;

F - число часов, отработанных за год каждым рабочим (F = 1995 ч).

Трудоемкость ремонта определяется по формуле:

,

где атр, а0, амр – соответственно норма времени на одну ремонтную единицу, на текущий ремонт, осмотр и малый ремонт, ч;

mтр, m0, mмр – количество соответственно текущих ремонтов, осмотров и малых ремонтов оборудования за год;

Сi – количество принятого оборудования (Таблица 2);

Кi – коэффициент, учитывающий группу ремонтной сложности (Приложение, Таблица П.5).

где f – количество ремонтов в структуре ремонтного цикла;

d – длительность ремонтного цикла.

 

Найдем количество текущих ремонтов для металлорежущих станков. Так как текущий ремонт выполняется еженедельно, то для всех типов оборудования:

mтр =

Найдем количество осмотров:

Количество малых ремонтов:

Трудоемкость на единицу оборудования:

Суммарная трудоемкость по ремонту внутреннего оборудования определяем в Таблицу 5.1:

Таблица 5.1 - Определение трудоемкости ремонта

Номер оборудования Коэффициент (К) Кол-во лет в цикле Трудоемкость на единицу оборудования, нормо-час До реконструкции После реконструкции
кол-во оборудования трудоемкость, нормо-час кол-во оборудования трудоемкость, нормо-час
      9, 02   631, 4   721, 6
      9, 02   1172, 6   1623, 6
      9, 02   90, 2   90, 2
      13, 85   221, 6   221, 6
      9, 02   45, 1   45, 1
      9, 02   144, 32   216, 48
      9, 02   270, 6    

Продолжение Таблицы 5.1



      9, 02   18, 04   18, 04
      9, 02   72, 16   144, 32
      13, 85   152, 35   152, 35
      13, 85   304, 7   457, 05
      13, 85   110, 80   110, 8
      13, 85   304, 7   457, 05
      13, 85   332, 4   443, 2
      13, 85   207, 75   415, 5
      13, 85   457, 05   609, 4
      9, 02   315, 7    
      9, 02   270, 6   541, 2
      9, 02   180, 4   180, 4
      9, 02   90, 2   180, 24
      9, 02   18, 04   18, 04
      9, 02   18, 04   18, 04
  ИТОГО:   5428, 75   7494, 21

 

После расчета трудоемкости ремонта определяем численность ремонтных рабочих по содержанию оборудования до и после реконструкции:

Контингент вспомогательных рабочих, служащих и специалистов рассчитывается по данным Таблицы 5.2:

 

Таблица 5.2 - Нормативы для расчета численности цехового
персонала в % к числу основных рабочих

Период работы Вспомогательные рабочие Служащие Специалисты
До реконструкции      
После реконструкции      

 

Численность работников заносим в Таблицу 5.3:

Таблица 5.3 – Численность рабочих

Наименование работников До реконструкции, чел После реконструкции, чел
  Основные рабочие    
  Ремонтные рабочие    
  Вспомогательные рабочие    
  Служащие    
  Специалисты    
Итого:    

 

Фонд заработной платы планируют по каждой категории работников.

,

где - численность работников, чел;

Зср - среднемесячная заработная плата одного работника;

12 - число месяцев в году.

Среднемесячная заработная плата работников складывается из месячной тарифной ставки или оклада, доплат за вредные условия труда, премий, районного коэффициента по заработной плате (0, 15) и 20 % надбавки МПС к тарифной ставке (окладу).

Тарифная ставка определяется исходя из минимальной заработной платы, определенной в отрасли (на 01.03.2005г. = 7759 руб.), и тарифных коэффициентов, предусмотренных ОЕТС (Таблица 5.4).

Доплату за вредные условия труда принимают в размере 12 % от тарифной ставки. Премии – 25 % заработка с учетом доплат за вредные условия труда. Районные коэффициенты составляют 15% от заработка, в которой включается все выплаты, кроме надбавки МПС.

К профессиям и работам с вредными условиями труда относятся рабочие, занятые на 4, 6, 7, 8, 9 – 14 операциях.

Расчет заработной платы производится по Таблица 5.5.

По строке «Дополнительная заработная плата основных рабочих» указывается численность работников на замещение отпускников, больных и др. и заработная плата этих рабочих (10 % от фонда заработной платы основных производственных рабочих).

Разряды основных рабочих в соответствии с выполняемыми операциями приведены в Таблице 5.6:

Таблица 5.6 – Перечень операций технологического
процесса, разряды рабочих

Наименование операций Разряд работ
Очистка и замеры (1, 3, 5)  
Наплавка концов вала (14)  
Обработка концов вала (15)  
Сушка, окраска (6, 7, 8, 9, 11, 12, 13)  
Пропитка (10)  
Обработка коллектора расточка МОП (25)  
Балансировка (20)  
Испытание (23, 24)  
Остальные операции  

 

Для ремонтных рабочих принимается тарифный разряд 5, а для вспомогательных рабочих – 3.

Годовой фонд дополнительной заработной платы вспомогательных рабочих – 15 % от основной заработной платы, ремонтных рабочих – 10 %.

Показатели цеха по труду и заработной плате заносятся в Таблицу 5.7.

 


Таблица 5.4 – Отраслевая единая тарифная сетка по оплате труда работников, занятых
в основной деятельности железных дорог

Разряды                                    
Рабочие (1 уровень) 1, 00 1, 14 1, 35 1, 55 1, 73 1, 88 2, 03 2, 18                    
Рабочие (2 уровень) 1, 14 1, 37 1, 63 1, 89 2, 12 2, 31 2, 5 2, 69 2, 88 3, 08                
Рабочие (4 уровень - машинисты локомотивов)               2, 90 3, 08 3, 43 3, 80              
Рабочие (4 уровень - помощники машинистов локомотивов)         2, 13 2, 32 2.60 2, 88                    
Грузчики 1, 91 2, 07 2, 30                              
Механизаторы комплексных бригад     2, 31 2, 49 2, 63 2, 88                        

 

 

Таблица 5.5 – Расчет заработной платы работников предприятия

Категории работающих Разряд Расчет среднемесячной заработной платы До реконструкции После реконструкции
Оклад Доплата за вредность премия Доплата Уральский коэффициент Среднемесячная заработная плата Численность Месячный фонд заработной платы Численность Месячный фонд заработной платы
Основные рабочие                 2832580, 91   3776868, 23
1.С нормальными условиями труда   12026, 45 - 3006, 61 2405, 29 2615, 75 20054, 1       1624382, 1
  13423, 07 - 3355, 77 2684, 61 2919, 52 22382, 97   470042, 37   671489, 1
  14586, 92 - 3646, 73 2917, 38 3172, 66 24323, 69   145942, 14   170265, 83
2. С вредными условиями труда   10474, 65 1256, 96 2932, 9 2094, 93 2513, 92 19273, 36   732387, 68   982941, 36
  12026, 45 1443, 17 3367, 41 2405, 29 2886, 35 22128, 67   132772, 02   154900, 69
  13423, 07 1610, 77 3758, 46 2684, 61 3221, 54 24698, 45   148190, 7   172889, 15
Ремонтные рабочие   16449, 08 - 4112, 27 3289, 82 3577, 68 27428, 85   82286, 55   137144, 25
Вспомогательные рабочие   12647, 17 - 3161, 79 2529, 43 2750, 76 21089, 15   885744, 3   590496, 2
Служащие   14664, 51 - 3666, 13 2932, 9 3189, 53 24453, 07   73359, 21   48906, 14
Специалисты   20871, 71 - 5217, 93 4174, 34 4539, 6 34803, 58   313232, 22   208821, 48
Дополнительная заработная плата рабочих                 283258, 09   377686, 82
ВСЕГО:                 4470461, 28    

Таблица 5.7 – Показатели цеха по труду и заработной плате

Категории работников До реконструкии После реконструкии
  Контингент, чел Годовой фонд основной заработной платы, тыс. р. Годовой фонд дополнительной заработной платы, тыс. р. Контингент, чел Годовой фонд основной заработной платы, тыс. р. Годовой фонд дополнительной заработной платы, тыс. р.
Основные производственные рабочие   33990, 96 3399, 1   45322, 42 4532, 24
Ремонтные рабочие   987, 44 98, 74   1645, 73 164, 57
Вспомогательные рабочие   10628, 93 1594, 34   7085, 95 1062, 89
Служащие   880, 31 -   586, 87 -
Специалисты   3758, 79 -   2505, 86 -
Всего:   50246, 43 5092, 18   57146, 83 5759, 7

 


Поделиться с друзьями:

mylektsii.su - Мои Лекции - 2015-2026 год. (0.819 сек.)Все материалы представленные на сайте исключительно с целью ознакомления читателями и не преследуют коммерческих целей или нарушение авторских прав Пожаловаться на материал