Студопедия

Главная страница Случайная страница

КАТЕГОРИИ:

АвтомобилиАстрономияБиологияГеографияДом и садДругие языкиДругоеИнформатикаИсторияКультураЛитератураЛогикаМатематикаМедицинаМеталлургияМеханикаОбразованиеОхрана трудаПедагогикаПолитикаПравоПсихологияРелигияРиторикаСоциологияСпортСтроительствоТехнологияТуризмФизикаФилософияФинансыХимияЧерчениеЭкологияЭкономикаЭлектроника






Парные коэффициенты корреляции. Коэффициент множественной корреляции. Расчет частных коэффициентов детерминации модели.






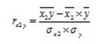
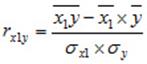
Парный коэффициент корреляции – основной показатель взаимозависимости двух случайных величин, служит мерой линейной статистической зависимости между двумя величинами, он соответствует своему прямому назначению, когда статистическая связь между соответствующими признаками в генеральной совокупности линейна. Данный коэффициент применяетсядля измерения тесноты связи между двумя из рассматриваемых переменных (без учета их взаимодействия с другими переменными).

- среднее квадратическое отклонение факторного признака;

- среднее квадратическое отклонение результативного признака.

С помощью парного линейного коэффициента корреляции выявляется связь между двумя признаками, один из которых можно рассматривать как результативный, другой — как факторный.

Коэффициент множественной корреляции (R) характеризует тесноту связи между результативным показателем и набором факторных показателей:

где σ 2 общая дисперсия эмпирического ряда, характеризующая общую вариацию результативного показателя (у) за счет факторов;

σ ост 2— остаточная дисперсия в ряду у, отражающая влияния всех факторов, кроме х;

у — среднее значение результативного показателя, вычисленное по исходным наблюдениям;

s — среднее значение результативного показателя, вычисленное по уравнению регрессии.

Коэффициент множественной корреляции принимает только положительные значения в пределах от 0 до 1. Чем ближе значение коэффициента к 1, тем больше теснота связи. И, наоборот, чем ближе к 0, тем зависимость меньше. При значении R < 0, 3 говорят о малой зависимости между величинами. При значении 0, 3 < R < 0, 6 говорят о средней тесноте связи. При R > 0, 6 говорят о наличии существенной связи.

Квадрат коэффициента множественной корреляции называется коэффициентом детерминации (D): D = R2. Коэффициент детерминации показывает, какая доля вариации результативного показателя связана с вариацией факторных показателей. В основе расчета коэффициента детерминации и коэффициента множественной корреляции лежит правило сложения дисперсий, согласно которому общая дисперсия (σ 2) равна сумме межгрупповой дисперсии (δ 2) и средней из групповых дисперсий σ i2):

σ 2 = δ 2 + σ i2.

Межгрупповая дисперсия характеризует колеблемость результативного показателя за счет изучаемого фактора, а средняя из групповых дисперсий отражает колеблемость результативного показателя за счет всех прочих факторов, кроме изучаемого.

Математические модели корреляционного анализа в форме коэффициентов имеют ограниченные аналитические возможности. Зная лишь направление ковариации показателей и тесноту связи, невозможно определить закономерности формирования уровня результативного показателя под влиянием исследуемых факторов, оценить интенсивность их влияния, классифицировать факторы на основные и второстепенные. Для этих целей используются модели регрессионного анализа. Линейная модель (уравнение) регрессионного анализа может быть представлена в виде

у = bo + b 1 x 1+ b 2 x 2 +... + bnxn,

где у — результативный показатель;

x 1, x 2,..., xn — факторные модели;

b 0, b 1, b 2, ..., bn — коэффициенты регрессии.

Частный коэффициент детерминации показывает, насколько процентов вариация результативного признака объясняется вариацией i-го признака, входящего в множественное уравнение регрессии. Он рассчитывается по формуле

,

где - парный коэффициент корреляции между результативным и i-м факторным признаком;

- соответствующий стандартизованный коэффициент уравнения множественной регрессии:

Следует усвоить, что коэффициенты частной детерминации - это доли от разных величин, поэтому они несравнимы; по этим долям нельзя судить о роли факторов. Их главное практическое значение - определить, имеет ли смысл добавить в уравнение регрессии новый фактор или нет.



Поделиться с друзьями:

mylektsii.su - Мои Лекции - 2015-2026 год. (1.053 сек.)Все материалы представленные на сайте исключительно с целью ознакомления читателями и не преследуют коммерческих целей или нарушение авторских прав Пожаловаться на материал