Студопедия

Главная страница Случайная страница

КАТЕГОРИИ:

АвтомобилиАстрономияБиологияГеографияДом и садДругие языкиДругоеИнформатикаИсторияКультураЛитератураЛогикаМатематикаМедицинаМеталлургияМеханикаОбразованиеОхрана трудаПедагогикаПолитикаПравоПсихологияРелигияРиторикаСоциологияСпортСтроительствоТехнологияТуризмФизикаФилософияФинансыХимияЧерчениеЭкологияЭкономикаЭлектроника






V. Спецкурс геофизических исследований скважин






  1. Фильтрационно-емкостные свойства пласта, определяемые по данным ГИС.

Проницаемость, пористость, глинистость

Проницаемость - это свойство горных пород пропускать сквозь себя флюиды, т.е. жидкости, газы и их смеси.

Абсолютная проницаемость - это проницаемость породы в случае фильтрации через нее однородной жидкости или газа, инертных по отношению к поверхности твердой фазы.

Фазовая проницаемость - это способность пород, насыщенных смесью нефти, газа и воды или любой другой неоднородной жидкостью, пропускать отдельные ее фазы.

Относительная проницаемость – фазовая проницаемость, отнесённая к абсолютной, и нормированная по эффекту проскальзывания.

Эффективная (фазовая) проницаемость - способность пород, насыщенных смесью нефти, газа и воды или любой другой неоднородной жидкостью, пропускать отдельные ее фазы.

Пористость - это наличие в массиве горной породы или минерале незаполненного минеральным скелетом пространства. В естественном залегании они вмещают пластовые жидкости. Выделяют первичную и вторичную виды пористости. Первичными являются межзёрновые поры, межкомпонентные; ко вторым относятся чаще тектонические трещины, а также связанные с деятельностью подземных вод.

Г линистость - Глины это связанные несцементированные осадки породОГП с преобладанием алюмосиликатных глинистых минералов групп каолинита, смектитов, гидрослюд и хлоритов.. Глинистость осадочных горных пород характеризуется со­держанием в минеральном скелете породы частиц с эффектив­ным диаметром менее 10 мкм. Глинистость устанавливают обычно по данным гранулометрического анализа.

 

  1. Основные этапы и результаты обработки данных ГИС.

 

Основными этапами обработки данных ГИС являются:

1 корреляция и увязка диаграмм по глубине

2 определение границ пород

3определение литологии

4 выделение коллекторов по диаграммам

5 определение пористости

6 разделение пластов на водоносные и продуктивные

7 определение насыщенности

 

  1. Использование результатов лабораторного анализа кернового материала при интерпретации данных ГИС.

Использование результатов лабораторного анализа кернового материала при интерпретации данных ГИС проводят для того чтобы подтвердились данные по каротажам либо не подтвердились.

Сравнение керна и ГИС:


1) Детальная литолого-минералогич хар-ка; +

2) Точное определение физ и фес параметров отдельных типов пород; +

3) Точечный отбор и малые размеры образцов: -

4) Недостаточная представительность для гетерогенных пластов.

1) Упрощенная литологич модель геолог разреза; -

2) Приближенная оценка физ и фес св-в; -

3) Непрерывные измерения по всему стволу скважины; +

4) Оценка объемных параметров пласта в целом.


  1. Выделение пластов-коллекторов геофизическими методами, качественные и количественные критерии и признаки.

Пласты коллекторы могут быть выделены следующими геофизическими методами: ПС, кавернометрия, МКЗ, БЭЗ.

Подготовка к интерпретации: 1) увязка кривых ГИС: МКЗ, ПС, РК (ГК и НКТ), АК, электрические методы; 2) расчленение разреза скважины и определение границ пластов комплексно по всем методам ГИС. Выделение коллекторов 1) качественные: глинистая корка по кавернометрии; приращение показаний МПЗ и МГЗ; радиальный градиент сопротивления; каротаж – закачка – каротаж (БК, ИК, ГК, НГК); временные замеры (БК, ИК, ГК, НГК).

Прямые качественные признаки: А) глинистая корка; Б) приращение показаний МПЗ над МГЗ; В) радиальный градиент сопротивления (если карбонатный разрез)

Количественные признаки (выделение интервалов со значением параметра выше(ниже) граничного). Выделяют статистический и корреляционный способ:

Статистический: А) по скважинам с прямыми качественными признаками; Б) по результатам испытаний и опробований для определения насыщения.

Корреляционный: А)Коэф. пористости граничный при Кпр.=1 мДарси (формальный способ); Б) сопоставление Кп эффективного и динамического

 

  1. Определение относительной амплитуды поля самопроизвольной поляризации. Определение глинистости по данным ПС.

Обработка диаграмм ПС включает в себя ряд этапов, выполняя которые получают параметры, являющиеся исходными для решения перечисленных выше задач. Этим этапам относятся: 1 расчленение разреза на пласты; 2 снятие отсчетов аномалии Uпс; 3 расчет статистической амплитуды Епс; 4 введение поправки за температуру; 5 расчет относительной амплитуды α пс= дельта Uизм/ дельта Umax; 6 Оценка глинистости пласта Кгл – производится по номограмме зависимости коэффициента глинистости от относительной амплитуды α пс; 7 определение литологии пласта.

Диаграмма ПС позволяет: проводить расчленение разреза; оценивать глинистость; опред сопротивление пластовой воды. α пс= дельта Uизм/ дельта Umax, где дельта Umax – амплитуда ПС в глинах. Кгл=Uпс – Uпс min/ Uпсmax – Uпсmin.

  1. Физические основы спектрального гамма каротажа. Определение глинистости по данным ГК.

При СГК определяют суммарную естественную радиоактивность породы (гамма-каротаж) и раздельное содержание в ней калия, урана и тория. Метод применяется для решения качественных и количественных задач. К качественным задачам относятся детальная корреляция, выделение различных типов пород — глинистых, песчано-алевритовых, зон вторичной доломитизации известняков трещиноватых зон. Количественно метод дает возможность оценить глинистость пласта, тип и содержание глинистых минералов в породе, содержание органогенного углерода в аргиллитовых формациях. Для чистых карбонатных пород характерно низкое содержание К, U и Th и соответственно низкая гамма-активность. Обогащение карбонатных пород глинистым материалом отмечается СГК максимумом на кривой ГК и увеличением содержания К, U и Th. В отдельных случаях против карбонатных пород наблюдается повышенная гамма-активность по ГК при низком содержании К и Th, но высокой концентрации U. Разделить породы на собственно глинистые и чистые (трещиноватые, алевритовые) с повышенной естественной гамма-активностью возможно по данным СГК на основании раздельной регистрации содержания К, U и Th. Эта информация является крайне необходимой при выполнении комплексных геофизических исследований разрезов скважин для выделения трещинных коллекторов как в обсаженной, так и в необсаженной скважине.

Определение глинистости по данным ГК. Существует несколько способов расчета глинистости по ГК: 1. , потом по Δ I через палетку определяют Кгл.

2. А также существуют нелинейные уравнения определения глинистости (уравнения Клавье, Ларионова, Стейбера).

  1. Определение пористости коллекторов по данным акустического каротажа.

Затухание упругих волн зависит от состава горных пород, пористости и состава флюида в порах (в газе затухание больше, чем в жидкости), а скорость их распространения - от состава и пористости.

Связь между пористостью К„ и скоростью распространения oписывается так называемым " уравнением среднего времени":

где Vж- скорость упругих волн в жидкости, заполняющей поры породы; Vск- скорость упругих волн в минеральном скелете.

Vж и Vск определяют по результатам лабораторных измерений или берут из справочников; V— определяют по данным АК. Из этого уравнения можно найти пористость:

Кроме пористости и характера насыщения, по АК может быть определено положение контактов и мощность пластов, отличающихся по своим акустическим свойствам.

 

  1. Определение пористости коллекторов по данным ННК.

· Рассчитываем для каждого пласта двойной разностный параметр по формуле: Δ I=Iп∞ -Iпоп1∞

· Строим номограмму(по ней определяем индекс водородосодержания W)

· Определяем коэффициент пористости Kпi=W-Kгл*Wсв, Wсв

· Если литология коллектора отлична от литологии опорного пласта, то необходимо вводить поправку за литологию.

 

 

  1. Определение пористости коллекторов по данным ГГК-п.

На нефтяных и газовых месторождениях ГГК-П применяют для дифференциации разрезов скважин по плотности и для определения пористости пород-коллекторов. Как известно, плотность породы σ п, и коэффициент пористости Кп связаны функциональной зависимостью , где σ ск и σ ж - соответственно, плотности минерального скелета и жидкости, насыщающей поры породы. Эти параметры определяют при лабораторных исследованиях керна.

 

 

  1. Определение истинного сопротивления пласта по данным индукционного каротажа.

Применение ИК основывается на различии электропроводности гп

При пропускании через излучающую (генерирующую) катушку переем.эл.тока с частотой=20-50 кГц в гп создается первичное переменное магнитное поле. Это перв.перем.магн.поле индуцирует в гп переменные круговые токи. Величина этих токов тем больше, чем больше электропроводность среды. Эт круговые переменные токи создают вторич.перемен.магн.поле, которое индуцирует приемные катушки электродвижущую силу Е. ,

-коэффициент зонда, -электропроводность среды

Индуцируемые кольцевые токи не взаимодействуют между собой и не пересекают границы между скв и зоной проникновения, между зп и неизменной частью пласта, между нчп и вмещающими породами. Все среды включены в цепь кольцевых токов параллельно и, следовательно, эдс в приемной катушке будет представлять собой сумму сигналов от области скв, зп, нчп и вм.п

), где -геометрические факторы скважины, зп, нчп и вм.пород, -удельные электропроводности раствора, нчп, зп и вм.пород

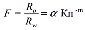
  1. Определение истинного сопротивления пласта по данным бокового каротажа.

 

Основное условие эффективности метода БК: ρ к≈ ρ п.На величину кажущегося удельного электрического сопротивления (ρ к) регистрируемую против исследуемого пласта, оказывают влияние: скважина (ρ с), зона проникновения (ρ зп) и неизмененная часть пласта (ρ п). Эту зависимость и отражает уравнение интегрального геометрического фактора, которое в общем случае имеет вид:

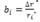
где bi – дифференциальный геометрический фактор.

где Δ r – это горизонтальная мощность элементарного цилиндрического слоя; ri – это расстояние от электрода А0, до i-го цилиндрического слоя.

Преобразовав уравнение интегрального геометрического фактора и выразив из него величину ρ к получим:

или в упрощенном виде:

где – геометрический фактор скважины;

– геометрический фактор зоны проникновения;

– геометрический фактор неизмененной части пласта;

– интегральный геометрический фактор всей среды в целом.

Исходя из приведенных выше формул, необходимо рассчитать значения , Bc, Bзп и Bп, д ля каждого исследуемого объекта.

 

 

  1. Определение истинного сопротивления пласта и параметров зоны проникновения по данным БКЗ.

 

После определения границ пластов коллекторов и их мощности, определения типов отсчетов ρ к и снятия их с диаграмм, производится построение практических кривых БЭЗ для каждого из выделенных пластов.

Все построения практических кривых осуществляются на кальке, наложенной на бланк с билогарифмическим масштабом.

Начинаются построения с нанесения на кальку креста зондирования, который откладывается в месте пересечения вертикали, отложенной по значению dс и горизонтали, отложенной по значению ρ с.

Сами практические кривые строятся, путем отложения по вертикальной оси существенных значения ρ Ki, а по горизонтальной оси – длины зонда Li (см. рис.). Полученные точки соединяют плавной кривой

Рис.. Типы кривых бокового электрического зондирования

Как видно из рис. 4 выделяют следующие типы практических кривых БЭЗ.

и – двухслойные кривые, имеют место в случаях:

 

1) Непроницаемых пород – т.е. по результатам зондирования мы можем различить всего два слоя: скважина и непроницаемый пласт.

2) Исследуемый пласт имеет очень высокую проницаемость – в данном случае будет образовываться очень большая зона проникновения, т.е. по результатам зондирования будут выделяться только два слоя: скважина и зона проникновения.

3) При ρ зп = ρ п, т.е. в случае когда сопротивление фильтрата бурового раствора, проникающего в пласт, будет равно сопротивлению пластового флюида – будут наблюдаться два слоя: скважина и зона проникновения с неизмененной частью пласта, не отличающиеся друг от друга по значениям ρ к.

2 – трехслойная кривая при понижающем проникновении фильтрата бурового раствора, т.е. в случае, когда пластовая вода имеет очень низкую минерализацию (большое УЭС).

3 – Повышающее проникновение фильтрата бурового раствора. Первый слой характеризует влияние скважины, второй слой – зоны проникновения и третий – неизмененной части пласта.

4 – Трехслойная кривая для тонкого пласта, имеющего высокое сопротивление – эта кривая характеризует маломощный пласт с зоной проникновения, сопротивление которой ниже сопротивления пласта (увеличение значений ρ к в конце кривой связано с влиянием экранных эффектов).

В зависимости от того, к какому типу относятся практические кривые, будут различаться и методики их интерпретации.

ИНТЕРПРЕТАЦИЯ ПРАКТИЧЕСКИХ КРИВЫХ БЭЗ

1. При интерпретации двухслойных кривых используются двухслойные палетки (рис. 5), которые имеют шифр μ = (ρ п/ρ с) – в случае не проницаемого пласта и μ = (ρ зп/ρ с) – в случае проницаемого пласта.

Кальку, с практическими кривыми БЭЗ, совмещают с палеткой по кресту зондирования, выставляя оси на кальке параллельно осям на палетке.

Сама палетка – это набор кривых, которые являются графическим представлением решения системы из трех уравнений при разных соотношениях параметров скважины, зоны проникновения и неизмененной части пласта.

Рис.. Интерпретация двухслойной кривой зондирования по двухслойной палетке

Признаком двухслойности практических кривых является их хорошая совместимость с палеточными кривыми двухслойной палетки. При совмещении практическая кривая либо совпадает с одной из палеточных кривых, либо согласно располагается с одной из соседних палеточных кривых.

УЭС пласта (ρ п), в этом случае, находится по пересечению практической кривой с штрих пунктирной линией АА – геометрическим местом точек, в которых ρ к = ρ п. Либо, путем интерполяции, определяя шифр практической кривой (μ) и зная сопротивление бурового раствора (ρ с), определяют ρ п = μ ∙ ρ с.

 

 

  1. Понятия промытой зоны, зоны проникновения и незатронутой зоны пласта. Глубинность и вертикальное разрешение методов ГИС.

 

промытая зона – часть пласта, характеризующаяся неизменяющимся водонефтегазонасыщением пород при фильтрации в пласт раствора; наблюдается только в коллекторах с высокими фильтрационно-емкостными свойствами;

зона проникновения – часть пласта, где произошли изменения флюидонасыщения вследствие проникновения фильтрата раствора под действием гидродинамических и капиллярных сил.

Гамма-гамма методы обладают малой глубинностью, в связи с чем на их показания большое влияние оказывают глинистая корка и каверны.

Импульсные нейтронные методы: глубинность исследования до 60—70 см,

Глубинность рентген-радиометрического метода уменьшается с увеличением концентрации

определяемого элемента или снижением его атомного номера

  1. Определение насыщенности по формуле Арчи-Дахнова.

Для определения водонасыщенности пород при интерпретации данных ГИС широко используется уравнение Дахнова - Арчи, представляемое в виде: где a, m, n - постоянные коэффициенты, зависящие от типа горной породы, Rw - удельное электрическое сопротивление пластовой воды, Rt - удельное электрическое сопротивление пласта, Кп - коэффициент пористости, Sw – водонасыщенность.

Коэффициенты а, т, п определяются по данным лабораторной петрофизики - измерению параметра пористости F и параметра насыщенности RI. Эти величины определяются в лабораторных условиях по различным соотношениям сопротивлений:

где Rw - удельное электрическое сопротивление пластовой воды, Rt - удельноеэлектрическое сопротивление пласта, содержащего флюид, Rо- удельное электрическое сопротивление породы, на 100 % насыщенной пластовой водой.

Корреляционно-регрессионный нелинейный (обычно логарифмический) анализ связей F = f (Кп) и RI = f (Sw) позволяет оценить значения констант a, m, n

 

  1. Геофизические критерии выделения пластов песчаников и аргиллитов в терригенном разрезе.

Кажущееся сопротивление выше чем у глин (5-500 Ом*м)

На диаграммах ПС отрицательные показания

Промежуточные показания по радиометрическим и акустическим методам.

 

  1. Геофизические критерии выделения плотных карбонатных пород в терригенном разрезе.

Высокие значения удельного эл. сопротивления (100-200 Ом*м)

Не выделяются на диаграммах ПС

Минимальные показания на диаграммах гамма каротажа

Из-за низкого водородосодержания высокие показания на диаграммах нейтронного каротажа

 

  1. Геофизические критерии выделения угольных пластов в терригенном разрезе.

Удельное сопротивление от 100 Ом*м и более

Не выделяется по ПС

Низкая естественная радиоактивность

Промежуточные показания по нейтронному каротажу

Большие значения времени пробега волны по акустическому каротажу

 

 

  1. Геофизические критерии выделения Баженовской свиты.

Самые низкие показания удельного эл. сопротивления (0, 5-5 Ом*м)

Положительные аномалии по ПС

Самые высокие показания естественной гамма активности

Высокое значение индекса водородосодержания следовательно низкие значения по нейтронному каротажу

Промежуточные показания пробега волны немного ниже чем у песчаников

 

 


Поделиться с друзьями:

mylektsii.su - Мои Лекции - 2015-2026 год. (0.485 сек.)Все материалы представленные на сайте исключительно с целью ознакомления читателями и не преследуют коммерческих целей или нарушение авторских прав Пожаловаться на материал