Студопедия

Главная страница Случайная страница

КАТЕГОРИИ:

АвтомобилиАстрономияБиологияГеографияДом и садДругие языкиДругоеИнформатикаИсторияКультураЛитератураЛогикаМатематикаМедицинаМеталлургияМеханикаОбразованиеОхрана трудаПедагогикаПолитикаПравоПсихологияРелигияРиторикаСоциологияСпортСтроительствоТехнологияТуризмФизикаФилософияФинансыХимияЧерчениеЭкологияЭкономикаЭлектроника






Определяем активные и реактивные составляющие нагрузок






кВт

кВт

кВ т

Найдем потерю напряжения до точки С по формуле

где , - активные и реактивные составляющие нагрузок

Потеря напряжения до точки С

Показатели надежности Элемент сети
Т1 Л1 Т2
, 1/год 0, 04 0, 17 0, 03
Тв , ч      

В . Ответ:

№ 2

· Кормоцех фермы КРС питается от передвижной электростанции.

1. Требуется: определитьполноесопротивление соединительной линии.

Исходные данные: Установленная мощность передвижной электростанции S = 105 кВ*А; длина соединительной линии, выполненной проводом АС –25, l = 0, 4 км.

Решение.

Каталожные (справочные) данные провода АС25:

- удельное активное сопротивление постоянному току при T= 20 oС Rо= 1, 146 Ом/км;

- удельное реактивное сопротивление Хо = 0, 355 Ом/км;

Расчетные формулы:

Полное сопротивление соединительной линии

Zо = √ (R2л + Х2л);

Активное сопротивление линии

Rл = Rо·l;

Реактивное сопротивление линии

Хл = Хо·l.

№ 3

· Кормоцех фермы КРС питается от трансформаторной подстанции КТП 10/ 0, 4 кВ (рисунок 1). Установленная мощность трансформаторной подстанции Sт = 100 кВ*А; длина соединительной линии l = 0, 4 км; тип и сечение провода АС-25 мм2;


Рисунок 1 Схема системы электроснабжения кормоцеха фермы КРС:

Т1- трансформаторная подстанция 110/10 кВ, Л1- воздушная линия 10 кВ,

Т2- трансформаторная подстанция 10/0, 4 кВ

1. Требуется: определить параметр отказов системы - (1/год), среднюю вероятность отказа системы - g, среднее время её восстановления - Тв (ч).

Исходные данные: с истема электропередачи состоит из повышающего трансформатора Т1, линии электропередачи Л1, понижающего трансформатора Т2. Отказы элементов независимы (таблица 1). Напряжение короткого замыкания U = 420 В при замкнутой накоротко вторичной обмотке трехфазного трансформатора 10/ 0, 4 кВ, температура обмоток при проведении опыта tобм =20 º С.

Таблица 1. Показатели надежности системы

Решение:

Параметр потока отказов системы с параллельно соединенными элементами равен сумме параметров потока отказов элементов, образующих систему

1/год.

Средняя вероятность отказа системы с последовательно соединенными элементами

Среднее время восстановления системы

год, ч.

Ответ: 1/год, , ч.

№ 4

· Ремонтная мастерская малого предприятия питается от системы электроснабжения (рисунок 1).


Рисунок 1 Схема системы электроснабжения ремонтной мастерской:

Г1- генератор, Т1- трансформаторная подстанция 110/10 кВ, Л1- воздушная линия 10 кВ, Т2- трансформаторная подстанция 10/0, 4 кВ

1. Требуется: определить параметр отказов системы - (1/год), среднюю вероятность отказа системы - g, среднее время её восстановления - Тв (ч).

Исходные данные: с истема электропередачи состоит из генератора Г1, повышающего трансформатора Т1, линии электропередачи Л1, понижающего трансформатора Т2. Отказы элементов независимы (таблица 1).

Показатели надежности Элемент сети
Т1 Л1 Т2 Г1
, 1/год 0, 03 0, 18 0, 02  
Тв, ч   4, 3    

Таблица 1. Показатели надежности системы

 

Решение:

1. Параметр отказов системы

1/год

2. Средняя вероятность отказа системы

3. Среднее время её восстановления

год, ч.

Ответ: 1/год, , год; ч.

№ 5

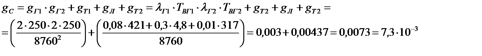
· Вальцовая мельница питается от системы электроснабжения (рисунок 1).

Рисунок 1 Схема системы электроснабжения вальцевой мельницы:

Г1, Г2 - генератор, Т1- трансформаторная подстанция 110/10 кВ, Л1- воздушная линия 10 кВ,

Т2- трансформаторная подстанция 10/0, 4 кВ

1. Требуется: определить параметр отказов системы - (1/год), среднюю вероятность отказа системы - g, среднее время её восстановления - Тв (ч).

Исходные данные: система электропередачи состоит из двух параллельно работающих генераторов Г1 и Г2; повышающего трансформатора Т1; линии электропередачи Л1; понижающего трансформатора Т2. Отказы элементов независимы (таблица 1).

Таблица 1. Показатели надежности системы

Показатели надежности Элемент сети
Т1 Л1 Т2 Г1= Г2
, 1/год 0, 08 0, 3 0, 01  
Тв , ч   4, 8    

Решение:

1. Параметр отказов системы

2. Средняя вероятность отказа системы

3. Среднее время её восстановления

года, ч.

Ответ: ; ;

№ 6

· Электроснабжение фермы осуществляется от понижающей двухтрансформаторной подстанции КТП 10/0, 4 кВ с трансформаторами ТМ-100/10.

1. Требуется: Определить параметры схемы замещения трансформатора ТМ-100/10.

Исходные данные: Трехфазный двухобмоточный трансформатор типа ТМ-100/10 имеет следующие паспортные данные:

Sном = 100 кВА, Uвн = 10 кВ, Uнн = 0, 4 кВ,

Δ Рк = 1, 97 кВт, Δ Рх = 0, 36 кВт, uк = 4, 5 %, Iх = 2, 6 %.

Решение.

1. Паспортные данные для трансформатора ТМ-100/10:

- номинальная мощность Sном=100 кВА;

- номинальное высокое напряжение Uвн=10 кВ;

- номинальное низкое напряжение Uнн=0, 4 кВ;

- потери короткого замыкания Δ Рк =1, 97 кВт;

- потери холостого хода Δ Рх=0, 36 кВт;

- напряжение короткого замыкания uк = 4, 5 %;

- ток холостого хода Iх = 2, 6%.

2. Активное сопротивление трансформатора, приведенное к высокому напряжению (напряжение высшей обмотки) Ом.

2. Полное сопротивление

Ом.

Ответ: Z=45 Ом.

№ 7

· Лесопильный цех питается от трансформаторной подстанции 10/0, 4 кВ в режиме регулирования напряжения под нагрузкой (РПН).

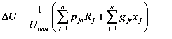
1. Требуется: определить регулируемую надбавку напряжения на трансформаторе 10/0, 4 кВ в режиме РПН.

Исходные данные: р яд регулируемых надбавок ПБВ +5%, +2, 5%, +0%, -2, 5%, -5%.

Элемент установки Нагрузка
100 % 25%;
1. Генератор +5 +5
2. Линия 10 кВ -4 -1
3. Трансформатор 10/0, 4:  
потери -4 -1
надбавка конструктивная +5 +5
надбавка регулируемая ? ?
4. Шины 0, 4 кВ +2 +2
5. Линия 0, 38 кВ -7 - 1, 75
6. Потребитель -5 +5

Решение:

Элемент установки Нагрузки
100% 25%
1. Генератор +5 +5
2. Линия 10 кВ -4 -1
3. Трансформатор 10/0, 4:
потери -4 -1
надбавка конструктивная +5 +5
надбавка регулируемая    
4. Шины 0, 4 кВ +2 +2
5. Линия 0, 38 кВ -7 -0, 5
6. Потребность -5 +5

+
Ответ: + 2. Решение приведено отдельно!

№ 8

Зернохранилище на 1000 т питается от трансформаторной подстанции 10/0, 4 кВ номинальной мощностью Sт.ном = 100 кВА. Требуется: выбратьпредохранитель на 10 кВ трансформаторной подстанции по двум условиям: а) при отстройке от броска тока намагничивания трансформатора при его включении под напряжение; б) при отстройке от рабочего максимального тока на трансформаторной подстанции.

Исходные данные: рабочий максимальный ток, приведенный к высшей стороне трансформатора, Iр.мах = 147 А. Рекомендуемая марка ПКТ, номинальный ряд: 2; 3; 5; 10; 15; 20; 30; 50; 75; 100 А.

Решение:

1. Максимальный рабочий ток, приведенный к низшей стороне

трансформатора

А, где 25 –коэффициент трансформации трансформатора,

Кт = 10/0, 4 = 25.

2. Условие выбора тока плавкой вставки предохранителя при отстройке от рабочего максимального тока

;

А, где Км=1, 25 – справочная величина.

3. Условие выбора тока плавкой вставки предохранителя при отстройке от броска тока намагничивания трансформатора при его включении под напряжение

;

А.

3. Принимаем номинальный ток плавкой вставки

А, при которой оба условия выполняются.

Ответ: А.

№ 9

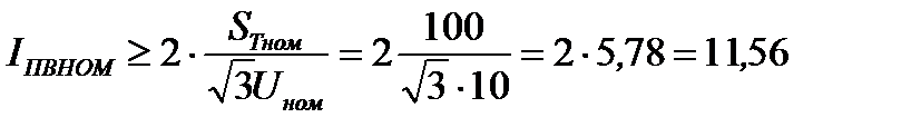
Промышленное предприятие питается от КТП 10/0, 4 кВ. Защита воздушной линии 10 кВ от токов короткого замыкания осуществляется максимальной токовой защитой (МТЗ) на реле РТВ. Требуется: определить ток уставки Iу на реле тока РТВ МТЗ и коэффициент чувствительности МТЗ - К ч.расч..

Исходные данные: максимальный рабочий ток линии 10 кВ Iр.мах = 29, 3 А; МТЗ выполнена по схеменеполная звезда Ксх = 1; коэффициент трансформации трансформатора тока

Кт = 10. Минимальный ток короткого замыкания Iк min = 595 А.

Решение:

1. Расчетный ток срабатывания защиты

А,

где Кн – коэффициент надежности, Кн =1, 3;

Ксзп – коэффициент самозапуска, учитывающий увеличение тока нормального режима от пусковых токов, после отключения короткого замыкания другими защитами, Ксзп =1, 1 для коммунально-бытовой нагрузки;

Кв – коэффициент возврата реле, Кв=0, 65;

2. Ток уставки

А,

где - коэффициент трансформации трансформатора тока;

Ксх – коэффициент схемы, Ксх =1,

Выбираем ток уставки на реле РТВ равным А;

3. Коэффициент чувствительности расчетный

;

4. Коэффициент чувствительности допустимый ;

5. Проверка чувствительности защиты

Защита чувствительна.

Ответ: А на реле тока РТВ;

№ 10

Ферма КРС по выращиванию молодняка питается от системы электроснабжения (рисунок 1).

Рисунок 1 Схема системы электроснабжения фермы КРС: К1, К2 – точки короткого замыкания, ТО- токовая отсечка, МТЗ - максимальная токовая защита

1. Требуется: определить, почему за ток согласования на карте селективности, принимается - ток короткого замыкания в месте установки предохранителя, селективны ли защиты?

Исходные данные: Карта селективности защит системы электроснабжения фермы КРС приведена на рисунке 2.

 

Рисунок 2. Карта селективности защит

Решение:

1) Построение карты селективности начинают от самой удаленной от источника питания точки от тока срабатывания до в месте установки защиты.

2) Определяется , если производится согласование зависимой характеристики предохранителя и ограниченно зависимой реле тока МТЗ, то = (МК).

Решение:

Ответ: 1. Защиты селективны, т.к. выдержаны ступени селективности по току и по времени.

2. , т.к. согласуются зависимая и ограничено зависимая характеристики предохранителя и РТ соответственно.

№ 11

· Тепличное хозяйство совхоза «Алексеевский» питается от КТП 10/0, 4 кВ с номинальной мощностью трансформатора Sт ном = 100 кВА.

 

1. Требуется: определить потери энергии в трансформаторе.

Исходные данные: к аталожные данные КТП кВА; кВт; кВт; расчетная полная мощность кВА; τ = 1200 ч – время максимальных потерь.

Решение:

;

кВт·ч/год;

Ответ: кВт·ч/год;

№ 12

 

· Электроснабжение автосервисного малого предприятия осуществляется от КТП 10/0, 4 кВ.

 

1. Требуется: Определить электроэнергию, потребленную за сутки, значение средней нагрузки и показатели плотности, неравномерности электропотребления.

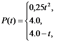
Исходные данные: Суточный режим электропотребления на участке покраски автосервисного предпрятия характеризуется графиком нагрузки, приведенным на рисунке 1.

 

 

Рисунок 1 Суточный график нагрузки

 

Суточный режим электропотребителя характеризуется графиком нагрузки, описание которого приведено на рисунке 1

 

Решение

Электроэнергия, потребленная электроустановкой, соответствует в масштабе площади фигуры, ограниченной графиком нагрузки и координатными осями. ' С учетом аналитического описания графика в результате непосредственного интегрирования мощностей получим

 

 

кВт ч.

Для сопоставления выразим значение электроэнергии в джоулях:

кДж

и калориях

ккал.

Средняя за сутки электрическая нагрузка (4, 10)

 

кВт

№ 13

 

· Зернохранилище питается от системы электроснабжения (рисунок 1).

Рисунок 1. Схема системы электроснабжения зернохранилища

 

1. Требуется: определить параметры потока отказов системы, ; среднее время её восстановления, ; среднее время безотказной работы, ; среднюю вероятность отказа системы qс .

Исходные данные: система передачи электроэнергии зернохранилища состоит из трансформатора Т1, двухцепной линии электропередачи (на двухцепных опорах) и трансформатора Т2. Параметр потока отказов линии Л1 и Л2 1/год, вероятность отказа линии , параметр потока отказов каждого трансформатора 1/год. Среднее время аварийного восстановления ч, при частоте преднамеренных отклонений 1/год. Время восстановления системы с учетом преднамеренных отклонений ч.

Решение:


Поделиться с друзьями:

mylektsii.su - Мои Лекции - 2015-2026 год. (2.123 сек.)Все материалы представленные на сайте исключительно с целью ознакомления читателями и не преследуют коммерческих целей или нарушение авторских прав Пожаловаться на материал