Студопедия

Главная страница Случайная страница

КАТЕГОРИИ:

АвтомобилиАстрономияБиологияГеографияДом и садДругие языкиДругоеИнформатикаИсторияКультураЛитератураЛогикаМатематикаМедицинаМеталлургияМеханикаОбразованиеОхрана трудаПедагогикаПолитикаПравоПсихологияРелигияРиторикаСоциологияСпортСтроительствоТехнологияТуризмФизикаФилософияФинансыХимияЧерчениеЭкологияЭкономикаЭлектроника






Параметр потока отказов системы






1/год;

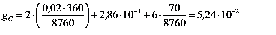
Средняя вероятность отказа системы

;

;

.

Среднее время безотказной работы системы

года, т.е. 1379 ч.

Среднее эквивалентное время восстановления системы с учетом преднамеренных отключений

года или 72, 3 часа.

Ответ: 1/год; ; года, т.е. 1379 ч.;

года или 72, 3 часа.

№ 14

· Птицефабрика п. Авдон питается от районной понижающей подстанции.

1. Требуется: Построить суточный график электрической нагрузки с.х. предприятия. Определить характеристики неравномерности электропотребления.

Исходные данные: На вводе установлен трехфазный счетчик электроэнергии.

Пересчетный коэффициент счетчика равен 40. Показания счетчика приведены в таблице 1

Время замеров, ч              
Показания 2013, 0 2016, 7 2021, 5 2031, 7 2037, 1 2051, 2 2062, 5
счетчика, кВт∙ ч              

Таблица 1 Показания счетчика электроэнергии

 

Решение

1. Принимаем 6 часовых интервалов осреднения, Δ t = 4 час.

2. Средняя мощность на каждом j-м интервале с учетом пересчетного коэффициента Кп счетчика опрделяется по формуле

Пересчетный коэффициент равен Кп =40.

3. Средние мощности на 6 интервалах осреднения:

 

Р1 = 37 кВт, Р2 = 48 кВт, Р3 = 102 кВт, Р4 = 54 кВт, Р5= 141 кВт, Р6 = 113 кВт.

4. Суточный график нагрузки сельскохозяйственного предприятия по данным расчетов представлен на рисунке 1

Рисунок 1 Суточный график нагрузки

№ 15

· Ферма КРС питается от питается от КТП 10/0, 4 кВ

1. Требуется: Построить суточный график электрической нагрузки с.х. предприятия. Определить характеристики неравномерности электропотребления. Исходные данные: На вводе установлен трехфазный счетчик электроэнергии.

Пересчетный коэффициент счетчика равен 40. Показания счетчика приведены в таблице 1

Время замеров, ч              
Показания 3110, 0 3113, 7 3121, 5 3131, 7 3137, 1 3157, 2 3162, 5
счетчика, кВт∙ ч              

Таблица 1 Показания счетчика электроэнергии

Решение аналогично задаче 14.

 


Поделиться с друзьями:

mylektsii.su - Мои Лекции - 2015-2026 год. (1.431 сек.)Все материалы представленные на сайте исключительно с целью ознакомления читателями и не преследуют коммерческих целей или нарушение авторских прав Пожаловаться на материал