Студопедия

Главная страница Случайная страница

КАТЕГОРИИ:

АвтомобилиАстрономияБиологияГеографияДом и садДругие языкиДругоеИнформатикаИсторияКультураЛитератураЛогикаМатематикаМедицинаМеталлургияМеханикаОбразованиеОхрана трудаПедагогикаПолитикаПравоПсихологияРелигияРиторикаСоциологияСпортСтроительствоТехнологияТуризмФизикаФилософияФинансыХимияЧерчениеЭкологияЭкономикаЭлектроника






Флавоноидтар мен сапониндер туралы жалпы мағлұмат






Флавоноидтар – табиғ и полифенолды қ осылыстардың класына жатады. Олар табиғ атта ө те жиі кездеседі. Оның қ ұ рамында кө птеген ә ртү рлі бояушы пигменттер болады (флавондар, флавонолдар, антоциондар, жә не т.б.). Бұ л пигменттер ө сімдіктердің жоғ арғ ы жә не тө менгі бө ліктерінде кө п мө лшерде кездесіп отырады [3-5].

Флавоноидтардың қ ұ рамында екі фенилдік қ алдық тар болады. Бұ л фенилдік қ алдық тар ішкі кө міртек атомдарымен тізбектеліп жалғ анғ ан.

Бес немесе алты мү шелі оттек тү зуші гетероцикл тү зіліп жә не кө птеген флавоноидтарғ а тұ йық талып тізбектелген, бұ лар бензол ядросымен жалғ анғ ан.

 

 

Флавоноидтар - бензо-γ -пиронның туындылары, олардың негізінде С6 – С3 – С6 кө міртекті бірліктен тұ ратын фенилпропанды қ аң қ асы жатыр. Флавоноидтарғ а реакция жү ргізу ү шін пропан сақ инасы С қ ажет [6, 7].

Флавоноидтарды класстарғ а бө лу мынадай белгілі топ бойынша жү ргізіледі: пропан бө лігін тотығ у дә режесі бойынша, гетероциклдік шамасы бойынша, фенилдік орынбасардың жағ дайы бойынша жә не т.б. Олар ө здерінің атауын «flaus» латын тілдік шамасы бойынша, фенилдік орынбасарлы жағ дайы бойынша жә не т.б. сө зінен алғ ан, сары деген мағ ына білдіреді, себебі ө сімдіктен бө лінген бірінші флаваноидтар сары тү сті болғ ан [8].

Гетероциклді сақ инаның С тотығ у дә режесіне байланысты флавондар, флавононолдар, флавонондар, флавандар, флаванонолдар, аурондар, халкондар, антоцианидиндер деп жіктеледі. Тотық сызданғ ан тобы катехин болса, ал тотық қ ан кү йі флавонол. Қ азіргі кезде ө те кө п зерттелген флавондар мен флавонолдар [9-11].

Флавоноидтар В сақ инасының жалғ ануына байланысты былай классификацияланады:

 

 
 


 

Эуфлавоноид Изофлавоноид Неофлавоноид

Табиғ атта эуфлавоноидтар ө те кө п кездеседі. Эуфлавоноидтағ ы гетероциклді С сақ инаның тотығ у дә режесіне байланысты оларды былай ажыратады: флавондар, флавонолдар, флаванондар, флаванонолдар, антоцианидиндер, халкондар, аурондар [12].

 

R= H флавон R= H флаванон R= H флаван

R=OH флавонол R=OH флаванонол R=OH флаванол

 

Флавоноидтар тү ссіз жә не сары кристалды заттар, суда жә не органикалық еріткіштерде еруі, орынбасушы радикалдардың орналасуына жә не санына байланысты [13].

Кө птеген флавоноидты қ осылыстар ә ртү рлі гликозидтер тү рінде кездеседі. Қ азіргі кезде белгілі флавоноидты гликозидтер мнадай ү ш топқ а бө лінеді: О-гликозидтер, С-гликозидтер жә не ацилдеуші О-гликозидтер [14].

Флавоноидтардың ә р алуандылығ ы гидроксилдеу, метоксилдеу, ацилдеу арқ ылы анық талады. Ө сімдіктерден моно-, ди-, три-, тетра-, пента- гексаметокситуындылары бө лінген [15].

Флавоноид гликозидтерінің кө птү рлілігі О- жә не С- гликозидтену, қ ант қ алдығ ының табиғ аты жә не оның қ осылу орнымен байланысты болады [16].

 

Аурон Халкон

 

Антоцианидин

 

Флавоноидты қ осылыстар ө сімдіктің барлық бө лігінде кездеседі, бірақ бір немесе бірнеше флавоноид тобы доминатталғ ан мү шелер бө лінген, мысалы, гү лдің жапырағ ында, кө птеген жидектерде антоциандар доминатталады. Антоциандармен қ атар флавон, флавонол, халкон гликоздтері жә не каротиноидтар бірге кездесуі мү мкін [17].

Қ арақ ұ мық, бұ ршақ, қ олшатырлы (зонтичных), астра жә не қ ызылгү лділер тұ қ ымдасты ө сімдіктер флавоноидтарғ а бай болады. Кү нбағ ыс, тү ймедақ жә не итошағ ан тамырларында флавоноид кө п болғ андық тан, халық медицинасында бұ л ө сімдік тү рін пайдаланады [18].

«Сапонин» немесе «сапонозид» (латынша sapo – сабын)1811 жылы Шрайдер Saponaria officinalis – мыльнянка ө сімдігінен бө ліп алғ ан, ол сумен кө п мө лшерде кө бік беретін зат, ал 1819 жылы «сапонин» терминін Мэлон ұ сынғ ан болатын. Сапониндер – жоғ ары молекулалық массасы бар, кү рделі гликозидті органикалық, ө здеріне тә н арнайы қ асиеттері бар қ осылыстар, қ ұ рамында сапониндер кездесетін шикізаттың сулы ерітінділері кө п кө бік тү зеді; қ анғ а тү сіп, эритроциттің гемолизін тудырады; салқ ынқ андыларғ а (бақ а, балық, қ ұ рттар) улы, миллион есе сұ йылтса да ө лімге ә келеді [19].

Гликозидтерге тә н сапониндер молекуласы кө мірсулы бө ліктен жә не агликоннан тұ рады. Агликонды сапогенин (генин) деп атайды. Қ ышқ ылды жә не ферментті гидролиз нә тижесінде сапониндер қ ант пен агликонғ а ыдырайды. Моносахаридтер (пентоза немесе гексоза) молекуласының саны бойынша сапониндерді монозидтер, биозидтер, триозидтер, тетразидтер, пентозидтер жә не олигозидтерге жіктеуге болады. Сапониндер екі кө мірсулы тізбектермен агликон қ атысында дигликозидтерге жатады [20].

Сапониндердің кө мірсулы бө лігі кө бінесе бірнеше моносахарид молекулаларынан тұ ратындық тан, гидролиз кейбір шарттарда қ анттардың біртіндеп ү зілуімен сатылы ө теді. Бө лшекті гидролиздің нә тижесінде осы жағ дайларда тү зілген ө німдер просапогениндер деп аталады [21].

Сапониндер стероидты топтары сахаридтерге онша бай емес, олардың қ ұ рамыында 1-5-қ анттар кіреді, тритерпенді сапониндер (10 жә не одан да кө п) қ анттарғ а байырақ болады. Кө мірсулы бө лігі кө п жағ дайларда А сақ инасының кө міртегі қ аң қ асында С3 кө міртегі атомындағ ы гидроксилді топқ а жалғ анғ ан. Кейбір тритерпенді гликозидтердің О-ацилгликозидті байланыспен С28 кө міртегі атомында байланысқ ан кө мірсулы тізбегі бар. Қ ант компоненті сызық ты (басқ а топтардың кө птеген гликозидті сияқ ты) жә не тармақ талғ ан тізбекті (мысалы, В аралозид) болуы мү мкін [22].

Тірі табиғ атта С30 – изопреноидтар екі тү рлі формада: байланыспағ ан тү рде жә не гликозид тү рінде кездесуі мү мкін. Гликолизденген тритерпеноидтар ерітінділерін араластырғ анда сабынның кө бігіне ұ қ сас (sapo – сабын) тұ рақ ты кө бік тү зу қ абілеті болғ андық тан, оларды сапониндер деп атағ ан. Генин тү рінде кең інен таралғ андары олеанан қ атарының қ осылыстары, ә сіресе олеанол жә не эхиноцист қ ышқ ылдары, хедерагенин жә не гипсогенин болып табылады [23].

Хедерагенин

Сапониндер сапогениндердің (агликонның) химиялық табиғ аты бойынша қ асиеттерімен ерекшеленетін ү ш топқ а бө лінеді:

1. Стероидты сапониндер;

2. Стероидты гликоалкалоидтар;

3. Тритерпенді сапониндер.

Стероидты сапониндер циклопентапергидрофенантрен туындылары болып табылады, С1617 жағ дайларында спиростанды (I) немесе фуростан (II) топтары бар С27-стеролдарғ а жатады. Агликондар ә рқ ашан С3-те гидрокситоптары, ал кейде С1, С2, С5, С12 -лерде болады. Кө бінесе С56 кө мірсутектерінде қ ос байланыс болады [24].

Холестан Спиростан

 

Фуростан

 

Стероидты сапониндер кө бінесе жү ректі гликозидтермен бірге ө сімдіктерде кездеседі, мысалы, наперстянка, ландыш жә не т.б.

Стероидты алкалоидтар немесе оларды гликоалкалоидтар деп те атайды. Олар табиғ и қ осылыстар алкалоидтардың, сонымен қ атар стероидты сапониндерге қ асиеттері тә н [25].

Соласодин

 

Бұ л қ осылыс Паслен дольчатый (Solanum lacіnіatum) ө сімдігінен бө лінген.

Тритерпенді сапониндер изопрен – (С5Н8)6 туындылары болып келеді. Конденсирленген сақ иналарының санына байланысты екі топқ а бө леді: пентациклді жә не тетрациклді. Пентациклді сапониндерді ө з алдына бірнеше топтарғ а жіктейді:

a) α -амирин тобы (урсан) – I;

b) β -амирин тобы (олеанан) – II;

c) лупеол тобы III жә не т.б.

α -амирин тобына бү йрек шайының сапониндері; β -амирин тобына мия, конский каштан, синюха голубая, аралия маньчжурская сапониндері жатады.

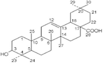
Пентациклділерде ә детте С3, С16, С21, С22, С24 жағ дайларда гидрокси топтары; С28, С29 кө міртегілерінде карбоксилді топтары (глицирризин қ ышқ ылы), карбонилді топтары С3, С11-кө міртек атомында болады. Гидрокситоптары органикалық қ ышқ ылдармен этерефикациялануы мү мкін. Қ ос байланыс С1213 жағ дайларда тұ рады [26].

 

β -амирин (Олеанан) α -амирин (Урсан)

 

α - амирин туындылары: азиатикалық жә не урсол қ ышқ ылдары ө сімдіктерінің кутровых жә не вересковых тұ қ ымдастарынан бө лінген.

 

Лупеол (Лупан)

 

Табиғ атта кең інен таралғ ан β -амирин туындылары, мысалы, олеанол қ ышқ ылы – кө птеген дә рілік ө сімдіктерден (аралия, патриния, синюха, календула жә не т.б.) алынғ ан сапониндердің агликоны; баррингтогенол С – конский каштан, қ ытай шайынан бө лінген сапониндердің агликондары:

 

Олеан қ ышқ ылы

 

Лупеол туындылары – бетулин жә не бетул қ ышқ ылы – қ айың ағ ашынан алынғ ан.

Тетрациклді тритерпенді сапониндерді екі топқ а бө луге болады:

a) даммаран тобы;

b) циклоартран тобы.

Даммаран тобына алтын тамыр (женьшень) ө сімдігінен алынғ ан сапониндердің (панаксозидтер) агликондары, ал циклартрандарғ а – ұ лпагү лді астрал (шерстистоцветковый) (дазиантогенин) жатады.

Сапониндердің физико-химиялық қ асиеттері кең шектерде ө згереді жә не гениндер мен кө мірсу компоненттерінің қ ұ рылымына тә уелді. Сапониндер, негізінен, аморфты заттар болып келеді. Кристалды тү рге тек қ ана қ ұ рамында тө рт моносахарид қ алдық тарынан артық емес қ осылыстарының ө кілдері ие.

Сапониндер – кү шті беттік жә не оптикалық белсенділіктері бар заттар, олардың молекуласында гидрофобты жә не гидрофилді қ алдық тардың бар болуына байланысты [27].

 


Поделиться с друзьями:

mylektsii.su - Мои Лекции - 2015-2026 год. (2.523 сек.)Все материалы представленные на сайте исключительно с целью ознакомления читателями и не преследуют коммерческих целей или нарушение авторских прав Пожаловаться на материал