Студопедия

Главная страница Случайная страница

КАТЕГОРИИ:

АвтомобилиАстрономияБиологияГеографияДом и садДругие языкиДругоеИнформатикаИсторияКультураЛитератураЛогикаМатематикаМедицинаМеталлургияМеханикаОбразованиеОхрана трудаПедагогикаПолитикаПравоПсихологияРелигияРиторикаСоциологияСпортСтроительствоТехнологияТуризмФизикаФилософияФинансыХимияЧерчениеЭкологияЭкономикаЭлектроника






Папаверин и его синтетические аналоги






Содержание

 

 

Введение 3

1. Папаверин и его синтетические аналоги_ 4

2. Оценка качества лекарственных препаратов и лекарственных форм, содержащих синтетические аналоги папаверина 10

2.1. Дротаверина гидрохлорид_ 10

2.2. Дибазол_ 15

3. Методы, применяемые в анализе синтетических аналогов папаверина и многокомпонентных лекарственных форм на их основе 18

3.1. Хроматографические методы_ 18

3.2. Электрохимические методы_ 23

3.3. Фотометрические методы_ 30

Заключение 34

Список литературы_ 36

 

 

Введение

 

Папаверин применяется в качестве спазмолитического средства при гипертонии, стенокардии, мигрени [1]. В настоящее время созданы синтетические аналоги папаверина – дротаверин, дибазол и др.

Данные вещества широко применяются в составе многокомпонентных препаратов спазмолитического действия.

Многокомпонентные лекарственные препараты на сегодняшний день занимают значительную долю на рынке фармацевтической продукции, что связано с ростом числа заболеваний, приходящихся на одного пациента.

Кроме того, комбинация нескольких лекарственных веществ в одном препарате позволяет снизить нежелательные побочные эффекты, получить синергическое действие лекарственных веществ, избавить пациента от необходимости приема нескольких монопрепаратов.

Целью настоящего исследования является рассмотрение особенностей анализа субстанций и лекарственных форм, содержащих синтетические аналоги папаверина.

Для достижения цели поставлены следующие задачи:

- химическая и фармакологическая характеристика синтетических аналогов папаверина;

- изучение данных литературы и нормативной документации на препараты, содержащие синтетические аналоги папаверина;

- сравнение аналитических методик и выбор оптимальных для осуществления контроля качества препаратов по различным показателям.

 

 

Папаверин и его синтетические аналоги

 

Препараты, влияющие на спазм (спазмолитики), снимающие его и восстанавливающие функциональные (в первую очередь моторные) расстройства, наиболее часто используются в терапевтической практике. Они могут применяться в качестве этиотропной терапии при первичных функциональных расстройствах и в качестве патогенетического компонента лечения при вторичном характере этих расстройств. Снимая спазм и нормализуя моторику, они способствуют восстановлению пассажа содержимого по кишечнику и секрета по выводным протокам, что является основным залогом нормальной работы ЖКТ. Очень важным постулатом их использования в «острых» клинических ситуациях является то, что они не влияют на механизмы болевой чувствительности и не затрудняют диагностику «острой хирургической патологии» [1, 2].

Спазмолитики представляют разнородную группу препаратов, отличающихся по механизму и избирательности действия на разные органы [1].

В зависимости от механизма действия спазмолитики делятся на 2 группы: миотропные и нейротропные. На сегодняшний день мы располагаем большим арсеналом препаратов, действующих на разные патологические звенья спазма гладкой мускулатуры, формирующие боль. Задача врача состоит в том, чтобы выбрать адекватный спазмолитик, свести к минимуму побочные эффекты, максимально быстро купировать боль и не допускать ее возврата.

Характеристика основных групп спазмолитиков

1. Миотропные спазмолитики.

Уменьшают мышечный тонус путем прямого воздействия на гладкомышечные клетки:

• блокаторы ионных каналов;

• ингибиторы фосфодиэстеразы (ФДЭ) 4-го типа;

• нитраты.

В свою очередь они подразделяются на селективные и неселективные.

Селективные – блокаторы кальциевых каналов: пинаверия бромид (Дицетел), отилония бромид (Спазмомен); блокаторы натриевых каналов: мебеверин (Дюспаталин); донаторы оксида азота: изосорбид динитрата, нитроглицерин, нитропруссид натрия.

Неселективные – ингибиторы ФДЭ: дротаверин (Но-шпа), папаверин, аминофиллин, бенциклан.

2. Нейротропные спазмолитики.

Блокируют процесс передачи нервных импульсов в вегетативных ганглиях и нервных окончаниях, стимулирующих гладкомышечные клетки.

Нейротропные спазмолитики, осуществляющие блокаду М1, 2, 3- холинорецепторов гладкой мышечной клетки:

• природные (атропин, гиосцинамин, препараты красавки, платифиллин, скополамин);

• синтетические центральные (адифенин, апрофен, апренал, циклозил);

• полусинтетические периферические гиосцина бутилбромид (Бускопан) [3, 5].

Широкая распространенность и разнообразие мускариновых рецепторов в организме, подтверждают теоретическое обоснование применения холинолитиков [3].

Выбор спазмолитика в каждом конкретном случае боли зависит от локализации спазма и выраженности спазмолитического эффекта препарата [1].

Папаверин вместе с некоторыми алкалоидами (лауданозин, лауданин, наркотин, нарцеин) принадлежит к алкалоидам опия, добываемого из незрелых плодов мака снотворного (Papaver somniferum L.). Папаверин и наркотин в отличие от морфина, который также является алкалоидом опия, обладают очень слабыми наркотическими свойствами [4].

Папаверин угнетает фермент фосфодиэстеразу и вызывает внутриклеточное накопление циклического 3', 5'-аденозинмонофосфата, который способствует связыванию ионов кальция внутри мы­шечной клетки, что, в конечном итоге, приводит к на­рушению сократимости гладких мышц и их расслабле­нию при спастических состояниях. Папаверина гидрохлорид снижает тонус крупных сосудов и артериол, в том числе мозговых сосудов, оказывает спазмолитическое действие на вены и другие гладко-мышечные органы. В больших дозах снижает возбуди­мость сердечной мышцы и замедляет внутрисердечную проводимость [6, 7].

Дротаверина гидрохлорид является синтетическим аналогом папаверина гидрохлорида, а с точки зрения химического строения является производным бензилизохинолина.

Дротаверина гидрохлорид принадлежит к группе лекарственных средств, обладающих спазмолитиче­ской активностью (спазмолитик миотропного дейст­вия), и является основным действующим веществом препарата " но-шпа". По химической структуре и фармакологическим свойствам близок к папаверину, но обладает более сильным и продолжительным дей­ствием [10].

Дротаверин (Но-шпа) имеет большой рейтинг популярности благодаря универсальности действия. Основной механизм действия препарата обусловлен влиянием на активность фермента, регулирующего процесс мышечного сокращения и расслабления – ФДЭ 4-го типа, препарат проникает в разные ткани ЖКТ, билиарную систему, мочевыводящие пути, сосуды, воздействует на повышенный тонус матки, эффективен при нефролитиазе [2, 10]. Выпускается в таблетированном виде и может применяться парентерально для оказания быстрой помощи при коликах. Предпочтение дротаверину отдают при сочетанной локализации болей или при болях, склонных к генерализации. Папаверин – также ингибитор ФДЭ, но не обладает селективностью в отношении определенного семейства ФДЭ. Действие его на миоциты ЖКТ в 5 раз ниже, чем у Но-шпы [2, 10].

Бендазол — Bendazol — Bendazolum (Дибазол — Dibazolum) 2-(Фенилметил)- 1Н-бензимидазол – важнейшее производное бензимидазола.

Общетонизирующее, общеукрепляющее средство, адаптоген. Средство, влияющее на нервномышечную передачу. Вазодилататор. Спазмолитик миотропный. Применяется как мягкое антигипертензивное средство.

Используют при обострении гипертонической болезни и кризах, спазмах гладких мышц внутренних органов (язвенная болезнь, спазмы кишечника) и как мягкое иммуностимулирующее средство.

Лекарственные формы: таблетки по 0, 02, 0, 002, 0, 003, 0, 004 г; 0, 5 % или 1 % раствор в ампулах по 1, 2 и 5 мл; входит в состав таблеток: «Папазол» (с папаверином), «Амазол» (с амидопирином), «Андипал» (с анальгином), «Теодибаверин» (с теобромином).

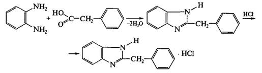
Впервые 2-бензилбензимидазол был синтезирован в 1899 г. немецкими химиками Р. Вальтером и Т. Пулавски длительным нагреванием о-фенилендиамина с небольшим избытком фенилуксусной кислоты до 180 °C. В конце 1940-х гг. О.Ф. Гинзбург детально изучил кислотно-катализируемую конденсацию о-фенилендиамина с карбоновыми кислотами, приводящую к образованию 2-алкил- и 2-арилбензимидазолов, и установил её механизм. 2-Бензилбензимидазол был получен им нагреванием в запаянной трубке эквимолярной смеси о-фенилендиамина и фенилуксусной кислоты в 10 % соляной кислоте в течение 40 мин при 180–185 °C с выходом 98 %. Гидрохлорид был выделен кристаллизацией свободного основания из 5 % соляной кислоты. Этот способ получения 2-замещённых производных бензимидазола в 1947 г. был защищён авторским свидетельством и в этом же году опубликован в «Журнале общей химии». Гетероциклизацию о-фенилендиамина с фенилуксусной кислотой можно осуществить не только под давлением, но и при атмосферном давлении, а также в условиях микроволновой активации.

Предложенный в 1947 г. О.Ф. Гинзбургом, Л.С. Эфросом и Б.А. Порай-Кошицем способ получения 2-бензилбензимидазола лёг в основу промышленной технологии дибазола: первый технологический регламент получения лекарственной субстанции дибазола нагреванием о-фенилендиамина с фенилуксусной кислотой в солянокислой среде при атмосферном давлении был разработан на ленинградском химико-фармацевтическом предприятии «Фармакон» Василием Федоровичем Морозовым совместно с сотрудниками кафедры красителей в 1951 г [9, 25].

Первая промышленная партия дибазола была выпущена на этом заводе несколько раньше, в 1950 г. Впоследствии на этом производстве, вплоть до его остановки в 2004 г., вместо фенилуксусной кислоты использовали её нитрил.

В настоящее время в промышленном синтезе дибазола в качестве предшественника бензильного фрагмента используют не только фенилуксусную кислоту или её нитрил, но также и её амид — фенилацетамид, при этом во всех случаях пятичленный цикл формируется комбинацией фрагментов по схеме 4 + 1 [25]:

 

В начале 1950-х гг. Ленинградский химико-фармацевтический завод (ныне не существует) первым в стране начал выпускать лекарственные формы дибазола в виде таблеток и ампулированных растворов.

В постперестроечные годы субстанцию и лекарственные формы дибазола производили многочисленные предприятия России и ближнего зарубежья, некоторые из них продолжают выпуск этой продукции и в настоящее время [25].

Благодаря простоте молекулярной структуры дибазол очень технологичен: его производят из дешёвого и доступного сырья практически в одну стадию. По этой причине он является одним из самых дешёвых синтетических лекарственных препаратов, что, в свою очередь, позволяет использовать его в медико-социальных программах, подразумевающих длительное курсовое применение препарата большими контингентами населения [25].

 

 


Поделиться с друзьями:

mylektsii.su - Мои Лекции - 2015-2026 год. (3.342 сек.)Все материалы представленные на сайте исключительно с целью ознакомления читателями и не преследуют коммерческих целей или нарушение авторских прав Пожаловаться на материал