Студопедия

Главная страница Случайная страница

КАТЕГОРИИ:

АвтомобилиАстрономияБиологияГеографияДом и садДругие языкиДругоеИнформатикаИсторияКультураЛитератураЛогикаМатематикаМедицинаМеталлургияМеханикаОбразованиеОхрана трудаПедагогикаПолитикаПравоПсихологияРелигияРиторикаСоциологияСпортСтроительствоТехнологияТуризмФизикаФилософияФинансыХимияЧерчениеЭкологияЭкономикаЭлектроника






Задача 3. Исследовать функцию методами дифференциального исчисления, начертить их графики






Исследовать функцию методами дифференциального исчисления, начертить их графики. Исследование функций и построение графиков рекомендуется проводить по следующей схеме:

1) Найти область определения функции

2) Исследовать функцию на непрерывность; найти точки разрыва функции и ее односторонние пределы в точках разрыва;

3) найти точки экстремума функции и определить интервалы ее монотонности;

4) найти точки перегиба графика функции и определить интервалы выпуклости и вогнутости графика;

5) найти асимптоты графика функции;

6) построить график, используя результаты предыдущих исследований;

7) для функции найти наибольшее и наименьшее значения на отрезке

Решение.

1) Областью определения данной функции являются все действительные значения аргумента то есть = , а это значит, что функция непрерывна на всей числовой прямой и ее график не имеет вертикальных асимптот.

2) Исследуем функцию на экстремум и интервалы, монотонности. С этой целью найдем ее производную и приравняем к нулю:

. Решая полученные квадратное уравнение, делаем вывод о том, что функция имеет две критические точки 1 рода: Разбиваем область определения этими точками на части и по изменению знака производной в них выявляем промежутки монотонности и наличие экстремума.

 

+     +
  max   min  

 

3) Определим точки перегиба графика функции, интервалы его выпуклости и вогнутости. Для этого найдем вторую производную заданной функции и приравняем ее к нулю:

; .

 

Итак, функция имеет одну критическую точку 2 рода

Разобьем область определения полученной точкой на части, в каждой из которых установим знак второй производной:

  +
Ç т.п. È

 

Значение является абсциссой точки перегиба графика функции, а ордината этой точки:

4) Выясним наличие у графика заданной функции наклонных асимптот. Для определения параметров уравнения асимптоты воспользуемся формулами: ;

Таким образом, у графика заданной функции наклонных асимптот нет.

5) Для построения графика в выбранной системе координат изобразим точки максимума , минимума , перегиба и точки пересечения графика с осью

С учетом результатов предыдущих исследований построим кривую.

 

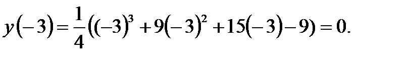
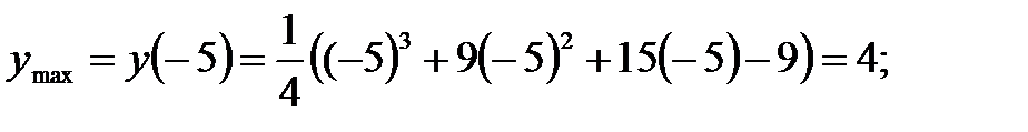
6) Найдем наибольшее и наименьшее значения заданной функции на отрезке Для этого посчитаем значения функции на концах этого отрезка, в критических точках 1 рода, попавших на отрезок, и сравним результаты:

Очевидно,

 


Поделиться с друзьями:

mylektsii.su - Мои Лекции - 2015-2026 год. (0.204 сек.)Все материалы представленные на сайте исключительно с целью ознакомления читателями и не преследуют коммерческих целей или нарушение авторских прав Пожаловаться на материал