Студопедия

Главная страница Случайная страница

КАТЕГОРИИ:

АвтомобилиАстрономияБиологияГеографияДом и садДругие языкиДругоеИнформатикаИсторияКультураЛитератураЛогикаМатематикаМедицинаМеталлургияМеханикаОбразованиеОхрана трудаПедагогикаПолитикаПравоПсихологияРелигияРиторикаСоциологияСпортСтроительствоТехнологияТуризмФизикаФилософияФинансыХимияЧерчениеЭкологияЭкономикаЭлектроника






Используя установку маятника Максвелла можно экспериментально определить момент инерции диска Максвелла.






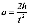
Снабдив диск выбранным кольцом, измеряют время падения диска из положения покоя с высоты h. В соответствии с приведенными раннее расчетами он будет падать с ускорением a, определенным формулой (7). Ускорение a может быть вычислено из измерения t и h так как путь, пройденный за время t при ускоренном движении равен:

, (8)

откуда

. (9)

Подставляя (9) в (7), находим момент инерции диска относительно мгновенной оси

, (10)

где m = m0 + mд + mк - полная масса диска Максвелла; m0 - масса оси (34, 0 г); mд - масса диска (125, 6 г); mк - масса кольца (укз. на кольце);

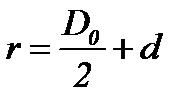
- плечо силы (11)

где D0 – диаметр оси, d - толщина нити бифилярной подвески (0, 5 мм).

Согласно теореме Гюйгенса-Штейнера момент инерции тела относительно какой-либо оси равен моменту инерции его относительно параллельной оси, проходящей через центр масс, сложенный с величиной ms2, s - расстояние между осями

I = I0 + mr2 (12)

I0 = I - mr2 (13)

Подставляя значение из (10), получим

. (14)

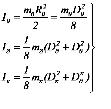
Имеющийся в нашем распоряжении диск Максвелла состоит из цилиндрической оси (D0 = 10 мм), диска, посаженного на ось с внешним диаметром Dд = 86 мм и кольца, посаженного на диск с внешним диаметром Dк = 105 мм.

Момент инерции этого устройства легко подсчитать

I = I0 + Iд + Iк (15)

где I – общий момент инерции диска Максвелла, I0, Iд, Iк - моменты инерции оси, диска, кольца соответственно.

Момент инерции диска можно подсчитать по общей формуле для момента инерции твердого тела

(16)

интегрирование производится по объему.

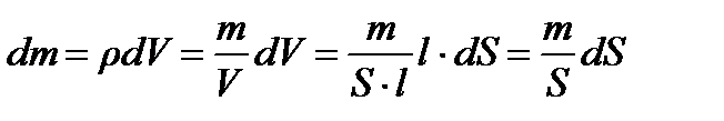
Ввиду однородности диска

(17)

где r = m/V – плотность материала диска, l - толщина диска, которая роли не играет.

Dr

R

R

 

Из рисунка видим, что S = pR2, а dS =2prdr. (18)

Подставляя в формулу (16), получим

. (19)

Интегрирование проводится для сплошного диска от 0 до R, для кольца от внутреннего радиуса до наружного. Поэтому

(20)

т. е., вычисляются все по отдельности и согласно формуле (15) образуют общий момент инерции диска Максвелла (см. рис.).


Поделиться с друзьями:

mylektsii.su - Мои Лекции - 2015-2026 год. (1.394 сек.)Все материалы представленные на сайте исключительно с целью ознакомления читателями и не преследуют коммерческих целей или нарушение авторских прав Пожаловаться на материал