Студопедия

Главная страница Случайная страница

КАТЕГОРИИ:

АвтомобилиАстрономияБиологияГеографияДом и садДругие языкиДругоеИнформатикаИсторияКультураЛитератураЛогикаМатематикаМедицинаМеталлургияМеханикаОбразованиеОхрана трудаПедагогикаПолитикаПравоПсихологияРелигияРиторикаСоциологияСпортСтроительствоТехнологияТуризмФизикаФилософияФинансыХимияЧерчениеЭкологияЭкономикаЭлектроника






Контроль состояния денежных активов.






Контроль может исходить из следующих критериев:

1) неотложные обязательства ≤ остаток денежных средств

2) краткосрочные обязательства ≤ остаток денежных средств + чистая ДЗ

3) уровень доходности ДА ≥ среднерыночной доходности

4) уровень доходности ДА > уровень инфляции

Вопрос 9. Управление запасами: анализ, цели формирования, оптимизация и контроль

 

Запасы – это товары, приобретенные для продажи или сырье, используемое для производства продукции с целью ее дальнейшей продажи. Запасы включают в себя:

- товарно-материальные запасы (сырье и материалы);

- незавершенное производство;

- готовую продукцию на складе.

Под управлением запасами понимается контроль за состоянием запасов и принятие решений, нацеленных на экономию времени и средств за счет минимизации затрат по содержанию запасов, необходимых для своевременного выполнения производственной программы.

Цель системы управления запасами – обеспечение бесперебойного производства продукции в нужном количестве и в установленные сроки и достижение на основе этого полной реализации выпуска при минимальных расходах на содержание запасов.

Анализ состояния и эффективности управления запасами проводится по следующим показателям:

- Удельный вес величины запасов в общей сумме оборотных активов;

- Оборачиваемость запасов;

- Продолжительность 1 оборота запасов;

- Величина расходов, связанных с содержанием запасов;

- Сезонность.

Эффективное управление товарно-материальными запасами (ТМЗ) позволяет:

- уменьшить производственные потери из-за дефицита материалов;

- ускорить оборачиваемость этой категории оборотных средств;

- свести к минимуму излишки товарно-материальных запасов, которые увеличивают стоимость операций и " замораживают" дефицитные денежные средства;

- снизить риск старения и порчи товаров;

- снизить затраты на хранение товарно-материальных запасов.

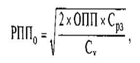
Для управления запасами используется метод АВС. Согласно данному методу запасы сырья и материалов делятся на 3 категории по степени важности отдельных видов в зависимости от их удельной стоимости:

- Категория А - включает ограниченное количество наиболее ценных видов ресурсов, которые требуют постоянного и скрупулезного учета и контроля (возможно даже ежедневного). Для этих ресурсов обязателен расчет оптимального размера заказа.

- Категория В – составлена из тех видов ТМЗ, которые в меньшей степени важны для предприятия и которые оцениваются и проверяются при ежемесячной инвентаризации, для ТМЗ этой категории, как и категории А, приемлемы методики определения оптимального размера заказа.

- Категория С – включает широкий ассортимент оставшихся малоценных видов ТМЗ, закупаемых обычно в большом количестве.

При оптимальном размере заказа общие издержки управления запасами являются минимальными. Последние состоят из издержек выполнения заказа и издержек хранения запасов.

С одной стороны, предприятию выгодно завозить товары как можно более высокими партиями. Чем выше размер партии поставки товаров, тем ниже совокупный размер операционных затрат по размещению заказов в определенном периоде (оформлению заказов, доставке заказанных товаров на предприятие и их приемке).

Сумма совокупных операционных затрат по размещению заказов при этом определяется по следующей формуле:

ОЗрз = Р Х Срз
РПП

где ОЗрз— сумма совокупных операционных затрат по размещению заказов;

Р— объем товарооборота предприятия в рассматриваемом периоде;

РПП — средний размер одной партии поставки товаров;

Ср3 — средняя стоимость размещения одного заказа.

Из приведенной формулы видно, что при неизменном объеме товарооборота предприятия и средней стоимости размещения одного заказа общая сумма операционных затрат по размещению заказов минимизируется с ростом среднего размера одной партии поставки товаров. С другой стороны, высокий размер одной партии поставки товаров вызывает соответствующий рост операционных затрат по хранению товаров на предприятии, так как при этом увеличивается средний размер запаса в днях оборота (период их хранения).

Сумма операционных затрат по хранению запасов товаров на предприятии может быть определена по следующей формуле:

ОЗхр = РПП Х СХ
 

где ОЗХР — сумма операционных затрат по хранению запасов товаров на предприятии;

РПП — средний размер одной партии поставки товаров;

Сх — стоимость хранения единицы товара в рассматриваемом периоде.

Из приведенной формулы видно, что при неизменной стоимости хранения единицы товара в рассматриваемом периоде общая сумма операционных затрат по хранению товарных запасов на предприятии минимизируется при снижении среднего размера одной партии поставки товаров.

Таким образом, с ростом среднего размера одной партии поставки товаров снижаются операционные затраты по размещению заказа и возрастают операционные затраты по хранению товарных запасов на предприятии (и наоборот). Модель позволяет оптимизировать пропорции между этими двумя группами операционных затрат таким образом, чтобы совокупная их сумма была минимальной.

 
 

Математически Модель ЕОQ выражается следующей принципиальной формулой:

 


Поделиться с друзьями:

mylektsii.su - Мои Лекции - 2015-2026 год. (1.131 сек.)Все материалы представленные на сайте исключительно с целью ознакомления читателями и не преследуют коммерческих целей или нарушение авторских прав Пожаловаться на материал