Студопедия

Главная страница Случайная страница

КАТЕГОРИИ:

АвтомобилиАстрономияБиологияГеографияДом и садДругие языкиДругоеИнформатикаИсторияКультураЛитератураЛогикаМатематикаМедицинаМеталлургияМеханикаОбразованиеОхрана трудаПедагогикаПолитикаПравоПсихологияРелигияРиторикаСоциологияСпортСтроительствоТехнологияТуризмФизикаФилософияФинансыХимияЧерчениеЭкологияЭкономикаЭлектроника






Нормальное распределение






Плотность нормального закона распределения имеет вид

Соответственно функция распределения записывается следующим об­разом:

Определим один из показателей надежности - вероятность безот­казной работы:

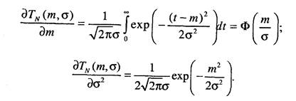
Вычислим частные производные:

Среднее время между реализациями событий определяется по форму­ле

Соответственно частные производные определяются как

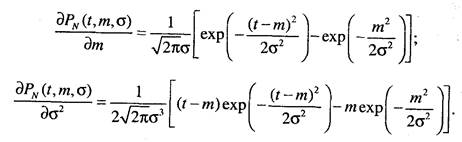
И, наконец, для интенсивности наступления события имеем

Выражения для частных производных имеют вид

Таким образом, представлены формулы для определения соответ­ствующих производных показателей по параметрам закона распреде­ления для нормального закона. Обобщением нормального закона рас­пределения является усеченное нормальное распределение. Рассмот­рим применение одностороннего усеченного нормального распределе­ния в задачах оценивания показателей сложных систем. В ряде задач системного анализа случайные параметры положительно определены. Примером могут служить задачи теории надежности, в которых слу­чайные параметры имеют область определения от 0 до °°, например, наработка до отказа - величина положительно определенная. В этом случае нормальный закон распределения применять для описания дан­ных случайных величин неправомерно. В таких ситуациях применяют усеченное слева нормальное распределение. Рассмотрим данный слу­чай применительно к оцениванию показателей надежности.


Поделиться с друзьями:

mylektsii.su - Мои Лекции - 2015-2026 год. (1.927 сек.)Все материалы представленные на сайте исключительно с целью ознакомления читателями и не преследуют коммерческих целей или нарушение авторских прав Пожаловаться на материал