Студопедия

Главная страница Случайная страница

КАТЕГОРИИ:

АвтомобилиАстрономияБиологияГеографияДом и садДругие языкиДругоеИнформатикаИсторияКультураЛитератураЛогикаМатематикаМедицинаМеталлургияМеханикаОбразованиеОхрана трудаПедагогикаПолитикаПравоПсихологияРелигияРиторикаСоциологияСпортСтроительствоТехнологияТуризмФизикаФилософияФинансыХимияЧерчениеЭкологияЭкономикаЭлектроника






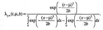
Одностороннее усеченное нормальное распределение






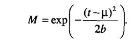
Плотность распределения усеченного нормального закона с односторонним усечением слева в точке 0 имеет вид

Соответственно функция распределения запишется как

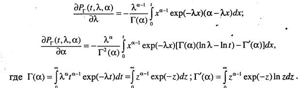
Перейдем к определению вероятностных показателей. Вероятность бе­зотказной работы вычисляется по формуле

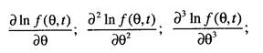
Введем обозначения:

Соответствующие производные имеют вид

Среднее время между реализациями событий определяется по форму­ле

Обозначим числитель через L.

Соответствующие производные вычисляются по формулам

Наконец, интенсивность наступления событий равна

Введем обозначение

Определим производные интенсивности по параметрам

и последнее выражение

где соответствующие составляющие определяются по формулам

Логарифмически-нормальное распределение

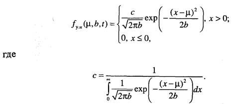
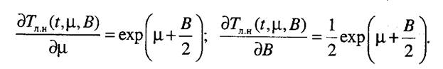
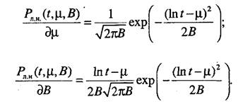
Логарифмически-нормальному закону распределения подчиняется случайная величина t, логарифм которой распределен по нормальному закону. Плотность распределения логарифмически-нормального закона имеет вид

Функция распределения имеет вид

где В = b2.

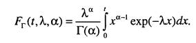
Запишем формулы для определения показателей надежности

Соответствующие производные имеют вид

Для определения средней наработки до отказа используют формулу

Производные равны

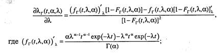
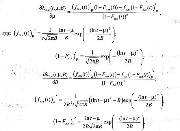
Выражение для определения интенсивности отказов имеет вид

Частные производные определяются из выражений

Распределение Вейбулла

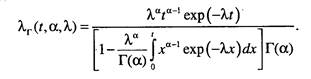
Плотность распределения Вейбулла имеет вид

функция распределения

где а - параметр масштаба; Ъ - параметр формы распределен^ Вей­булла. Запишем выражение для вероятности безотказной работы

Вычислим производные данного выражения по параметрам распреде­ления:

Средняя наработка до отказа определяется по формуле

Соответствующие производные равны

Интенсивность отказа равна

Производные по параметрам имеют вид

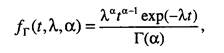
Гамма-распределение

Плотность гамма-распределения записывается следующим обра­зом

где Г(a) - гамма-функция.

Соответственно функция распределения имеет вид

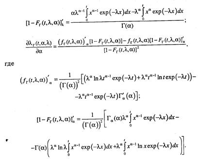
Вероятность безотказной работы вычисляется по формуле

Производные по параметрам равны

Средняя наработка до отказа определяется по формуле

Соответствующие производные равны

Интенсивность отказов записывается

Производные по параметрам определяются в виде

Таким образом, получены выражения, позволяющие решать вопро­сы оценки точности в определении показателей сложных систем. Рас­смотрены наиболее часто используемые в системном анализе законы распределения. Получены формулы для определения основных показа­телей систем и вычислены первые частные производные показателей по параметрам соответствующих законов распределения. Следующим вопросом, который требует решения, является вопрос оценивания па­раметров выбранного закона распределения. Рассмотрим, как решает­ся данная задача.

7.2. Использование метода максимального

правдоподобия для оценивания параметров законов распределения

Метод максимального правдоподобия широко используется при оце­нивании параметров сложных систем. Этот метод служит основой про­цедур проверки статистических гипотез и доверительного интерваль­ного оценивания. Оценки характеристик, получаемые методом макси­мального правдоподобия, обладают рядом важных свойств, таких как несмещенность, асимптотическая эффективность, состоятельность [35].

Рассмотрим применение метода максимального правдоподобия для решения задач оценивания параметров законов распределения. Вид закона распределения исследуемой случайной величины будем предпо­лагать известным.

Определим функцию правдоподобия параметра б как неотрицатель­ную вещественную функцию L(Q, t), заданную на множестве 0хГ, про­порциональную функции плотности распределения:

где 0 - область определения вектора параметров 0; Г- область опре­деления наблюдаемой случайной величины t, по результатам наблюде­ния за которой про-изводится оценивание параметров 6; Т. - реализа­ция случайной величины t; 0 - в общем случае вектор параметров за­кона распределения.

Оценкой максимального правдоподобия для заданной функции прав­доподобия L(Q, i) является функция 0(7), удовлетворяющая соотноше­нию [36]:

Для нахождения оценки 0 решают уравнение

Поскольку ш Д0, t) при фиксированных TvT2,..., Tn достигает макси­мума при том же значении 0, что и Ц0, i), значения 0 можно опреде­лять, решая уравнение

Для величины In L(Q, t) используют обозначение /(8, /).

Одним из важных достоинств метода максимального правдоподо­бия является то, что он позволяет получить асимптотически нормаль­ные и эффективные оценки параметров функции распределения случай­ной величины t. Для этого необходимо, чтобы выполнялся ряд условий, называемых условиями регулярности [32].

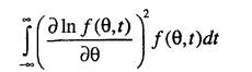
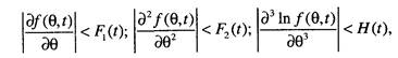
Для каждого 0, принадлежащего некоторому невырожденному ин­тервалу в, существуют производные

для каждого 0 из 0 имеем

где F, (0, F2(t), H{i) - некоторые функции, удовлетворяющие следую­щим условиям:

, • F, (0, -F2(0 интегрируемы на (-оо, оо) и интеграл |я(О/(9, О*< Р»

причем (3 не зависит от 0;

• для каждого 0 из 0 интеграл

конечен и положителен.

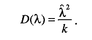
Используя метод максимального правдоподобия при наличии боль­ших объемов выборки, можно произвести оценивание дисперсий век­тора оценок 0. Для этого составляется информационная матрица Фи­шера

где а,. - -М --------, 0 - вектор параметров функции F(Q, i), i = \, n.

Дисперсии и ковариации оценок 0 и 0 определяются из ковариаци­онной матрицы V, которая является обратной матрице I:

Приведем формулы для определения дисперсии параметров зако­нов распределения для двухпараметрических плотностей. Пусть ос и Р - оцениваемые параметры плотности /(ос, Р, t). Пусть определены элементы информационной матрицы

где

Дискриминант матрицы равен

Тогда дисперсию параметров а и Р определим по формулам

Ковариация будет вычисляться следующим образом:

Перейдем к рассмотрению примеров применения метода макси­мального правдоподобия для оценивания параметров некоторых зако­нов распределения, имеющих важное значение в задачах системного анализа.

Экспоненциальное распределение

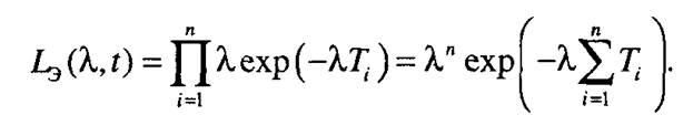
Рассмотрим имеющее важное прикладное значение экспоненциаль-ное распределение. Например, данное распределение широко исполь­зуется в теории надежности для описания случайной величины наработки до отказа. Плотность экспоненциального распределения имеет вид f (Х, 0; функция распределения FJ[X, t) = l- exp(-Xt). Параметр X назы-вается интенсивностью отказов. Запишем функцию правдоподобия

Для определения оценки параметра X необходимо решить уравне­ние

После дифференцирования получаем оценку максимального правдоподобия параметра экспоненциального закона распределения

Дисперсия оценки параметра X характеризует точность этого параметр ра и равняется

Для интенсивности отказов, зная оценку параметра и ее дисперсию, можно определить доверительный интервал с заданной доверительной вероятностью. Если обозначить верхнюю и нижнюю оценки интенсив­ности отказов через Хв и Хн, то можно определить

где L - табулированная величина, которая зависит от уровня доверитель­ной вероятности Р и определяется обратным интерполированием рас­пределения Стьюдента [37, табл. 6.2].

Определение среднего времени между реализациями событий про­изводится по формуле

интервальные оценки равны

Вероятность безотказной работы определяется следующим обра­зом:

соответственно интервальные оценки вычисляются так:

Рассмотрим далее пример оценивания параметров нормального закона распределения.

Нормальное распределение

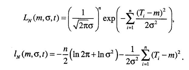
Функция правдоподобия имеет вид

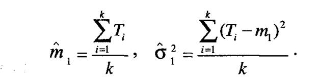
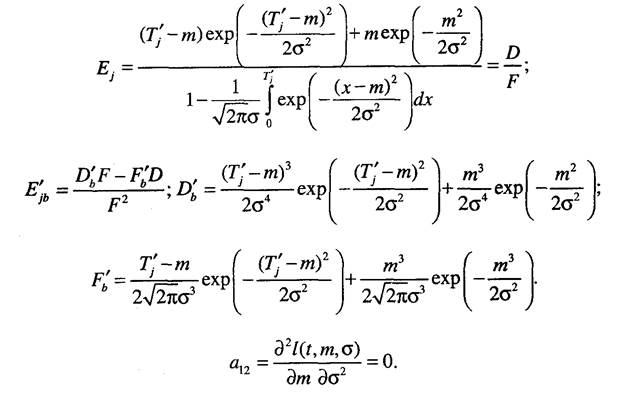
Для определения оценок максимального правдоподобия параметров т и с2 необходимо решить систему уравнений

откуда получаем

Определим точность в оценивании данных параметров. Для этого вычислим вторые производные функции правдоподобия по параметрам:

Дискриминант информационной матрицы будет равен

откуда получаем

Таким образом, рассмотрен метод оценки параметров законов рас­пределения и определения точности в их оценке. Рассмотренные при­меры определения параметров законов распределения имеют важное прикладное значение. Как было указано, экспоненциальное распреде­ление применяется в теории надежности для описания наработок до отказа объектов. Область применения нормального закона распреде­ления еще более широка. Он используется для описания погрешностей, дрейфов параметров, наработок до отказа механических изделий, для которых не удается выделить доминирующей причины, приводящей к отказу, для описания времени обслуживания систем и т.д.

7.3. Оценка вероятностных показателей систем путем обработки цензурированных данных

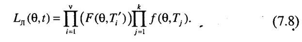
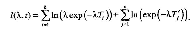
Постановка задачи при обработке цензурированных выборок фор­мулируется следующим образом. Пусть имеется выборка объема г = jfc+v, которая содержит ряд наблюдений за функционированием объек­тов с реализовавшимся признаком TvTy..., Tk (полные наработки), и ряд

наблюдений с нереализовавшимся признаком Т', Т^,..., Т^. Пусть извес­тен закон распределения времени до реализации наблюдаемого признака F(Q, t). Оценим параметры закона распределения. Функция правдопо­добия для выборки, содержащей цензурированные наработки при цен­зурировании справа, запишется следующим образом:

Для цензурированной выборки при цензурировании слева функция прав­доподобия имеет вид:

Процедура получения оценок параметров аналогична изложенной в п. 7.2. А именно, необходимо прологарифмировать функцию правдопо­добия, взять от нее производную по искомому параметру и приравнять ее нулю. Например, в случае цензурирования справа решение будет выглядеть следующим образом. Логарифм от функции правдоподобия записывается в виде

Возьмем производную от данного выражения по искомому параметру

и приравняем полученное выражение нулю. Если 9 - вектор порядка к, то необходимо взять к частных производных для получения системы уравнений

при решении которой находим эффективные несмещенные оценки па­раметров закона распределения F(Q, t).

Рассмотрим примеры оценивания параметров законов распределе­ния.

Экспоненциальное распределение

Запишем функцию распределения F(k, t) = 1 - exp(-X,?) и плотность распределения/^, t) = Хехр(-А/) величины t. Пусть требуется опреде-

лить оценку интенсивности отказа с учетом полных и цензурированных справа наработок. Функция правдоподобия для данного случая пред­ставления информации имеет вид

Возьмем производную от функции правдоподобия по параметру А. и при­равняем ее нулю:

откуда получаем оценку параметра

Точность определения оценки вычисляется по формуле

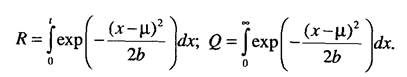
Нормальное распределение

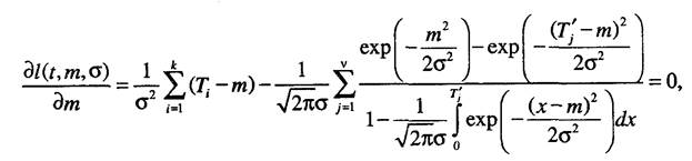
Логарифмическая функция правдоподобия для цензурированной справа выборки имеет вид

Параметры закона распределения определяются из системы уравнений

Данная система уравнений является трансцендентной, решается чис­ленными методами. В качестве первого приближения при решении си­стемы можно взять следующие оценки:

Элементы информационной матрицы определяются в виде

В этом случае ковариация между параметрами а и а2 равна нулю, а дис­персии параметров определяются из выражений

Аналогичные действия выполняются в случае других законов рас­пределения случайной величины, отражающей реализацию наблюдае­мого признака. Приведенные примеры иллюстрируют тот факт, что учет цензурированной информации приводит к существенному усложнению процедуры вычисления параметров рассматриваемого закона распре­деления. Но следует отметить, что сложность решения задачи оцени­вания компенсируется точностью оценок, которую в итоге удается до­стичь за счет учета цензурированной информации.

7.4. Оценивание показателей систем по группированным данным

В ходе проведения наблюдений за функционированием систем в ряде случаев исследователь не имеет возможности получать информацию о реализовавшихся значениях наблюдаемой случайной величины* Из­вестными бывают лишь интервалы значений, в которые попал тот или иной результат наблюдения. Наиболее просто и ясно данную ситуацию иллюстрирует пример с организацией и проведением исследований по определению характеристик надежности элементов и систем.

Так при решении задачи анализа надежности реально функциониру­ющих объектов осуществляется сбор информации о поведении объек­тов в процессе их эксплуатации, в частности фиксируются отказы и соответственно наработки объектов до отказа. Однако в большинстве случаев доступной является лишь информация о том, что отказы про­изошли в некотором интервале времени. Это связано с тем, что отказы устройств фиксируются не мгновенно, а в некоторые, наперед сплани­рованные моменты контроля исправности функционирования оборудо­вания или даже в моменты проведения плановых профилактических работ. Практически мгновенно отказы выявляются у незначительной группы устройств, имеющих встроенный контроль. В остальных случа­ях у исследователя имеется информация о том, что отказ произошел в интервале времени между предыдущим и последующим контролем либо в интервале между очередными профилактиками.

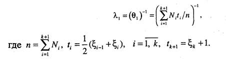
Итак, пусть в системе спланированы моменты контроля исправно­сти функ-ционирования оборудования ^, ^2,..., £, к, где 0 < ^< ^2<...< t, k< < оо. В моменты контроля выявляется количество отказавших в интер­вале времени [£,. ]; ^.] устройств, т.е. наблюдаемыми случайными ве­личинами являются целые неотрицательные числа, характеризующие количество отказавших объектов на рассматриваемом интервале Nv Nv..., TV^j где N. - число устройств, отказавших в интервале [£,.,, £.],

Данные, представленные таким образом, называются группирован­ными данными, которые являются частным случаем цензурированных данных, причем этот случай называется цензурированием интервалом.

Функция правдоподобия в данном случае имеет вид [39]

Следует обратить особое внимание на граничные точки области оп­ределения параметра £,.. В левой крайней точке ^0 = 0 функция распре­деления тождественно равна нулю: F(Q, bIQ), поэтому первый член сомно­жителя (7.9) имеет вид

В правой крайней точке £ ж = °о функция распределения тождественно равна единице F(Q, t)k+l) = 1, поэтому последний член произведения (7.9) равен

Интервал [£ t, <»] по своему смыслу представляет собой интервал цен­зурирования справа. В него попадают те элементы, которые не отказа-; ли до последнего момента контроля £ Предполагается, что далее на­блюдения не проводились, и элементы, которые не отказали до момен- < та 2;, образуют выборку цензурированных справа наработок. С учетом этого окончательно функцию правдоподобия можно записать следую­щим образом:

Прологарифмируем выражение (7.10):

Решение данного уравнения возможно, как правило, численными мето­дами: если допустить в последнем уравнении Р.(8) = F(9, 2;.) -F(9, %.,), то получим, что оценка максимального правдоподобия будет корнем уравнения правдоподобия

Покажем процедуру вычисления оценки параметра интенсивности отказа для экспоненциального закона распределения наработки. Функ­ция правдоподобия в этом случае будет выглядеть следующим обра­зом:

Подставляя в (7.11) Р£ к) - ехр(-^4.,) - ехр(А^.), получаем уравнение для определения параметра X экспоненциального закона распределения, Получить решение данного уравнения можно численными методами. Для приближенного решения может быть применен итеративный ме­тод Ньютона-Рафсона с начальным значением

Как видно из последнего выражения, даже в самом простом слу­чае экспоненциального распределения наработки до отказа параметры распределения приходится оценивать численными методами. Поэтому можно считать выражение (7.11) окончательным, дальнейшее преоб­разование которого нецелесообразно. Процедура оценивания парамет­ров закона распределения реализуется исключительно численными методами.

7.5. Примеры оценки показателей законов распределения

8 данном параграфе приведем результаты вычисления параметров законов распределения и определения точности в их оценке для ряда законов, имеющих наиболее широкое применение в системном анали­зе.

Вначале подведем некоторые итоги. Остановимся еще раз на обо­значениях, используемых при расчете показателей:

9 - параметр закона распределения; {Т.} - реализации наблюдае­мой случайной величины (наработки до отказов); F(Q, T) - функция рас­пределения случайной величины, Д6, Г.) - плотность распределения. Функция правдоподобия обозначается через L(Q, T), логарифмическая функция правдоподобия /(9, 7), причем /(9, 7) = 1пЦ9, 7); А: - объем вы­борки полных наработок, v - количество цензурированных данных, т.е. Тх, Ту..., Тк- реализации полных и 7j'..., rv' - цензурированных нарабо­ток.

Для группированных данных имеем следующую информацию: мо­менты контроля исправности функционирования оборудования t, v %2,..., 4t, где 0 < 4, < £, 2<...< %к < о°. В моменты контроля выявляется количе­ство отказавших в интервале времени (t,.v ^.] устройств, т.е. наблюда­емыми случайными величинами являются целые неотрицательные числа, характеризующие количество отказавших объектов на рассмат­риваемом интервале: Nr N2,..., Nk+l; N. - число устройств, отказавших в интервале (£ м, ^.]. Как и ранее функцию правдоподобия для полных наработок будем писать без индекса

для данных, имеющих наряду с полными цензурированные справа на­работки, будем использовать обозначение

аналогично, для имеющих цензурированные слева наработки будем писать

для цензурированных интервалом или группированных данных

После сделанных обозначений приведем результаты оценивания па­раметров законов распределения и оценок дисперсии данных показате­лей.


Поделиться с друзьями:

mylektsii.su - Мои Лекции - 2015-2026 год. (1.278 сек.)Все материалы представленные на сайте исключительно с целью ознакомления читателями и не преследуют коммерческих целей или нарушение авторских прав Пожаловаться на материал