Студопедия

Главная страница Случайная страница

КАТЕГОРИИ:

АвтомобилиАстрономияБиологияГеографияДом и садДругие языкиДругоеИнформатикаИсторияКультураЛитератураЛогикаМатематикаМедицинаМеталлургияМеханикаОбразованиеОхрана трудаПедагогикаПолитикаПравоПсихологияРелигияРиторикаСоциологияСпортСтроительствоТехнологияТуризмФизикаФилософияФинансыХимияЧерчениеЭкологияЭкономикаЭлектроника






Эластичность производственной функции и отдача от масштаба.






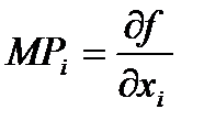
Предельный продукт некоторого ресурса характеризует абсолютное изменение выпуска продукта, приходящегося на единицу изменения расхода данного ресурса, причем изменения предполагаются малыми. Для производственной функции предельный продукт i- того ресурса равен частной производной: .

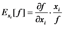
Влияние относительного изменения расхода i-того фактора на выпуск продукта, представленное также в относительной форме, характеризуется частной эластичностью выпуска по затратам этого продукта:

Для простоты будем обозначать . Частная эластичность производственной функции равна отношению предельного продукта данного ресурса к его среднему продукту.

Рассмотрим частный случай, когда эластичность производственной функции по некоторому аргументу – постоянная величина.

Если по отношению к исходным значениям аргументов x1, x2, …, xn один из аргументов (i- тый) изменится в один раз, а остальные станутся на прежних уровнях, то изменение выпуска продукта описывается степенной функцией: . Полагая I=1, найдем, что A=f(x1, …, xn), и поэтому .

В общем случае, когда эластичность – переменная величина, равенство (1) является приближенным при значениях I, близких к единице, т.е. при I=1+e, и тем более точным, чем ближе e/к нулю.

Пусть теперь затраты всех ресурсов изменились в I раз. Последовательно применяя только что описанный прием к x1, x2, …, xn, можно убедиться в том, что теперь

или

Сумма частных эластичностей некоторой функции по всем ее аргументам получила название полной эластичности функции. Вводя обозначение для полной эластичности производственной функции, мы можем представить полученный результат в виде

Равенство (2) показывает, что полная эластичность производственной функции позволяет дать отдаче от масштаба числовое выражение. Пусть расход всех ресурсов немного увеличился с сохранением всех пропорций (I> 1). Если E> 1, то выпуск продукции увеличился больше, чем в I раз (возрастающая отдача от масштаба), а если E< 1, то меньше, чем в I раз. При E=1 выпуск продукции изменится в той же самой пропорции, что и затраты всех ресурсов (постоянная отдача).

Выделение короткого и длительного периодов при описании характеристик производства – грубая схематизация. Изменение объемов потребления различных ресурсов – энергии, материалов, рабочей силы, станков, зданий и т. д. – требует различного времени. Допустим, что ресурсы перенумерованы в порядке убывания подвижности: быстрее всего можно изменить x1, а затем x2 и т. д., а изменение xn требует наибольшего времени. Можно выделить сверхкороткий, или нулевой период, когда не может измениться ни один фактор; 1-й период, когда изменяется только x1; 2-й период, допускающий изменение x1 и x2 и т.д.; наконец, длительный, или n-й период, в течении которого могут измениться объемы всех ресурсов. Различных периодов, таким образом, оказывается n+1.

Рассматривая некоторый промежуточный по величине, k-й период, мы можем говорить о соответствующей этому периоду отдачи от масштаба, имея в виду пропорциональное изменение объемов тех ресурсов, которые в этом периоде могут изменяться, т.е. x1, x2, …, xk. Объемы xk+1, xn, при этом сохраняют фиксированные значения. Соответствующий этому показатель отдачи от масштаба равен e1+e2+…+ek.

Удлиняя период, мы добавляем к этой сумме следующие слагаемые, пока не получится значение E для длительного периода.

Поскольку производственная функция возрастает по каждому аргументу, все частные эластичности e1 положительны. Отсюда следует, что чем продолжительнее период, тем больше отдача от масштаба.

 


Поделиться с друзьями:

mylektsii.su - Мои Лекции - 2015-2026 год. (1.239 сек.)Все материалы представленные на сайте исключительно с целью ознакомления читателями и не преследуют коммерческих целей или нарушение авторских прав Пожаловаться на материал