Студопедия

Главная страница Случайная страница

КАТЕГОРИИ:

АвтомобилиАстрономияБиологияГеографияДом и садДругие языкиДругоеИнформатикаИсторияКультураЛитератураЛогикаМатематикаМедицинаМеталлургияМеханикаОбразованиеОхрана трудаПедагогикаПолитикаПравоПсихологияРелигияРиторикаСоциологияСпортСтроительствоТехнологияТуризмФизикаФилософияФинансыХимияЧерчениеЭкологияЭкономикаЭлектроника






Тепловой баланс котла






Составление теплового баланса котла заключается в установлении равенства между поступившим в котел количеством тепла, называемым располагаемым теплом , и суммой полезно использованного тепла и тепловых потерь . На основании теплового баланса вычисляется КПД и необходимый расход топлива. Тепловой баланс составляется применительно к установившемуся тепловому состоянию котла на 1 м3 газообразного топлива при 0 ◦ С и 101, 3 кПа, [1, стр.28].

 

3.1 Общее уравнение теплового баланса имеет вид, [2, стр.26]:

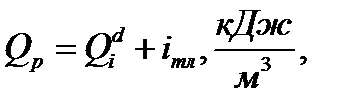
3.2 Располагаемое тепло газообразного топлива, [2, стр.27]:

где - величина физического тепла топлива и определяется по формуле:

,

где - теплоемкость рабочего топлива, кДж/(м3 ∙ К);

- температура рабочего состояния топлива, оС.

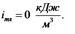
Физическое тепло топлива учитывается в тех случаях, когда топливо предварительно подогрето посторонним источником тепла (паровой подогрев мазута, паровые сушилки и т.п.), а также при сушке по разомкнутому циклу. В нашем случае

Тогда

3.3 Коэффициент полезного действия котла

При расчете котла коэффициента полезного действия определяется из обратного баланса по выражению, [1, стр.31]:

где - суммарные потери тепла в котле, %.

3.3.1 Потери тепла с уходящими газами

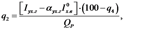
Потеря тепла с уходящими газами определяется, [1, стр.29]:

 

По нормам [1, стр.29]:

где - энтальпия уходящих газов при избытке воздуха и температуре ; - энтальпия теоретически необходимого количества воздуха на входе в воздушный тракт. Температура холодного воздуха принимается равной 30оС; - энтальпия воздуха, присасываемого в газоходы котла;

- потеря от механической неполноты сгорания.

Как правило, температура уходящих газов у энергетических котлов находится в диапазоне 120-140˚ С, при курсовом проектировании ее (в первом приближении) следует принять равной 120˚ С, [2, стр.35].

Энтальпия уходящих газов определяется из таблицы 4 при избытке воздуха в продуктах сгорания за воздухоподогревателем, [3, стр.26]:

Интерполируя:

Энтальпия холодного воздуха при t=30˚ С и берется из таблицы 4:

Так как разницы нет, то расчет потерь тепла с уходящими газами будем вести по старым нормам.

Потери тепла с уходящими газами:

, принимаем

 

3.3.2 Потери тепла от химической и механической неполноты сгорания топлива

Принимаются по табл.XX [1, стр.175] в зависимости от сжигаемого топлива, типа топочного устройства и способа сжигания.

Суммарный недожог: q3+q4 =0, 1 %.

3.3.3 Потеря тепла от наружного охлаждения котла

Потеря тепла от наружного охлаждения q 5 для стационарных котлов принимается по рисунку 1, [1, стр.30] и она будет равна

3.4 Суммарные потери в котле:

, %

.

 

 

3.5 КПД котла:

3.6 Коэффициент сохранения тепла

После определения коэффициента полезного действия котлоагрегата следует определить коэффициент сохранения тепла, который используется при тепловых расчетах топки и конвективных поверхностей [1, стр.30]:

3.7 Энтальпия перегретого пара

По таблице 3 [4, стр.53], при давлении и определяем энтальпию перегретого пара:

3.8 Давление питательной воды на входе в экономайзер

3.9 Энтальпия питательной воды

По таблице 3 [4, стр.53], при давлении и определяем энтальпию питательной воды:

3.10 Величина непрерывной продувки % (по заданию).

3.11 Расход воды на продувку

3.12 Полезно использованная теплота

3.13 Полный расход топлива

 

 

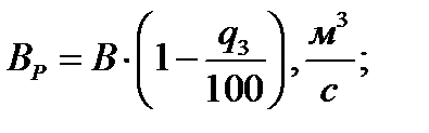
3.14 Расчетный расход топлива

Для определения тепла, отданного газами в поверхностях нагрева, вводится расчетный расход топлива, вычисляемый с учетом механической неполноты сгорания [1, стр.33]:

В дальнейшем во все формулы для определения объемов и количеств тепла подставляется величина


Поделиться с друзьями:

mylektsii.su - Мои Лекции - 2015-2026 год. (2.381 сек.)Все материалы представленные на сайте исключительно с целью ознакомления читателями и не преследуют коммерческих целей или нарушение авторских прав Пожаловаться на материал