Студопедия

Главная страница Случайная страница

КАТЕГОРИИ:

АвтомобилиАстрономияБиологияГеографияДом и садДругие языкиДругоеИнформатикаИсторияКультураЛитератураЛогикаМатематикаМедицинаМеталлургияМеханикаОбразованиеОхрана трудаПедагогикаПолитикаПравоПсихологияРелигияРиторикаСоциологияСпортСтроительствоТехнологияТуризмФизикаФилософияФинансыХимияЧерчениеЭкологияЭкономикаЭлектроника






Тепловой расчет топочной камеры






4.1 Эскиз топки представлен в приложении 1

4.2 Конструктивные характеристики топки

Все перечисленные величины берутся по чертежам заданного котла:

Ширина топки:

Глубина топки:

Высота топки: =9, 5

Высота задней стены топки: .

Высота фронтовой стены: .

Глубина потолка: .

Высота выходного газового окна: .

Высота выступа: .

Длина выступа: .

Высота первого яруса горелок: .

Высота второго яруса горелок: .

Высота “зажигательного” пояса: .

4.2.1 Площадь фронтовой стены

4.2.2 Площадь задней стены

4.2.3 Площадь потолка

4.2.4 Площадь выходного газового окна

4.2.5 Площадь боковой стены

Общая поверхность стен топочной камеры определяется по геометрическим размерам топки как сумма поверхностей фронтовой стены, задней стены, потолка, двух поверхностей боковых стен и площади выходного газового окна.

4.2.6 Общая поверхность стен топочной камеры

4.2.7 Площадь зажигательного пояса

4.2.8 Площадь экранов топки

4.2.9 Объем топочной камеры

4.2.10 Эффективная толщина излучающего слоя объема топки, [1, стр.36]:

4.3 Тепловые характеристики топки

К тепловым характеристикам топки относят: коэффициент тепловой эффективности экранов , среднюю суммарную теплоемкость продуктов сгорания ; параметр , учитывающий влияние на интенсивность теплообмена уровня расположения горелок, критерий поглощательной способности (критерий Бугера) .

 

4.3.1 Коэффициент тепловой эффективности экранов

Коэффициент тепловой эффективности экранов равен произведению углового коэффициента экрана на коэффициент , учитывающий тепловое сопротивление загрязнения или закрытие изоляцией, [3, стр.40]:

Если стены топки закрыты экранами с разными значениями коэффициента тепловой эффективности , или экраны покрывают часть поверхности стен, то среднее значение коэффициента тепловой эффективности равно, [3, стр.41]:

где – коэффициент тепловой эффективности i-го участка экрана; – поверхность стены i-го участка с отличающимися от других значениями или , м2.

В данном случае следует определить следующие коэффициенты тепловой эффективности: для экранных стен топочной камеры , потолка , выходного газового окна . При наличии «зажигательного» пояса для него также определяется коэффициент тепловой эффективности .

4.3.1.1 Угловой коэффициент гладкотрубных экранов

Угловой коэффициент гладкотрубных экранов определяется в зависимости от их конструкции по номограмме 1а, кривая 3 [1, стр.214]:

Для нашего случая: ; ; .

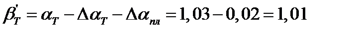
4.3.1.2 Коэффициент, учитывающий тепловое сопротивление загрязнения или закрытие изоляцией

Коэффициент , учитывающий снижение тепловосприятия экрана при его загрязнении или закрытии его поверхности изоляцией, принимается по табл. 6.3. [1, стр.42]:

Для газообразного топлива:

; ; ;

Для выходного окна топки, отделяющего топку от расположенной за ним поверхности нагрева, коэффициент определяется по формуле, [1, стр.42]:

,

где - коэффициент; принимается по табл. 6.3 [1, стр.42], таким же, как для настенных экранов; - коэффициент, учитывающий взаимный теплообмен между топкой и поверхностью нагрева. При размещении за окном фестона =0, 9.

.

Среднее значение коэффициента тепловой эффективности экранов:

 

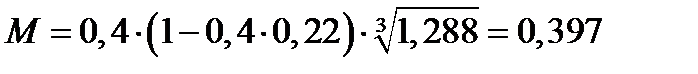
4.3.2 Параметр М

Для камерных топок параметр рассчитывается по формуле, [1, стр.40]:

где - принимается, [1, стр.40]:

Для газомазутных топок при настенном расположении горелок: ;

0 - величина, характеризующая относительный уровень расположения горелок в топке, [1, стр.37]

,

где - расчетная высота топки, определяется как расстояние от пода до середины выходного газового окна; - средний уровень расположения настенных и угловых горелок, м.

При двухъярусном расположении горелок производится усреднение высот по выражению:

,

 

.

- параметр забалластированности топочных газов.

Параметр М: .

4.3.3 Адиабатическая температура горения

Адиабатическая температура горения – это такая температура газов, которая была бы в топке, если бы в ней отсутствовал какой-либо теплообмен, и все выделяющееся тепло затрачивалось на нагрев дымовых газов, т.е. в адиабатных условиях горения.

Адиабатическая температура горения , °С определяется по полезному тепловыделению в топке при избытке воздуха по табл.4.

Полезное тепловыделение в топке по формуле, [1, стр.41]:

где – располагаемое тепло топлива, кДж/м3,

– потери тепла от химической и механической неполноты сгорания топлива, с теплом шлака и охлаждающей воды, %;

– тепло, вносимое в топку паровым дутьем, кДж/кг;

– тепло, вносимое в топку воздухом, кДж/м3.

 

Тепло, вносимое в топку воздухом по формуле, [29, стр.41]:

Величина - отношение количества воздуха, подаваемого в топку из воздухоподогревателя, к теоретически необходимому, по [2, стр.30]:

=0, 02 - присосы в газоплотных экранах топки, табл. XVII, [1, стр. 171].

Энтальпия теоретически необходимого количества воздуха определяется по табл.4 при температуре воздуха за воздухоподогревателем, которую необходимо принять по табл. II-2 [1, стр.116], принимаем ее равной 200˚ С:

Энтальпия теоретически необходимого воздуха (по интерполяции):

Энтальпия присасываемого воздуха определяется по температуре холодного воздуха, равной 30°С по табл.1.

– тепло рециркуляции газов кДж/кг; учитывается в случае возврата в топку части газов, отобранных из газоходов котла, за котлом или из верхней части топки [1, стр.25].

Так как нет возврата в топку части газов, то:

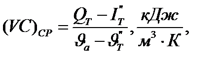
4.3.4 Средняя суммарная теплоемкость продуктов сгорания 1 м3 топлива,

[2, стр.57]:

где – полезное тепловыделение в топке, кДж/м3; – адиабатическая температура горения, °С, которая определяется по при избытке воздуха на выходе из топки (табл.4), – температура дымовых газов на выходе из топки, °С; – энтальпия продуктов сгорания топлива при температуре , которая определяется при избытке воздуха на выходе из топки (по табл.1), кДж/м3.

Величина температуры дымовых газов на выходе из топки неизвестна, и ее определение является одной из основных задач теплового расчета топки. В связи с этим, прежде чем определять величину , необходимо задаться температурой газов на выходе из топки.

Задаемся , тогда

4.3.5 Критерий Бугера

Основной радиационной характеристикой продуктов сгорания служит критерий поглощательной способности (критерий Бугера), [2, стр.52]:

,

где - коэффициент поглощения лучей топочной средой, 1/(м× МПа), рассчитывается по температуре и составу газов на выходе из топки. При его определении учитывается излучение трехатомных газов (RO2, H2O)

- давление в топочной камере (для котлов без наддува 0, 1 МПа), МПа,

- эффективная толщина излучающего слоя, м.

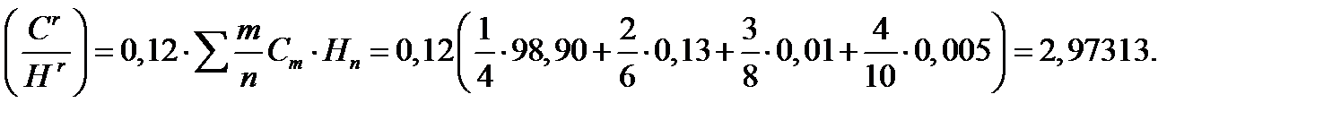
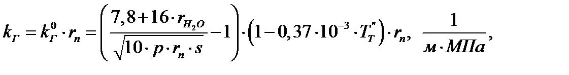
4.3.5.1 Коэффициент поглощения лучей газовой фазой продуктов сгорания (RO2, H2O), [2, стр.52]:

где - объемная суммарная доля трехатомных газов в продуктах сгорания при коэффициенте избытка воздуха на выходе из топки; - температура газов на выходе из топки, К.

Объемная суммарная доля трехатомных газов в продуктах сгорания и водяных паров берется из таблицы 3: , .

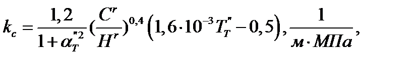
4.3.5.2 Коэффициент поглощения лучей частицами сажи, [2, стр.53]:

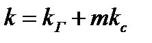
где -коэффициент избытка воздуха на выходе из топки; - соотношение углерода и водорода в рабочей массе топлива.

При сжигании газа, [2, стр.53]:

Коэффициент поглощения топочной среды:

здесь коэффициент m=0, 1 согласно [1, стр.38]

 

Критерий Бугера:

 

4.4 Эффективное значение критерия Бугера

Оно учитывает влияние на теплообмен неизотермичности температурного поля топки и эффекта рассеяния излучения.

Эффективное значение критерия Бугера () определяется по формуле,

[2, стр. 55]:

,

4.5 Количество тепла, воспринятое в топке на 1 м3 топлива, [1, стр.41]:

4.6 Тепловое напряжение топочного объема, [3, стр.46]:

 

Допустимое для заданного топлива напряжение из табл.XX [1, стр.175]: , так как рассчитанное меньше допустимого, можно сделать вывод, что работа топки на заданном топливе будет удовлетворительной.

 

4.7 Температура газов на выходе из топки

В размерном виде температура газов на выходе из топки, [2, стр.55]:

Погрешность: .

Расчет на этом заканчивается, принятое значение температуры и рассчитанное отличаются менее, чем на 100 градусов и для последующих расчетов принимается значение температуры газов на выходе из топки, определенное расчетом.


 


Поделиться с друзьями:

mylektsii.su - Мои Лекции - 2015-2026 год. (1.905 сек.)Все материалы представленные на сайте исключительно с целью ознакомления читателями и не преследуют коммерческих целей или нарушение авторских прав Пожаловаться на материал