Студопедия

Главная страница Случайная страница

КАТЕГОРИИ:

АвтомобилиАстрономияБиологияГеографияДом и садДругие языкиДругоеИнформатикаИсторияКультураЛитератураЛогикаМатематикаМедицинаМеталлургияМеханикаОбразованиеОхрана трудаПедагогикаПолитикаПравоПсихологияРелигияРиторикаСоциологияСпортСтроительствоТехнологияТуризмФизикаФилософияФинансыХимияЧерчениеЭкологияЭкономикаЭлектроника






Расчет первой ступени пароперегревателя






7.1 Эскиз пароперегревателя первой ступени представлен в приложении 4

7.2 Диаметр и толщина стенки труб (по эскизу):

7.3 Количество труб в одном ряду (по поперечному разрезу котла):

7.4 Ширина газохода (по поперечному разрезу котла):

7.5 Поперечный шаг труб (по чертежу):

7.6 Продольный шаг труб (по чертежу):

7.7 Высота газохода на входе дымовых газов в ступень (по чертежу):

7.8 Высота газохода на выходе дымовых газов из ступени (по чертежу):

7.9 Высота трубы на входе дымовых газов в ступень и на выходе из ступени (по чертежу):

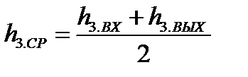
7.10 Средняя по сечению газохода высота трубы (змеевика):

7.11 Относительные поперечные и продольные шаги первой ступени пароперегревателя [1, стр.55]:

поперечный шаг:

продольный шаг:

 

7.12 Температура и энтальпия пара на входе в ступень, определяется при :

7.13 Энтальпия пара на выходе из ступени (на входе в пароохладитель):

где – энтальпия пара на выходе из пароохладителя, т.е. на входе в I-ую ступень пароперегревателя (определена ранее в п. 7.33);

– тепловосприятие пароохладителя, принимаем в соответствии с указаниями, [1].

7.14 Температура перегретого пара на выходе из II ступени пароперегревателя:

определяется при и [4].

7.15 Тепловосприятие ступени за счет конвекции [1, стр.107]:

7.16 Температура и энтальпия дымовых газов на входе в ступень, из пункта 7.10: ,

7.17 Температура и энтальпия дымовых газов на выходе ступени (принимается): ,

7.18 Средняя температура дымовых газов в ступени [1, стр.57]:

7.19 Количество тепла, переданного газами ступени (тепловосприятие по балансу) [1, стр.44]:

где , пункт 1.7; – энтальпия присасываемого воздуха, определяется по температуре холодного воздуха (табл.4, столбец 2).

7.20 Живое сечение для прохода дымовых газов [1, стр.55]

· На входе в ступень

· На выходе из ступени

Среднее значение:

7.21 Объём дымовых газов, проходящих через I ступень пароперегревателя (табл.3):

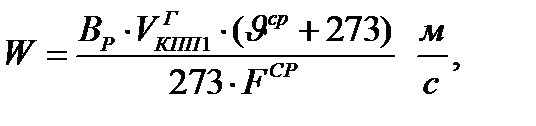
7.22 Средняя скорость газов при средней температуре [1, стр.54]:

7.23 Коэффициент теплоотдачи конвекцией при поперечном омывании коридорных гладкотрубных пучков, номограмма 7 [1, стр.221]:

7.24 Поправка на геометрическую компоновку пучка:

7.25 Поправка на число рядов труб ():

7.26 Поправка на влияние изменения физических характеристик дымовых газов от температуры и состава газов:

7.27 Расчётное значение коэффициента теплоотдачи:

7.28 Эффективная толщина излучающего слоя [1, стр.66]:

7.29 Суммарная объёмная доля трёхатомных газов (табл.3):

7.30 Суммарное парциальное давление трёхатомных газов (для котлоагрегатов, работающих без надува используют ) [1, стр.66]:

7.31 Произведение:

7.32 Коэффициент ослабления лучей трёхатомными газами, номограмма 2 [1, стр.215]:

.

7.33 Суммарная оптическая толщина газового потока [1, стр.66]:

7.34 Степень черноты продуктов сгорания в КПП1 [1, стр.66]:

7.35 Средняя температура пара в ступени:

7.36 Температура загрязнённой стенки [1, стр.67]:

где – для котлов малой мощности при сжигании газа.

7.37 Коэффициент теплоотдачи излучением продуктов сгорания, номограмма 18 [1, стр.238]:

где

7.38 Коэффициент использования поверхности нагрева, [1, стр.69]:

Принимаем , так как обеспечивается прохождение газового потока через всю поверхность.

7.39 Коэффициент теплоотдачи от газов к стенке [1, стр.50]:

7.40 Внутренний диаметр трубы:

7.41 Площадь живого сечения для прохода пара [1, стр.55]:

7.42 Удельный объём пара [4]:

примечание: определяется при и

7.43 Скорость пара [1, стр.54]:

7.44 Теплоотдача от стенок труб к пару, номограмма 12 [1, стр.230]:

где

7.45 Коэффициент тепловой эффективности [1, таблица 7-5]:

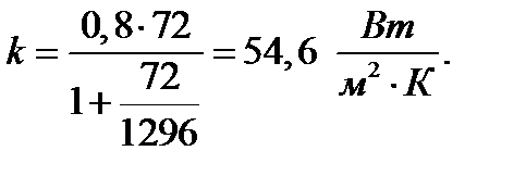
7.46 Коэффициент теплопередачи в конвективных гладкотрубных пучках, [1, стр.50]:

7.47 Поверхность нагрева I-ой ступени пароперегревателя:

7.48 Полная теплообменная поверхность [3, стр. 97]:

7.49 Температурный напор в ступени [1, стр. 72]:

7.49.1 На входе дымовых газов в ступень (на большем конце):

7.49.2 На выходе дымовых газов из ступени (на меньшем конце):

7.49.3 Средний температурный напор для противотока при рассчитывается по формуле:

7.49.4 Безразмерные определяющие параметры [1, стр.73]:

7.49.5 Коэффициент пересчёта от противоточной схемы к схеме с последовательно - смешанным током, номограмма 19 [1, стр.239]:

7.49.6 Температурный напор в ступени для последовательного тока, [1, стр.72]:

7.50 Количество конвективного и лучистого тепла, воспринятого II ступенью КПП:

7.51 Относительная невязка баланса:

Так как невязка баланса не превышает допустимого значения 2 %, то расчет пароперегревателя I ступени считаем законченным.



Поделиться с друзьями:

mylektsii.su - Мои Лекции - 2015-2026 год. (2.259 сек.)Все материалы представленные на сайте исключительно с целью ознакомления читателями и не преследуют коммерческих целей или нарушение авторских прав Пожаловаться на материал