Студопедия

Главная страница Случайная страница

КАТЕГОРИИ:

АвтомобилиАстрономияБиологияГеографияДом и садДругие языкиДругоеИнформатикаИсторияКультураЛитератураЛогикаМатематикаМедицинаМеталлургияМеханикаОбразованиеОхрана трудаПедагогикаПолитикаПравоПсихологияРелигияРиторикаСоциологияСпортСтроительствоТехнологияТуризмФизикаФилософияФинансыХимияЧерчениеЭкологияЭкономикаЭлектроника






Расчетная невязка теплового баланса котельного агрегата






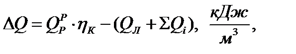
Завершающим этапом распределения тепловосприятий является проверка правильности распределения с помощью определения невязки теплового баланса котла [2, п.5.1.3]:

где Q - расчетная располагаемая теплота, кДж/м3;

- коэффициент полезного действия котла, %;

q4 – потери теплоты с механической неполнотой сгорания, %;

Qл – количество теплоты, излучаемой объемом газов топки и воспринятой радиационными поверхностями, кДж/м3;

Qi – количество теплоты, воспринятой теплообменными поверхностями при охлаждении омывающих эти поверхности газов, кДж/м3.

Невязка:

Расчет котла считаем законченным.


 

Заключение

Проведя поверочный расчет котельного агрегата типа БГМ – 35 по заданной паропроизводительности, параметрам пара и питательной воды были определены температуры и тепловосприятия рабочего тела и газовой среды в поверхностях нагрева котла, найдена температура на выходе из котла.

Результаты расчета:

· температура горячего воздуха t''гв=120 °C;

· температура на выходе из топки = =982 °С;

· температура на выходе из фестона = =860 °С;

· температура на выходе из пароперегревателя II ступени = =720 °С;

· температура на выходе из пароперегревателя I ступени = =590°С;

· температура на выходе из экономайзера = =220 °С;

· температура на выходе из воздухоподогревателя (температура уходящих газов) = =120 °С.

Для нахождения выше перечисленных значений в соответствии с рекомендациями были выбраны коэффициенты избытка возду­ха в топке и присосы воздуха по газоходам, рассчитали объемы и энтальпии воздуха и продуктов сгорания, определили КПД котла, а с использовани­ем его значения — расход топлива В. При этом для расчета потерь теплоты с уходящими газамипредварительно задались температурой уходящих га­зов.

На основании данного расчета можно сделать вывод, что чем точнее и полнее учитываются факторы, влияющие на размеры и прочность конструкции, тем меньшими могут приниматься различные поправочные коэффициенты.

Каждая конструкция котла должна быть оценена с точки зрения удобства и экономичности эксплуатации. Эти качества аппарата определяются его надежностью и долговечностью, простотой и доступностью управления, а также высокими КПД и тепловыми показателями в эксплуатации.

Полученное расхождение теплового баланса можно объяснить 2-я факторами:

1. Заданные начальные параметры для поверочного расчета котла значительно отличаются от параметров принятых при конструктивном расчете котла типа БГМ – 35.

2. Неточность расчета может быть связана с погрешностью измерения поверхностей нагрева и площадей зеркала горения.

На основании данного расчета можно сделать вывод, что котел работать не будет, так как при заданном топливе и параметрах котла тепловой баланс не сходится.

 

 


Поделиться с друзьями:

mylektsii.su - Мои Лекции - 2015-2026 год. (1.615 сек.)Все материалы представленные на сайте исключительно с целью ознакомления читателями и не преследуют коммерческих целей или нарушение авторских прав Пожаловаться на материал