Студопедия

Главная страница Случайная страница

КАТЕГОРИИ:

АвтомобилиАстрономияБиологияГеографияДом и садДругие языкиДругоеИнформатикаИсторияКультураЛитератураЛогикаМатематикаМедицинаМеталлургияМеханикаОбразованиеОхрана трудаПедагогикаПолитикаПравоПсихологияРелигияРиторикаСоциологияСпортСтроительствоТехнологияТуризмФизикаФилософияФинансыХимияЧерчениеЭкологияЭкономикаЭлектроника






Тема 7. Первое начало термодинамики. Внутренняя энергия. Работа. Применение первого начала термодинамики к изопроцессам.






Внутренней энергией газа U называется сумма кинетической энергии хаотического (теплового) движения всех молекул газа и энергии взаимодействия молекул газа между собой. Для идеального газа внутренняя энергия – это только кинетическая энергия всех молекул газа.

Внутренняя энергия идеального газа определяется числом степеней свободы его молекул и температурой газа.

Числом степеней свободы i механической системы называется количество независимых величин, с помощью которых может быть однозначно задано положение системы в пространстве.

Согласно закону о равнораспределении энергии по степеням свободы молекул для термодинамической системы, находящейся в равновесии, на каждую поступательную и вращательную степени свободы приходится в среднем кинетическая энергия, равная , а на каждую колебательную степень свободы – в среднем энергия, равная kT. Колебательная степень «обладает» вдвое большей энергией потому, что на нее приходится не только кинетическая энергия (как в случае поступательного и вращательного движений), но и потенциальная, причем средние значения кинетической и потенциальной энергий одинаковы.

Таким образом, средняя кинетическая энергия молекулы:

,

где i – сумма числа поступательных, числа вращательных и удвоенного числа колебательных степеней свободы молекулы:

.

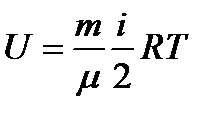
Внутренняя энергия N молекул идеального газа:

Так как число молекул газа (NА – число Авогадро), где ,

то, с учетом соотношения , получим:

.

Изменение внутренней энергии ∆ U при изменении температуры от Т 1до Т 2:

, где = Т 2 – Т 1 .

Внутреннюю энергию газа можно увеличить за счет сообщения ему некоторого количества теплоты , которое может быть израсходовано также и на совершение механической работы А по расширению газа. При этом соблюдается закон сохранения и превращения энергии. Применительно к термодинамическим процессам это и есть первое начало термодинамики: количество теплоты , сообщаемое термодинамической системе, расходуется на изменение ее внутренней энергии ∆ U и на совершение механической работы А против внешних сил:

.

 

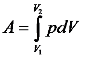
Работа А, совершаемая газом при изменении его объема от V 1 до V 2:

,

где – элементарная работа при изменении объема газа на .


Поделиться с друзьями:

mylektsii.su - Мои Лекции - 2015-2026 год. (1.981 сек.)Все материалы представленные на сайте исключительно с целью ознакомления читателями и не преследуют коммерческих целей или нарушение авторских прав Пожаловаться на материал