Студопедия

Главная страница Случайная страница

КАТЕГОРИИ:

АвтомобилиАстрономияБиологияГеографияДом и садДругие языкиДругоеИнформатикаИсторияКультураЛитератураЛогикаМатематикаМедицинаМеталлургияМеханикаОбразованиеОхрана трудаПедагогикаПолитикаПравоПсихологияРелигияРиторикаСоциологияСпортСтроительствоТехнологияТуризмФизикаФилософияФинансыХимияЧерчениеЭкологияЭкономикаЭлектроника






Работа газа при изопроцессах.






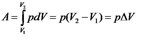
1. Изобарный процесс (p = const). При изобарном процессе работа газа при увеличении объема от V 1 до V 2 равна:

,

а первое начало термодинамики для изобарного процесса примет вид:

.

2. Изохорный процесс (V = const). При изохорном процессе газ не совершает работы против внешних сил, то есть А= 0, а первое начало термодинамики для изохорного процесса примет вид:

.

т. е. все количество теплоты, сообщаемое газу, расходуется на увеличение его внутренней энергии.

3. Изотермический процесс (T=const). Работа при изотермическом расширении газа:

.

Так как при постоянной температуре внутренняя энергия идеального газа не изменяется, то первое начало термодинамики для изотермического процесса:

,

то есть все количество теплоты Q, сообщаемое газу, расходуется на совершение им работы A против внешних сил.


Поделиться с друзьями:

mylektsii.su - Мои Лекции - 2015-2026 год. (2.699 сек.)Все материалы представленные на сайте исключительно с целью ознакомления читателями и не преследуют коммерческих целей или нарушение авторских прав Пожаловаться на материал