Студопедия

Главная страница Случайная страница

КАТЕГОРИИ:

АвтомобилиАстрономияБиологияГеографияДом и садДругие языкиДругоеИнформатикаИсторияКультураЛитератураЛогикаМатематикаМедицинаМеталлургияМеханикаОбразованиеОхрана трудаПедагогикаПолитикаПравоПсихологияРелигияРиторикаСоциологияСпортСтроительствоТехнологияТуризмФизикаФилософияФинансыХимияЧерчениеЭкологияЭкономикаЭлектроника






Для стационарных электрического и магнитного полей






В случае стационарных (то есть неменяющихся во времени) электрического и магнитного полей, происхождение которых связано с покоящимися зарядами для электрического поля и со стационарными токами для магнитного поля, эти поля являются независимыми друг от друга, что позволяет рассматривать их отдельно друг от друга.

Уравнения Максвелла – это система уравнений, описывающих природу происхождения и свойства электрического и магнитного полей.

Уравнения Максвелла для стационарных полей:

I. , то есть циркуляция вектора напряженности электростатического поля по произвольному замкнутому контуру L равна нулю, что является признаком потенциального силового поля и означает, что силовые линии электростатического поля не являются замкнутыми, они начинаются и заканчиваются на зарядах или же уходят в бесконечность.

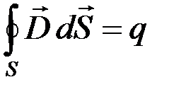
II. , то есть поток вектора смещения электростатического поля через произ­вольную замкнутую поверхность S равен алгебраической сумме заключенных внутри этой поверхности зарядов q (q – заряд, являющийся источником электростатического поля).

III. , то есть циркуляция вектора по произвольному замкнутому контуру L равна алгебраической сумме токов I, охватываемых этим контуром L (I – стационарный ток, являющийся источником постоянного магнитногополя).

IV. , то есть поток вектора индукции магнитного поля через произвольную замкнутую поверхность S равен нулю.

 

Таким образом, уравнения Максвелла для стационарных полей:

 

I. ; II. ;

III. ; IV. .

Векторные характеристики электростатического поля и связаны между собой следующим соотношением:

,

где – электрическая постоянная, e – диэлектрическая проницаемость среды.

Векторные характеристики магнитного поля и связаны между собой следующим соотношением:

,

где – магнитная постоянная, магнитная проницаемость среды.

 


Поделиться с друзьями:

mylektsii.su - Мои Лекции - 2015-2026 год. (2.866 сек.)Все материалы представленные на сайте исключительно с целью ознакомления читателями и не преследуют коммерческих целей или нарушение авторских прав Пожаловаться на материал