Студопедия

Главная страница Случайная страница

КАТЕГОРИИ:

АвтомобилиАстрономияБиологияГеографияДом и садДругие языкиДругоеИнформатикаИсторияКультураЛитератураЛогикаМатематикаМедицинаМеталлургияМеханикаОбразованиеОхрана трудаПедагогикаПолитикаПравоПсихологияРелигияРиторикаСоциологияСпортСтроительствоТехнологияТуризмФизикаФилософияФинансыХимияЧерчениеЭкологияЭкономикаЭлектроника






Расчет токов короткого замыкания






 

 

В электрических установках могут возникать различные виды коротких замыканий, сопровождающихся резким увеличением тока. Поэтому электрооборудование, устанавливаемое в системах электро­снабжения, должно быть устойчивым к токам короткого замыкания и выбираться с учетом величин этих токов.

Различают следующие виды коротких замыканий:

- трехфазное, или симметричное, — три фазы соединяются между собой;

- двухфазное — две фазы соединяются между собой без соединения с землей;

- однофаз­ное — одна фаза соединяется с нейтралью источника через землю;

- двойное замыкание на землю — две фазы соединяются между собой и с землей.

Основными причинами возникновения таких коротких замыканий в сети могут быть: повреждение изоляции отдельных частей электро­установки; неправильные действия обслуживающего персонала; пере­крытия токоведущих частей установки.

Короткое замыкание в сети может сопровождаться: прекращением питания потребителей, присоединенных к точкам, в которых про­изошло короткое замыкание; нарушением нормальной работы других потребителей, подключенных к неповрежденным участкам сети, вслед­ствие понижения напряжения на этих участках; нарушением нормаль­ного режима работы энергетической системы.

Для предотвращения коротких замыканий и уменьшения их по­следствий необходимо: устранить причины, вызывающие короткие замыкания;

- уменьшить время действия защиты, действующей при коротких замыканиях;

 

- применить быстродействующие выключатели;

- применить АРВ для быстрого восстановления напряжения генерато­ров;

- правильно вычислить величины токов короткого замыкания и по ним выбрать необходимую аппаратуру, защиту и средства для огра­ничения токов короткого замыкания.

 

7.1. Выбираем базисные единицы. За базисное напряжение выбираем то, на котором произошло короткое замыкание (напряжение трансформатора) U б=0.4кВ. За базисную мощность можно принять полную мощность трансформатора, находящегося перед точкой короткого замыкания.

Определяем базисный ток по формуле:

 

 

;

 

 

7.2. Составляем расчетную схему, на которой указываем все элементы, участвующие в формировании тока короткого замыкания. Напротив каждого элемента записываются паспортные и технические характеристики.

 

 

 


Расчетная схема

 

 

7.3. Составляем схему замещения, в которой вместо элементов системы электроснабжения указываются активные и реактивные сопротивления в относительных единицах.

 

 

 

Схема замещения

 

7.4. Определим сопротивление элементов в базисных единицах.

Трансформатор Т:

 

 

 

Кабельная линия до РП1:

 

;

 

;

 

Кабельная линия до РП4:

 

;

 

;

 

Кабельная линия от РП1 до вертикально-фрезерного станка:

 

;

 

;

 

Кабельная линия от РП4 до токарного специального станка:

 

 

;

 

;

 

 

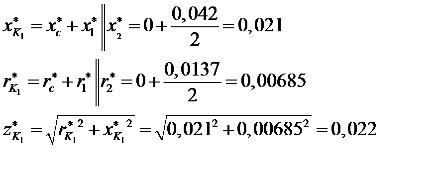
Определим суммарное сопротивление до точки К1:

 

 

 

 

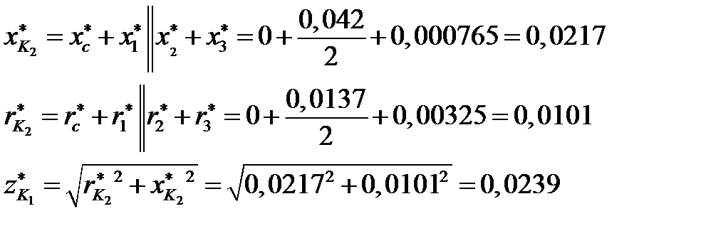
до точки К2

 

 

 

до точки К3

 

 

до точки К4

 

 

 

Определяем установившиеся значения короткого замыкания

 

Определяем ударный ток короткого замыкания

 

Составляем сводную таблицу по расчёту токов короткого замыкания

 

        Таблица 6
К X/R Kуд Iкз, кА
  0, 021 0, 0069 0, 022 3, 066 1, 35 26, 22
  0, 0217 0, 0101 0, 0239 2, 149 1, 22 24, 14
  0, 0241 0, 0331 0, 0409 0, 727 1, 07 14, 107
  0, 0234 0, 0966 0, 0994 0, 243   5, 804

 

 


Поделиться с друзьями:

mylektsii.su - Мои Лекции - 2015-2026 год. (2.055 сек.)Все материалы представленные на сайте исключительно с целью ознакомления читателями и не преследуют коммерческих целей или нарушение авторских прав Пожаловаться на материал