Студопедия

Главная страница Случайная страница

КАТЕГОРИИ:

АвтомобилиАстрономияБиологияГеографияДом и садДругие языкиДругоеИнформатикаИсторияКультураЛитератураЛогикаМатематикаМедицинаМеталлургияМеханикаОбразованиеОхрана трудаПедагогикаПолитикаПравоПсихологияРелигияРиторикаСоциологияСпортСтроительствоТехнологияТуризмФизикаФилософияФинансыХимияЧерчениеЭкологияЭкономикаЭлектроника






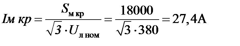
Распределительный кабель от ТП до мостового крана выбирается по допустимой плотности тока.






Расчетный ток распределительного кабеля

 

 

;

 

До щита освещения, находящегося в щитовой прокладываем медный силовой кабель в траншее.

Сечение определяем по ПУЭ, табл. 1.3.6: один трехжильный кабель с сечением токопроводящей жилы q = 4 мм2 .

По сечению и номинальному напряжению U ном = 0.4 кВ производим выбор марки кабеля: силовой кабель с пластмассовой изоляцией ВБбШв 3х4 (число жил: 3, напряжение = 0.66 кВ, сечение основных жил = 4 мм2).

Длина кабеля от трансформатора до щитовой l = 7 м.

 

Проверяем кабель по экономической плотности тока

;

Экономическая плотность тока – нормированное значение для заданных условий работы, определяем по ПУЭ, табл. 1.3.36.

Время использования максимума нагрузки: число смен – 3,

Тм = 4500…6000 ч/год.

Принимаем, кабель с резиновой и пластмассовой изоляцией с медными жилами:

J эк = 2, 7 А/мм2;

Экономически целесообразное сечение

мм2;

так как q < qэк согласно ПУЭ пункта 1.3.25 округляем qэк до ближайшего стандартного сечения из табл. 1.3.6 ПУЭ q=16мм²

Проверяем выбранный кабель на допустимую просадку напряжения, по справочным данным находим удельные активные и индуктивные сопротивления 3-х жильного кабеля. [7] стр.54 табл.3, 5

Ом/км

 

Ом/км

 

Ом

 

Ом

 

Определяем полное сопротивление:

 

Ом

 

Определим падение напряжения в кабеле:

 

В

 

 

Следовательно, кабель выбран правильно и проверку на допустимую просадку напряжения прошел.

Максимальный ток, который может протекать по кабелю, определяем по ПУЭ, таб. 1.3.6: I каб = 75А.

 

Следовательно, кабель выбран правильно и проверку на допустимую просадку напряжения прошел.

 


Поделиться с друзьями:

mylektsii.su - Мои Лекции - 2015-2026 год. (1.402 сек.)Все материалы представленные на сайте исключительно с целью ознакомления читателями и не преследуют коммерческих целей или нарушение авторских прав Пожаловаться на материал