Студопедия

Главная страница Случайная страница

КАТЕГОРИИ:

АвтомобилиАстрономияБиологияГеографияДом и садДругие языкиДругоеИнформатикаИсторияКультураЛитератураЛогикаМатематикаМедицинаМеталлургияМеханикаОбразованиеОхрана трудаПедагогикаПолитикаПравоПсихологияРелигияРиторикаСоциологияСпортСтроительствоТехнологияТуризмФизикаФилософияФинансыХимияЧерчениеЭкологияЭкономикаЭлектроника






РЕШЕНИЯ 4 страница






 

105. Вопрос: «Соответствует ли ваша правдивость честности компании?» Правдивый представитель при честной сделке на этот вопрос ответит «да», а при нечестной – «нет»; лживый же будет отвечать противоположно истине: если честность сделки и правдивость представителя не совпадают, он вместо «нет» ответит «да», и наоборот.

Возможные ситуации и соответствующие ответы сведены в следующую таблицу:

 

Возможные ситуации Ответы    
Сделка Представитель
Честная Нечестная Правдивый Правдивый Да Нет
Честная Нечестная Лживый Лживый Да Нет

 

Из таблицы видно, что каким бы ни был представитель компании, положительный ответ всегда говорит о честности сделки, а отрицательный – о ее нечестности.

106. Обозначим через х уменьшение годового дохода предприятия в результате повышения цены на товар с у на z у. д. ед. и соответствующего падения объема продаж. Тогда условие задачи будет математически выглядеть так:

 

 

 

Учитывая, что до повышения цены имело место равенство

 

 

найдем у = 8 у. д. ед.

Тогда из (2) следует, что

 

 

откуда

 

 

Из (1) следует, что

 

Следовательно, увеличение цены на товар и соответствующее уменьшение объема продаж (спроса) не привело к изменению годового дохода предприятия.

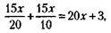
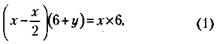
107. Обозначая через х объем продаж до его падения, а через у – соответствующую цену товара, запишем условие задачи следующим образом:

 

 

или, что то же самое,

 

 

1) Из (2) следует 6 х 2 = (6 + у) 2, откуда у = 6.

2) Из (1) следует, что х может быть любым, так как на него можно сократить обе части уравнения:

 

108. Обозначим величину уценки через х раз, тогда условие задачи будет выглядеть так:

 

 

Откуда

 

 

 

Следовательно, в результате первой уценки цена домика будет установлена:

 

 

а в результате второй:

 

109. Обозначая через х стоимость грузовой автомашины, а через у стоимость станка, купленного компаньоном А, нетрудно установить, что стоимость легковой автомашины равна у, а стоимость станка, приобретенного компаньоном Б, составляет х – 2.

Из условия задачи также следует, что х + у = 24 и суммарная стоимость автомашины тоже равна 24 тыс. у. д. ед.

Следовательно, если бы легковая автомашина была в три раза дороже грузовой, то они должны были бы стоить соответственно 18 и 6 тыс. у. д. ед. и равенство затрат компаньонов можно было бы записать так:

 

 

Откуда

 

 

Итак:

1) Стоимость покупок: станок, купленный компаньоном А, – 17 тыс. у. д. ед., купленный компаньоном Б, – 5 тыс. у. д. ед.; стоимость грузовой автомашины – 7 тыс. у. д. ед., легковой – 17 тыс. у. д. ед.

2) Всего было потрачено: компаньоном А 17 + 7 = 24 тыс. у. д. ед., компаньоном Б 5 + 17 = 22 тыс. у. д. ед.

110. Обозначим через х торговую наценку (в долях от 1), через у – стоимость товара без наценки и через z – сумму комиссионных агенту по продаже. Тогда условие задачи можно записать так:

 

 

1) Величину торговой наценки найдем из (1):

 

 

2) Из (2) следует, что стоимость оставшегося товара без торговой наценки (товар не продан) равна:

 

 

а стоимость проданного товара без учета торговой наценки –

 

 

 

Отсюда прибыль равна:

 

 

3) Из условий задачи:

 

 

Откуда z = 18 тыс. у. д. ед., а в процентах

 

111. Обозначим через х стоимость всех кроватей, через у – всех туалетных столиков, а через z – стоимость одной кровати. Тогда условия покупки первой партии товара можно записать так:

 

 

Если бы в первой партии было решено приобрести только туалетные столики, то выражение (*) приобрело бы следующий вид:

 

 

Умножение левой части равенства на учитывает долю столиков, дополняющую покупаемое в первой партии количество до общего , а умножение на – увеличение количества столиков, пропорциональное уменьшению цены каждого.

 

Следовательно,

 

 

откуда у = 30.

Подставляя это значение в (*), получим х = 30.

Обозначим через т стоимость одной кровати. Тогда один столик будет стоить z.

При этом исходя из условия задачи будет иметь место соотношение

 

 

Подставляя значения х и у и решая относительно z, получим:

 

 

Следовательно:

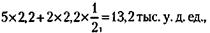
1) Общая стоимость закупленных кроватей и столиков в первой партии равна соответственно – из (*):

 

 

а во второй партии:

 

 

2) Стоимость кровати равна 3 тыс. у. д. ед., а стоимость туалетного столика

 

 

3) Количество кроватей и столиков, закупленных в первой и второй партиях, соответственно равно:

в первой партии – кроватей = 2 единицы, столиков = 5 единиц; во второй партии – кроватей = 8 единиц, столиков =10 единиц.

Всего 10 кроватей и 15 столиков.

 

112. Обозначим через х общий объем выпивки в литрах или равный ему вес закуски в килограммах. Тогда суммарная стоимость выпивки будет 20х у. д. ед., а закуски – 10х у. д. ед. и общие затраты составят:

 

 

Если бы эти затраты были равными для выпивки и закуски, то и на одно, и на другое пришлось бы по у. д. ед. Исходя из этого, условие задачи можно записать так:

 

 

откуда

 

х= 12 л выпивки или 12 кг закуски.

Следовательно:

1) Было закуплено 12 л выпивки и 12 кг закуски.

2) Стоимость выпивки равна 12 х 20 = 240 у. д. ед., стоимость закуски – 12 х 10 = 120 у.д.ед.

3) Всего потрачено 240 + 120 = 360 у. д. ед.

 

113. Обозначим через х фактическую цену продажи партии товара. При этом цена его покупки будет . Если бы товар был куплен на 30 % дешевле, цена покупки составила . Продажа этого товара по цене на 60 % дороже цены покупки была бы равна в этом случае

 

Итак, условие задачи можно записать следующим образом:

 

 

откуда

 

 

Следовательно:

1) Партия товара была продана за 200 тыс. у. д. ед., а единица товара стоила

 

 

2) Цена покупки партии товара равна

 

 

114. Обозначим через х сумму, выделенную фирмой для закупки компьютеров, через у – равные количества компьютеров обоих видов (при первом варианте закупки); через z – количество компьютеров вида «МА» и w – вида «МБ» (при втором варианте закупки).

При этом условие задачи можно записать так: первый вариант закупки:

 

 

второй вариант закупки:

 

 

Из уравнения (1) следует, что общее количество закупленных компьютеров по первому варианту равно:

 

 

Из уравнения (2) следует, что общее количество закупленных компьютеров по второму варианту равно:

 

 

По второму, более выгодному, варианту может быть закуплено компьютеров больше, чем по первому, на

 

 

Иными словами, при закупке по второму варианту фирма дополнительно (по сравнению с первым вариантом) бесплатно получает на каждые 120 компьютеров еще один.

115. Обозначим через х, у, z количество купленных компьютеров, телефонов и столов соответственно.

Тогда условие задачи можно записать так:

 

 

или после умножения левой и правой частей на 4:

 

 

Вычитая (2) из (1), получим:

 

откуда

 

 

Из (3) следует, что, во-первых, х может быть равен только 2, так как z и x должны быть целыми положительными числами, во-вторых, х не может быть равен 1, так как при этом z становится равным 53, что противоречит условию (всего куплено 30 предметов), и, в-третьих, х не может быть больше 2, так как при этом z становится отрицательным.

Итак, х = 2 единицам.

Из (3) следует, что z = 90 – 37 x 2=16 единиц, из (2) следует, что у = 30 – 2 – 16 =12 единиц.

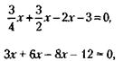
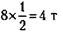
116. Обозначим через х и у стоимость единиц товара А и Б соответственно. Тогда условие задачи можно записать так:

 

 

Решим систему из двух уравнений с двумя неизвестными, для чего умножим правую и левую часть уравнения (1) на 7, а уравнения (2) на 5:

 

 

Вычитая второй результат из первого, получим:

 

 

Из (1) следует, что

 

 

117. Обозначим через х и у соответствующее количество компонентов «Радость» и «Сладость» в 50 литрах коктейля. Тогда условие задачи можно будет записать так:

 

 

Решим систему из двух уравнений с двумя неизвестными. Подставляя из (2) в (1), получим:

 

 

откуда

 

 

Из (2) следует, что

 

 

Следовательно, в коктейле

 

напитка «Радость»

 

и напитка «Сладость».

 

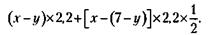
118. Обозначим через х количество приобретенных шин (или аккумуляторов), а через у – количество непроданных аккумуляторов. Тогда количество непроданных шин составит 7 - у, количество проданных аккумуляторов х - у, количество проданных шин х - (7 - у).

Стоимость покупки равна:

 

 

Стоимость продажи (с учетом прибыли) равна:

 

 

По условию задачи стоимость продажи равна стоимости покупки:

 

 

или после преобразований

 

 

Решая последнее (так называемое диофантовое) уравнение, следует иметь в виду следующие ограничения:

1) х и у – целые числа,

2) х и у – положительны,

3) х и у – меньше 7.

Указанным ограничениям отвечают только значения у, равные 5 или 2 (при всех других значениях у значения х не будут целыми числами); у = 2 не подходит, так как из (*) при этом нарушается условие

 

продажи шин парами (33 не делится на 2).

Следовательно, у = 5. При этом стоимость покупки составляет Зх = 3 х 44 = 132 тыс. у. д. ед.

Нетрудно убедиться, что при оставшихся непроданных пяти аккумуляторах и двух шинах их стоимость составляет:

 

 

что как раз равно 0, 1 от стоимости покупки, т. е. прибыль действительно равна 10 %.

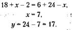
119. Обозначим стоимость первой квартиры при ее покупке через х, а второй – через у. Тогда условие задачи можно записать так:

 

 

Из (1) следует, что

 

 

Подставляя значение у в (2), получим:

 

 

откуда х = 180 тыс. у. д. ед.

 

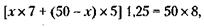
120. Обозначим через х деньги родителей, а через у деньги детей. Тогда условие задачи можно записать так:

 

 

Из (1) следует, что

 

 

Подставляя значение у в (2), получим:

 

 

или после преобразований

 

 

 

2) Цена участка по условию задачи равна остающейся у родителей или у детей сумме денег

 

 

Значит, она равна

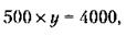
121. Вначале рассчитаем процент и вес сухого остатка в товаре.

При первом замере жидкости сухой остаток составил 1 % и весил 1 т. При втором замере – соответственно 4 % и снова 1 т (вес сухого остатка не меняется). Интересующий нас вес всего товара (100 %) при втором замере (х) находим из очевидной пропорции:

 

 

Откуда х = 25т.

За этот товар следует заплатить 25т х 300 тыс. у. д. ед. = 7, 5 млн у. д. ед.

122. Задача допускает несколько решений. Одно из наиболее интересных следующее.

Фирма Б заключает с фирмой В контракт на поставку лишь половины товара, получаемого от фирмы А. Тогда сумма этого контракта будет 100 млн руб. и неустойка фирме В составит лишь 10 млн руб. В случае, если фирма А сорвет контракт, фирма Б ничего не потеряет, выплачивая фирме В только то, что получит от фирмы А. Если же фирма А сделает нормальную поставку, фирма Б заключит с фирмой В контракт и на вторую половину товара.

123. Будем рассуждать следующим образом:

1) За сколько дней Иванов израсходует 10 бочек?

 

10 x 14 = 140 дней.

 

2) Сколько бочек за эти же 140 дней израсходовали бы Иванов и Петров совместно?

 

 

3) Сколько бочек за эти 14 дней израсходовал бы Петров?

 

14 - 10 = 4 бочки.

 

4) За сколько дней Петров израсходовал бы одну бочку?

 

 

124. Нужда – это нехватка определенного круга предметов или услуг (например, нужда в пище, одежде, квалифицированной медицинской помощи). Потребность – это нужда в конкретном товаре. Спрос – это потребность, подкрепленная возможностью покупателя заплатить за товар.

 

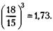
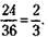
125. В предвкушении еды нас интересует не величина яблока, а его объем. Отношение объемов шаров пропорционально отношению кубов их радиусов. В нашей задаче это отношение равно:

 

 

Следовательно, по объему первое яблоко больше второго примерно в 2 раза. А стоит оно всего в 1, 5 раза дороже. Значит, такое яблоко покупать выгоднее.

126. Руководствуясь теми же соображениями, что и в решении задачи 125, составим отношение объемов яиц:

 

 

Следовательно, второе яйцо выгоднее.

Уместно отметить, что соображения, высказанные при решении двух последних задач, справедливы по отношению к любым фруктам или овощам шарообразной или близкой к ней формы: чем они крупнее, тем выгоднее.

127. Для решения задачи вообразим, что диаметр крупинок муки крупного помола больше, чем мелкого, скажем, в 10 раз. Увеличим мысленно крупинки мелкой муки до размера крупинок крупной. Одновременно увеличим во столько же раз и размер мешка. Тогда объем его вырастет в 10х 10 х 10= 1000 раз. Во столько же раз увеличится и вес муки. И если мы теперь отсыпем из этого огромного мешка один наш мешок, то он составит одну тысячную веса большого мешка. Но ведь это и будет мешок муки крупного помола. И вес его окажется точно таким же, как и у мешка муки мелкого помола.

Следовательно, одинаковые по объему мешки муки мелкого и крупного помола равны и по весу.

 

128. 1) Если на все деньги купить только радиоаппаратуру, то ее окажется 480 тыс. у. д. ед.: 30 тыс. у. д. ед. = 16 единиц. Но при этом экспедитор нарушает задание – купить товары всех трех видов. Поэтому ему придется ограничиться 15-ю единицами радиоаппаратуры, оставив деньги на более мелкие покупки (одежду и бытовую технику).

2) Допустим, мелкие покупки уже сделаны. Тогда если бы радиоаппаратура стоила по 10 тыс. у. д. ед. за единицу, то за 15 единиц пришлось бы заплатить 150 тыс. у. д. ед. (менее 200 тыс. у. д. ед.) и осталось бы явно более 28 тыс. у. д. ед. (480 - 200) на доплату стоимости радиоаппаратуры – по 20 тыс. у. д. ед. (30 - 10) за каждую единицу. Следовательно, куплено было бы более 14 единиц (280 тыс. у. д. ед.: 20 тыс. у. д. ед.). Итак, можно купить радиоаппаратуры не более 15 единиц, но более 14, т. е. 15 единиц.

За 15 единиц радиоаппаратуры будет заплачено 450 тыс. у. д. ед. и, таким образом, на мелкие покупки останется 30 тыс. у. д. ед. (480 - 450).

3) На оставшиеся 30 тыс. у. д. ед. должно быть сделано 5 (20 - 15) мелких покупок двух видов.

Если бы бытовая техника стоила 10 тыс. у. д. ед. за единицу, то 5 ее единиц обошлись бы в 50 тыс. у. д. ед., т. е. пришлось бы переплатить сверх задания 20 тыс. у. д. ед. (50 - 30) из-за переплаты по 5 тыс. у. д. ед. (10-5) на каждой единице. Поэтому приходится покупать не 5 единиц бытовой техники, а 4 – всего на 20 тыс. у. д. ед. (4 x 5 тыс. д. ед.).

4) На оставшиеся 10 тыс. у. д. ед. (30 - 20) можно купить третий вид товара – одежду. Этого как раз хватит на 1 единицу одежды.

Итак, экспедитор покупает: 15 единиц радиоаппаратуры, 1 единицу одежды и 4 единицы бытовой техники.

 

129. Не только не переоценивает, но даже преуменьшает. Возьмем в руки самый подробный каталог товаров. Вряд ли он будет иметь более 1000 страниц. Откроем его посередине, на 500-й странице, и зададим 1-й вопрос: «Задуманный товар находится на этой странице или после нее?» Получив ответ, мы уменьшаем количество претендентов на задуманный товар ровно в 2 раза. Продолжая таким же образом «половинить» каталог, на 10-м вопросе мы дойдем до одной его страницы, на которой и будет искомый товар. Далее подобным же путем найдем один из двух столбцов, в которых располагаются товары (11-й вопрос). В столбце вряд ли будет более 10 товаров. Чтобы «споловинить» и их, потребуется еще максимум 4 вопроса. Итого 15 вопросов, и задача решена.

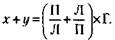
130. Действие чашечных весов основано на принципе рычага. Если правое плечо весов имеет длину П, левое – Л, и грузы, которые мы взвешиваем на правой и левой чашках, равны соответственно Рп и Рл, то должно действовать известное из физики равенство:

 

 

Поскольку весы неисправны, при первом взвешивании вес гири Г соответствует хкг товара, а при втором взвешивании – укг товара.

Равновесие наступает при следующем равенстве:

П х Г = Л х х – для первого взвешивания;

Л х Г = П х х – для второго взвешивания.

Из этих соотношений следует, что

 

 

При этом общий вес товара равен:

 

Из алгебры известно, что

 

 

(кроме случаев, когда )*.

 

 

Значит, фактический вес товара больше, чем полученный в результате предложенного способа взвешивания.

 

131. После первой замены бензина на колонке оставалось 36 - 12 = 24 т высококачественного бензина. При этом в одном литре смеси высококачественный бензин составлял

При второй замене в 9 т израсходованной смеси содержалось высококачественного бензина. Следовательно, в оставшемся на колонке бензине высококачественного было 24 - 6= 18 т.

А в одном литре смеси – соответственно

 

 

После третьей замены в 8 т израсходованной смеси содержалось высококачественного бензина. Следовательно, в оставшемся на колонке бензине высококачественного было 18 - 4= 14т.

14 т из 36 – это 39 % высококачественного бензина и 61 % (100 - 39) низкосортного.

132. 150 т.

133. Пожалуй, дешевле всего будет перенести увеличенное изображение небольшого часового циферблата на экран, помещенный на башне, с помощью оптического проектора.

134. Обозначая стоимость клипсов через Кл, броши – Бр, кольца – Кол и заколки – Зак, можно по условию задачи составить следующие два уравнения:

 


Поделиться с друзьями:

mylektsii.su - Мои Лекции - 2015-2026 год. (3.639 сек.)Все материалы представленные на сайте исключительно с целью ознакомления читателями и не преследуют коммерческих целей или нарушение авторских прав Пожаловаться на материал