РЕШЕНИЯ 7 страница

литров спирта.
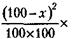
После следующего отливания х литров смеси в емкости останется 100 - х литров смеси, в которой будет содержаться


литров спирта. Затем после второго доливания воды в емкости будет 100 литров смеси, из которых литров составит спирт. Следовательно, процентное содержание спирта теперь равно


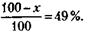
Известно, что это соответствует 49-процентному раствору спирта:

Откуда х = 30 литров.
254. Примем площадь большого луга за единицу. Так как этот луг полдня косила вся артель и еще полдня – пол-артели, то, значит, за полдня пол-артели скашивает – большого луга.
Следовательно, участок, не докошенный половиной артели на малом лугу, равен 
Это и есть дневная норма одного косца. А количество косцов в среднем можно найти, разделив
то, что они выкосили за один день на дневную норму косца:

255. Обозначим через х искомое количество граммов компонента коктейля с 50 % спирта, а через у – с 20 % спирта. Тогда условие задачи можно записать в виде следующего уравнения:

Из этого уравнения следует, что у = 2х, т. е. количество 50-процентного компонента коктейля должно быть в 2 раза меньше, чем 20-процентного. Так, в килограмме коктейля должно быть 333 г 50-процентного компонента и 667 г – 20-процентного.
256. Обозначив через х первоначальное количество топлива в баке «КамАЗа» и через у – в баке «Икаруса», можно составить по условиям задачи следующие два уравнения:
(1) (2)
Совместное решение уравнений (1) и (2) приводит к ответу:

ПРИЛОЖЕНИЕ К РЕШЕНИЯМ
Таблица сложных процентов
| | Ставки процентов
| Количество сроков нарастания
| |
|
|
|
|
|
|
|
| | | | 1%
| 1.01
| 1.0201
| 1.0303
| 1.0406
| 1.0510
| 1.0615
| 1.1268
| | | 2%
| 1.02
| 1.0404
| 1.0612
| 1.0824
| 1.1041
| 1.1262
| 1.2682
| | | 3%
| 1.03
| 1.0609
| 1.0927
| 1.1255
| 1.1593
| 1.1940
| 1.4258
| | | 4%
| 1.04
| 1.0816
| 1.1249
| 1.1698
| 1.2166
| 1.2653
| 1.6010
| | | 5%
| 1.05
| 1.1025
| 1.1576
| 1.2155
| 1.2763
| 1.3401
| 1.7958
| | | 6%
| 1.06
| 1.1236
| 1.1910
| 1.2625
| 1.3382
| 1.4185
| 2.0122
| | | 7%
| 1.07
| 1.1449
| 1.2250
| 1.3108
| 1.4026
| 1.5007
| 2.2522
| | | 8%
| 1.08
| 1.1664
| 1.2597
| 1.3605
| 1.4693
| 1.5869
| 2.5182
| | | 9%
| 1.09
| 1.1881
| 1.2950
| 1.4116
| 1.5386
| 1.6771
| 2.8127
| | | 10%
| 1.10
| 1.2100
| 1.3310
| 1.4641
| 1.6105
| 1.7716
| 3.1384
| | | 11%
| 1.11
| 1.2321
| 1.3676
| 1.5181
| 1.6850
| 1.8704
| 3.4984
| | | 12%
| 1.12
| 1.2544
| 1.4049
| 1.5735
| 1.7623
| 1.9738
| 3.8960
| | | 13%
| 1.13
| 1.2769
| 1.4429
| 1.6305
| 1.8424
| 2.0820
| 4.3345
| | | 14%
| 1.14
| 1.2996
| 1.4815
| 1.6890
| 1.9254
| 2.1950
| 4.8179
| | | 15%
| 1.15
| 1.3225
| 1.5209
| 1.7490
| 2.0114
| 2.3131
| 5.3502
| | | 16%
| 1.16
| 1.3456
| 1.5609
| 1.8106
| 2.1003
| 2.4364
| 5.9360
| | | 17%
| 1.17
| 1.3689
| 1.6016
| 1.8739
| 2.1924
| 2.5652
| 6.5801
| | | 18%
| 1.18
| 1.3924
| 1.6430
| 1.9388
| 2.2878
| 2.6996
| 7.2876
| | | 19%
| 1.19
| 1.4161
| 1.6852
| 2.0053
| 2.3864
| 2.8398
| 8.0642
| | | 20%
| 1.20
| 1.4400
| 1.7280
| 2.0736
| 2.4883
| 2.9860
| 8.9161
| | | 21%
| 1.21
| 1.4641
| 1.7716
| 2.1436
| 2.5937
| 3.1384
| 9.8497
| | | 22%
| 1.22
| 1.4884
| 1.8158
| 2.2153
| 2.7027
| 3.2973
| 10.8722
| | | 23%
| 1.23
| 1.5129
| 1.8609
| 2.2889
| 2.8153
| 3.4628
| 11.9912
| | | 24%
| 1.24
| 1.5376
| 1.9066
| 2.3642
| 2.9316
| 3.6352
| 13.2148
| | | 25%
| 1.25
| 1.5625
| 1.9531
| 2.4414
| 3.0518
| 3.8147
| 14.5519
| | | 30%
| 1.30
| 1.6900
| 2.1970
| 2.8561
| 3.7129
| 4.8268
| 23.2981
| | | 35%
| 1.35
| 1.8225
| 2.4604
| 3.3215
| 4.4840
| 6.0534
| 36.6441
| | | 40%
| 1.40
| 1.9600
| 2.7440
| 3.8416
| 5.3782
| 7.5295
| 56.6939
| | | 45%
| 1.45
| 2.1025
| 3.0486
| 4.4205
| 6.4097
| 9.2941
| 86.3806
| | | 50%
| 1.50
| 2.2500
| 3.3750
| 5.0625
| 7.5938
| 11.3906
| 129.7463
| | | 55%
| 1.55
| 2.4025
| 3.7239
| 5.7720
| 8.9466
| 13.8672
| 192.3004
| | | 60%
| 1.60
| 2.5600
| 4.0960
| 6.5536
| 10.4858
| 16.7772
| 281.4750
| | | 65%
| 1.65
| 2.7225
| 4.4921
| 7.4120
| 12.2298
| 20.1792
| 407.1995
| | | 70%
| 1.70
| 2.8900
| 4.9130
| 8.3521
| 14.1986
| 24.1376
| 582.6222
| | | 75%
| 1.75
| 3.0625
| 5.3593
| 9.3789
| 16.4131
| 28.7229
| 825.0048
| | | 80%
| 1.80
| 3.2400
| 5.8320
| 10.4976
| 18.8957
| 34.0122
| 1156.8313
| | | 85%
| 1.85
| 3.4200
| 6.3316
| 11.7135
| 21.6700
| 40.0895
| 1607.1658
| | | 90%
| 1.90
| 3.6100
| 6.8590
| 13.0321
| 24.7610
| 47.0459
| 2213.3145
| | | 95%
| 1.95
| 3.8025
| 7.4149
| 14.4590
| 28.1951
| 54.9804
| 3022.8406
| | | 100%
| 2.00
| 4.0000
| 8.0000
| 16.0000
| 32.0000
| 64.0000
| 4096.0000
| | | 110%
| 2.10
| 4.4100
| 9.2610
| 19.4481
| 40.8410
| 85.7661
| 7355.8270
| | | 120%
| 2.20
| 4.8400
| 10.6480
| 23.4256
| 51.5363
| 113.3799
| 12855.0010
| | | 130 %
| 2.30
| 5.2900
| 12.1670
| 27.9841
| 64.3634
| 148.0359
| 21914.6220
| | | 140%
| 2.40
| 5.7600
| 13.8240
| 33.1776
| 79.6262
| 191.1030
| 36520.3410
| | | 150%
| 2.50
| 6.2500
| 15.6250
| 39.0625
| 97.6562
| 244.1406
| 59604.6400
| | | 160%
| 2.60
| 6.7600
| 17.5760
| 45.6976
| 118.8138
| 308.9158
| 95428.9510
| | | 170%
| 2.70
| 7.2900
| 19.6830
| 53.1441
| 143.4891
| 387.4205
| 150094.6100
| | | 180%
| 2.80
| 7.8400
| 21.9520
| 61.4656
| 172.1037
| 481.8903
| 232218.2400
| | | 190 %
| 2.90
| 8.4100
| 24.3890
| 70.7281
| 205.1115
| 594.8233
| 353814.7300
| | | 200%
| 3.00
| 9.0000
| 27.0000
| 81.0000
| 243.0000
| 729.0000
| 531441.0000
| | | 250%
| 3.50
| 12.2500
| 42.8750
| 150.0625
| 525.2188
| 1838.2656
| 3379220.3000
| | | 300%
| 4.00
| 16.0000
| 64.0000
| 256.0000
| 1024.0000
| 4096.0000
| 16777216.0000
| | | | | | | | | | | | | | | | | | |
|