Студопедия

Главная страница Случайная страница

КАТЕГОРИИ:

АвтомобилиАстрономияБиологияГеографияДом и садДругие языкиДругоеИнформатикаИсторияКультураЛитератураЛогикаМатематикаМедицинаМеталлургияМеханикаОбразованиеОхрана трудаПедагогикаПолитикаПравоПсихологияРелигияРиторикаСоциологияСпортСтроительствоТехнологияТуризмФизикаФилософияФинансыХимияЧерчениеЭкологияЭкономикаЭлектроника






Построение графика работы сил сопротивления, движущих сил и избыточной работы в функции угла поворота






Интегрируем графически способом график Мпр= Мпр(φ) и получаем график работы движущих сил с масштабом:

- полюсное расстояние, мм.

Для построения графика сил сопротивления необходимо соединить отрезком прямой начальную и конечную точки графика движущих сил.

Для построения графика избыточной работы используем соотношение:

 

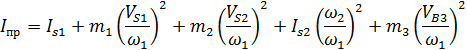
Построение графика приведенного к кривошипу момента инерции массы механизма в зависимости от угла поворота кривошипа за цикл установившегося движения

Определим приведенный момент инерции звеньев с использованием кинематических параметров, полученных с помощью планов скоростей.

Полученные значения представлены в табл.3.

Подсчитываем масштаб:

,

Где =109, 5мм, - отрезок изображающий Iпр.


Поделиться с друзьями:

mylektsii.su - Мои Лекции - 2015-2026 год. (1.839 сек.)Все материалы представленные на сайте исключительно с целью ознакомления читателями и не преследуют коммерческих целей или нарушение авторских прав Пожаловаться на материал