Студопедия

Главная страница Случайная страница

КАТЕГОРИИ:

АвтомобилиАстрономияБиологияГеографияДом и садДругие языкиДругоеИнформатикаИсторияКультураЛитератураЛогикаМатематикаМедицинаМеталлургияМеханикаОбразованиеОхрана трудаПедагогикаПолитикаПравоПсихологияРелигияРиторикаСоциологияСпортСтроительствоТехнологияТуризмФизикаФилософияФинансыХимияЧерчениеЭкологияЭкономикаЭлектроника






Лабораторная работа №2. Технология работы в текстовом редакторе MS Word. Создание, форматирование, Вставка объектов.






Цель работы: приобрести практические навыки работы с редактором формул Microsoft Equation, опыт создания и обработки табличных данных, создание диаграмм в MS Word и реализации автоматических вычислений в таблицах. Получить практические навыки создания рисунков средствами MS Word и вставки готовых графических объектов.

1. Откройте файл, сохраненный на предыдущем занятии.

2. Слово ПРИЛОЖЕНИЕ разместите в центре страницы.

3. Оформление приложений.

· На следующей странице напечатайте Приложение 1, выровняйте по правому краю , Шрифт – Times New Roman.

· Создайте ещё 4 страницы (Ctrl+Enter).

· На каждой из них напечатайте Приложение 2, Приложение 3, Приложение 4, Приложение 5.

4. Добавление дополнительных объектов.

· Перейдите на страницу Приложение 1.

· Создайте таблицу, представленную ниже.

Таблица - некий объем информации, организованный с помощью строк и столбцов. Ячейки таблиц могут содержать не только текст, но и графические и прочие объекты.

Существует три основных средства создания таблиц:

ü кнопка Добавить таблицу на панели инструментов Стандартная ;

ü команда меню Таблица – Вставить – Таблица;

ü средство рисования таблиц Нарисовать таблицу на панели инструментов Таблицы и границы (команда меню Таблица – Нарисовать таблицу).

o Вставьте таблицу из 9 столбцов и 7 строк.

o Выделите все ячейки первой строки (при нажатой левой кнопке мыши)

o Таблица – Объединить ячейки

o Выделите 5 ячеек в первом столбце

· Таблица – Объединить ячейки

· Расширьте 2 столбца, используя левую кнопку мыши.

· Оставшиеся столбцы выровняйте Таблица – Автоподбор – Выровнять ширину столбцов

· Выделите ячейки, в которых текст повернут, нажмите правую кнопку мыши и выберите Направление текста.

· Впечатайте текст.

· Выделите строку с Итого и залейте ее серым. Для этого Вид – Панели инструментов – Таблицы и границы и выберите кнопку

· Картинка, фигурный текст, организационная диаграмма

Для вставки в документ фигурного текста WordArt (Кнопка внизу на панели Рисование). В данном объекте можно изменить текст надписи (двойной щелчок по объекту), цвет линий и заливки (кнопки внизу на панели Рисование); выполнить поворот объекта (кнопка ).

Для вставки картинки Вставка – Рисунок – Картинка.

· Перейдите на страницу Приложение 2. Создайте документ по образцу.

.

· Организационная диаграмма

· Перейдите на страницу Приложение 3.

· Для вставки в документ Организационной Диаграммы (Кнопка внизу на панели Рисование).

· Выберите Тип Организационная диаграмма

· Выделите крайний правый блок, удалите его клавишей Delete.

· Выделите крайний левый блок

· Добавить фигуру – Подчиненный

· Макет – Правосторонний

· Добавить фигуру – Подчиненный

· Выделите крайний правый блок

· Добавить фигуру – Подчиненный

· Макет – Правосторонний

· Добавить фигуру – Подчиненный

· Добавить фигуру – Подчиненный

· Выберите Автоформат

· В появившемся окне из списка выберите любой и нажмите ОК.

· Впечатайте текст

Диаграмма

Зачастую требуется представить табличные данные в виде диаграммы. Для этого используется специальный встроенный редактор Microsoft Graph. Выделите всю таблицу и выберите команду меню Вставка/Объект. В списке выберите Диаграмма Microsoft Graph.

Существует более простой способ запуска Graph надо просто щелкнуть по кнопке Вставка Диаграммы на Стандартной панели инструментов.

· Перейдите на страницу Приложение 4.

· Вызовите Вставка/Объект/Graph

· В появившейся таблице введите данные

· Щелкните ПКМ по серому фону и выберите Формат стенок.

· Выберите фон – белый, цвет линий – авто.

· Щелкните ПКМ по горизонтальной оси (там где названия предметов) и выберите Формат оси.

· Перейдите на закладку Шрифт, уберите галочку Автомасштабирование, выберите Начертание – обычный, Размер – 10.

· Щелкните ПКМ по первому столбику (сиреневому) и выберите Формат рядов данных.

· Выберите Способы заливки, закладку Узор, Штриховка – чёрный, Фон – белый, Узор – широкий диагональный.

· Математические знаки, формулы.

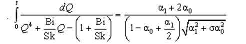
· Перейдите на страницу Приложение 5.

· Создайте документ по образцу.

1. Установите курсор в то место, где необходимо поместить формулу.

2. Запустите редактор формул(Вставка / Объект / Microsoft Equation 3.0).

3. Создать формулу.

4. Завершить ввод формулы нажатием клавиши ESC или щелчком левой кнопкой мыши где-либо в поле документа вне области ввода формулы.

После вызова редактора формулпоявляется пиктографическое меню, состоящее из двух строк кнопок. Первый ряд служит для вставки символов (операторов и греческих букв) в формулы, второй — для создания шаблонов математических формул.

За каждой из кнопок находится группа символов или шаблонов. После нажатия кнопки мышью снизу от кнопки появится изображение всех символов/шаблонов группы. Щелчок мыши по нужному символу/шаблону вставит необходимый элемент в место расположения курсора.

Настройка MS Equation позволяет назначать шрифты для различных элементов, входящих в формулы (Стиль/Определить), определять размеры элементов формулы (Размер/Определить), межстрочный интервал, расстояние между столбцами (Формат/Интервал), задавать выравнивание (Формат) и др.

 
 

 

 


Для первой формулы используйте:

· Интеграл

· Дробь

· Индексы верхний и нижний, двойные индексы.

· Скобки круглые

· Корень

· Латинский алфавит

 

 

Для второй формулы используйте:

· Скобка фигурная

Для третьей формулы используйте:

· Матрицы: 5 –столбцов, 4 - строки

Индекс нижний

 


Поделиться с друзьями:

mylektsii.su - Мои Лекции - 2015-2026 год. (0.444 сек.)Все материалы представленные на сайте исключительно с целью ознакомления читателями и не преследуют коммерческих целей или нарушение авторских прав Пожаловаться на материал