Студопедия

Главная страница Случайная страница

КАТЕГОРИИ:

АвтомобилиАстрономияБиологияГеографияДом и садДругие языкиДругоеИнформатикаИсторияКультураЛитератураЛогикаМатематикаМедицинаМеталлургияМеханикаОбразованиеОхрана трудаПедагогикаПолитикаПравоПсихологияРелигияРиторикаСоциологияСпортСтроительствоТехнологияТуризмФизикаФилософияФинансыХимияЧерчениеЭкологияЭкономикаЭлектроника






Управления запасами






 

В предыдущих разделах было сделано предположение, что каждый хранящийся на складе ресурс не зависит от остальных и хранится (расходуется) самостоятельно, а пополнение запасов всех ресурсов также выполняется независимо, в том числе в случае их изготовления на предприятии, располагающем для этого необходимыми производственными мощностями. Эти допущения действительно справедливы, если не налагаются ограничения на размер капитала, вложенного в запасы, на емкость складских помещений, а также на производственную мощность предприятия и грузоподъемность транспортных средств, используемых для доставки ресурсов на склад. Однако во многих случаях эти допущения не выполняются, вследствие чего представляет интерес рассмотрение экономико-математической модели совместного управления запасами многих ресурсов.

Предположим, что перед предприятием возникла проблема хранения

m(i = 1̅, ̅ m̅)видов ресурсов так, чтобы общая стоимость запасов не превышала величины инвестируемого в них капитала К. Если бы ограничение на размер капитала не налагалось, то общая стоимость запасов составила бы:

где i — индекс ресурса;

п — размер партии поставки;

k - нормировочный множитель. Этот множитель введен для учета того факта, что запасы отдельных ресурсов могут поступать (и в действительности поступают) неодновременно, и может принимать значения от нуля до единицы. Если запасы всех ресурсов пополняются одновременно, то в это время размер капитала оказывается максимальным, т. е. k= 1.

 

Полагая k = l/2, допускаем, что запасы пополняются в разное время и что сумма вложенного капитала в среднем равна половине максимальной суммы. Если K1£ К, то для определения размера партии можно воспользоваться формулой Уилсона, если же К1 > К, то необходимо изменить размеры партий так, чтобы выполнялось ограничение, налагаемое на величину капитала. Таким образом, имеем условие:

Определим величину А, следующим образом:

(18.1)

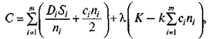
Тогда выражение для общих переменных издержек С примет вид:

где сi коэффициент, показывающий соотношение затрат на хранение единицы ресурса и его цены;

l — неопределенный множитель Лагранжа;

Di общая потребность в i-ресурсе;

Si затраты, связанные с приобретением i-го ресурса.

Чтобы минимизировать общие издержки, продифференцируем это выражение и приравняем производную нулю. Получим решение в виде:

Отметим, что согласно (18.1) величина l должна быть отрицательной или равной нулю. Таким образом, вследствие ограничения, налагаемого на размер капитала, издержки хранения запасов icувеличиваются до величины с(i - l) > ic, что и следовало ожидать. Если капитала недостаточно, то приведенная процентная ставка окажется выше, чем в том случае, когда фирма обладает достаточным капиталом. Величина l зависит от степени ограничения капитала. Последовательно задавая значения l, находим такое, при котором общая сумма капитала, вложенного в запасы, составляет величину К. Можно показать, что в случае, когда ограничения на размер вложенного в запасы капитала не накладываются, издержки хранения одного ресурса Ciсоставят:

а издержки хранения т ресурсов будут:

Для случая, когда капитал ограничен, издержки хранения запасов равны:

Пример 18.7

Фирма приобретает три вида материалов, исходные данные и расчетные параметры которых представлены в табл. 18.1. Располагаемый капитал при k= V2 составляет 3600 тыс. руб. Отношение годовых затрат на хранение к цене материала / = 0, 20. Требуется определить оптимальный размер заказа при отсутствии и при наличии ограничений на капитал.

Решение

Рассчитаем оптимальный размер заказа при отсутствии ограничений на капитал по формуле Уилсона, а среднюю стоимость заказа А0 по формуле: А0 = сn.Результаты расчета сведены в табл. 18.1. Условие k = 1/2 целесообразно применять в случае крупных запасов при оживленном спросе с небольшими сезонными колебаниями, так как здесь ожидаются незначительные колебания общего среднего уровня запасов. Если по статистике часто наблюдается одновременная подача заказов на все материалы, то необходимо брать большее значение k.

Таблица 18.1

 

Параметры     Наименование материалов
1 2 3
Годовой спрос, ед. Стоимость единицы материала, тыс. руб /ед Издержки выполнения заказа, тыс. руб Размер партии поставки при отсутствии ограничении на капитал, ед Средняя стоимость заказа, тыс руб. 3, 00 20, 00   2, 00 20, 00   6, 00 20, 00  

 

Зная среднюю стоимость заказываемой партии, можно вычислить среднюю стоимость запасов, как полусумму стоимостей заказываемых партий. Ее величина составит 4250 тыс. руб., что превышает установленный предел, равный 3600 тыс. руб. Теперь можно рассмотреть среднюю стоимость запасов, как функцию различных отрицательных значений l. Эти результаты сведены в табл. 18.2. Из таблицы видно, что при l = -0, 08 получаем верхний предел стоимости запасов за счет уменьшения размера заказа. При этом значении происходит увеличение издержек управления запасами, что эквивалентно появлению дополнительных издержек вследствие ограниченного размера наличного капитала.

Таблица 18.2

 

  l   A01/2   А02/2   Aоз/2
0, 000        
-0, 060        
-0, 075        
-0, 080        
-0, 085        

Примечание. Общие переменные издержки (минимальные) составляют 1730 тыс. руб. при l = -0, 08.

 

Переменные издержки составят без учета ограничений на капитал:

с учетом ограничения:

Таким образом, по причине ограниченного размера наличного капитала дополнительно расходуется 30 тыс. руб. ежегодно. Эти издержки возникают вследствие того, что размеры заказов становятся меньше, и поэтому заказы нужно подавать чаще. В результате дополнительные издержки выполнения заказов превосходят экономию за счет меньших издержек хранения.

 


Поделиться с друзьями:

mylektsii.su - Мои Лекции - 2015-2026 год. (0.648 сек.)Все материалы представленные на сайте исключительно с целью ознакомления читателями и не преследуют коммерческих целей или нарушение авторских прав Пожаловаться на материал