Студопедия

Главная страница Случайная страница

КАТЕГОРИИ:

АвтомобилиАстрономияБиологияГеографияДом и садДругие языкиДругоеИнформатикаИсторияКультураЛитератураЛогикаМатематикаМедицинаМеталлургияМеханикаОбразованиеОхрана трудаПедагогикаПолитикаПравоПсихологияРелигияРиторикаСоциологияСпортСтроительствоТехнологияТуризмФизикаФилософияФинансыХимияЧерчениеЭкологияЭкономикаЭлектроника






Расчет аэротенков






Исходные данные:

БПКполночищенной сточной воды LT=15 мг/л

БПКполнотстоянной сточной воды Len=217, 8 мг/л

Приток сточной воды Q=42262.5 /сут

t = 120C

Аэротенки проектируются с регенераторами, т.к. БПКполн отстоянной сточной жидкости превышает 150 мг/л.

Расчет аэротенков с регенераторами выполняется в соответствии с приложением 4 СНиПа 2.32.74

Рис. 6. Схема аэротенка-вытеснителя

1 – канал циркуляционного активного ила; 2 – циркуляционный активный ил;
3 – сток от первичных отстойников; 4 – собственно аэротенк; 5 – регенератор;
6 – соединительный канал; 7 – иловая смесь на вторичные отстойники;
8 – очищенная вода; 9 – сырая вода; 10 – канал биологически очищенных сточных вод; 11 – нижний канал сырой воды; 12 – верхний канал сырой воды.

 

Высчитываем продолжительность аэрации смеси сточной воды и циркуляционного ила в аэротенке

где – доза ила в аэротенке. Рекомендуется принять = 1, 5 г/л.

Таким образом

Рассчитаем дозу циркуляционного ила:

где aрег – доза ила в регенераторе. Рекомендуется принимать aрег = 4 г/л.

Продолжительность окисления снятых загрязнений

где Sл – зольность ила в долях единицы, принимаемая равной 0, 3; ρ – средняя скорость окисления загрязнений, для бытовых сточных вод принимается ρ = 19 мг/(г∙ ч)

Продолжительность регенерации циркуляционного ила

Объем собственно аэротенка

где Q – средний часовой приток сточных вод в течение суток при общем коэффициенте неравномерности Кобщ ≤ 1, 25 и средний часовой приток сточных вод за время аэрации при Кобщ> 1, 25. Т.к. Кобщ = 1, 6, определяем средний часовой приток сточных вод за время Т0= 11, 83 ч (12 ч) в часы максимального притока с 8 до 20.

Объем регенератора

Общий объем аэротенка с регенератором

Расчетная продолжительность обработки воды

Рассчитанную продолжительность Т = 6, 2 ч сравниваем с получаемой по формуле

где

Значения Т, вычисленные по обеим формулам, почти совпадают, что отвечает требованию.

Исходя из условия W: Wp=15213, 3: 5851, 26=2.6≈ 3

Принимаем трёхкорридорный (n=3) аэротенк, один корридор из которых идёт на регенератор.

Принимаем аэротенк типа А-3-4, 5-3, 2 с шириной коридора B = 4, 5 м и рабочей глубиной Н=3, 2 м.

Исходя из пропускной способности очистной станции Q=42262.5, принимаем 8 секций, тогда объем секции:

Wc=42262.5: 8=5282, 5 м3.

 

Длина одной секции:

Площадь одного коридора аэротенка

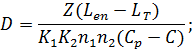
Удельный расход воздуха в аэротенке

где Z – удельный расход кислорода на 1 мг снятой БПКполн, мг/мг; для полной очистки Z = 1, 1;

К1 – коэффициент, учитывающий тип аэратора, К1 = 1, 91;

К2 – коэффициент, зависящий от глубины погружения аэратора, К2=2, 17;

n1 – коэффициент, учитывающий температуру сточных вод(n1 =0, 96)

– коэффициент, учитывающий отношение скорости переноса кислорода в иловой смеси к скорости переноса его в чистой воде. Для бытовых сточных вод ;

- средняя концентрация кислорода в аэротенке: С = 2 мг/л;

- растворимость кислорода воздуха в воде, мг/л:

где - растворимость кислорода воздуха в зависимости от температуры и давления:

Таким образом

Интенсивность аэрации

Прирост ила в аэротенке при очистке бытовых сточных вод определяется по формуле

 


Поделиться с друзьями:

mylektsii.su - Мои Лекции - 2015-2026 год. (1.324 сек.)Все материалы представленные на сайте исключительно с целью ознакомления читателями и не преследуют коммерческих целей или нарушение авторских прав Пожаловаться на материал