Студопедия

Главная страница Случайная страница

КАТЕГОРИИ:

АвтомобилиАстрономияБиологияГеографияДом и садДругие языкиДругоеИнформатикаИсторияКультураЛитератураЛогикаМатематикаМедицинаМеталлургияМеханикаОбразованиеОхрана трудаПедагогикаПолитикаПравоПсихологияРелигияРиторикаСоциологияСпортСтроительствоТехнологияТуризмФизикаФилософияФинансыХимияЧерчениеЭкологияЭкономикаЭлектроника






Расчет выпуска сточной воды в водоем






Очищенные сточные воды после дезинфекции отводятся по каналу к месту выпуска. Сброс воды в водоёмы осуществляется через специальные сооружения – выпуски. Особенности устройства выпусков диктуется следующими условиями:

1. Обеспечение устойчивости самих выпусков.

2. Обеспечение мах разбавления сточных вод.

По типу водосмыва выпуски классифицируют:

1. Речные.

2. Озёрные.

По месту расположения:

1. Береговые.

2. Русловые.

По конструкции:

1. Сосредоточенные.

2. Рассеивающие.

В задании выбираем рассеивающий фильтрующий струйный выпуск.

Выпуск представляет собой стальную дырчатую трубу постоянного сечения с приваренной к ней по всей длине металлической обоймой, заполненная крупным гравием или щебнем. Обойма состоит из продольных стальных листов, горизонтального решётчатого дна, верхней металлической крышки и поперечных стенок. Ширина обоймы, в зависимости от d трубы, 150-400 мм. Высота: h=

=150-200 мм;

=400-600 мм.

Площадь щелевидных отверстий решётчатого дна должна составлять 40-50% его площади. Верхняя крышка обоймы имеет круглое отверстие, которое расположено в шахматном порядке, , расстояние между отверстиями 6-8 . Между рядами – 4-5 .Скорость движения сточной воды сквозь отверстия 2-2, 5 м/с. Поперечные стенки обоймы располагают на расстоянии 1, 5-1, 75 м. Засыпка производится гравием d=16-32 мм.

Длина рабочей части выпуска:

- средне-секудный расход сточных вод,

n- необходимая кратность разбавления ст. вод речными в расчётном створе,

-эффективная ширина реки в створе выпуска,

- расчётный мин расход воды в реке при 95% обеспеченности.

Независимо от длины рабочей части, выпуски рекомендуется располагать симметрично по отношению к динамичной оси потока.

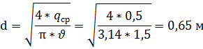
Диаметр трубы выпуска подбираем по средне-секундному расходу ст. вод при скорости вначале трубы v =1-1, 6 м/с, при этом мин диаметр для труб рекомендуется d=300 мм, а макс d=1400 мм.

Принимаем v =1, 5 м/с, тогда:

Для сохранения постоянного напора по всей длине выпуска его длина должна быть равна критической длине , при которой потери полность компенсируются восстановившимся напором, за счёт уменьшения скорости при раздаче расхода по пути движения воды:

- коэффициент сопротивления трению по длине.

Необходимый полный напор для работы выпуска:

-потери на береговом участке трубопровода:

i -потери напора на 1 м.

- потери напора на трение в дырчатой трубе:

- скорость вначале трубы выпуска.

- потери в щелевидных отверстиях:

-потери в отверстиях:

-потери напора в в гравийной загрузке, ().


Поделиться с друзьями:

mylektsii.su - Мои Лекции - 2015-2026 год. (1.608 сек.)Все материалы представленные на сайте исключительно с целью ознакомления читателями и не преследуют коммерческих целей или нарушение авторских прав Пожаловаться на материал