Студопедия

Главная страница Случайная страница

КАТЕГОРИИ:

АвтомобилиАстрономияБиологияГеографияДом и садДругие языкиДругоеИнформатикаИсторияКультураЛитератураЛогикаМатематикаМедицинаМеталлургияМеханикаОбразованиеОхрана трудаПедагогикаПолитикаПравоПсихологияРелигияРиторикаСоциологияСпортСтроительствоТехнологияТуризмФизикаФилософияФинансыХимияЧерчениеЭкологияЭкономикаЭлектроника






Источники опорного напряжения






 

В любой схеме стабилизатора компенсационного типа требуется опорное напряжение, с которым сравнивается величина выходного напряжения. Ста­бильность выходного напряжения стабилизатора не может быть выше стабиль­ности его источника опорного напряжения. Источники опорного напряжения (ИОН) широко применяются также в качестве эталонной меры в аналого-циф­ровых и цифроаналоговых преобразователях, а также в разного рода пороговых устройствах.

Основное назначение ИОН — создавать образцовое напряжение, ко­торое могло бы быть использовано электронными устройствами пре­образования информации в качестве меры, эталона.

ИОН на стабилитронах.

Простейший метод получения опорного напряжения состоит в том, что нестабилизированное входное напряжение прикладывают через токоораничивающий резистор к стабилитрону, который играет роль так называемого пара­метрического стабилизатора, чей основной параметр — напряжение пробоя обратносмещенного p-n -перехода (рисунок а).

 

 

Полупроводниковый стабилитрон, представляющий собой разновидность диода обладает характерной вольтамперной характеристикой.

При определенном обратном напряжении происходит пробой -перехода, причем вследствие конструктивных и технологических особенностей этот про­бой не приводит к выходу прибора из строя. Участок вольтамперной характери­стики, соответствующий режиму пробоя, расположен почти вертикально, так что при изменении тока через стабилитрон напряжение на нем меняется мало. Качество стабилизации оценивается коэффициентом

который называется коэффициентом стабилизации. Для схемы на рисунок а ко­эффициент стабилизации

 

и составляет обычно от 10 до 100. Здесь — дифференциальное (динамиче­ское) сопротивление стабилитрона. Оно приблизительно обратно пропор­ционально току, протекающему через стабилитрон, поэтому при заданном входном напряжении увеличением сопротивления резистора невозможно добиться повышения коэффициента стабилизации. Важным фактором для выбора стабилитрона является величина шумовой составляющей напряже­ния стабилизации, которая сильно возрастает при малых величинах тока. Не­достатком схемы на рисунке а является относительно высокое выходное со­противление (десятки Ом), которое также возрастает при уменьшении тока через стабилитрон. Другим недостатком является большой разброс напряже­ний стабилизации, который даже для прецизионных стабилитронов достига­ет 5% от номинального значения.

Существенного повышения коэффициента стабилиза­ции можно достичь, если токоограничивающий резистор заменить источником стабильного тока, например на поле­вом транзисторе.

 

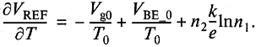
В этом случае может превысить 1000. Можно заметно улучшить характеристики источника опорного напряжения, если использовать в его составе опе­рационный усилитель (рисунок б), т. е. выполнить ИОНпо схеме стабилизатора напряжения компенсационного типа.

 

 

Коэффициент стабилизации в такой схеме определяется главным образом коэффициентом подавления нестабиль­ности питания в используемом ОУ и может достигать величины порядка 10000. Выходное сопротивление этой схемы составляет деся­тые доли Ом. Поскольку напряжения на входах ОУ практически равны, выход­ное напряжение ИОН

В схеме выходное напряжение ИОН не может быть меньше на­пряжения стабилизации стабилитрона. Если требуется более низкое напряже­ние, то между стабилитроном и неинвертирующим входом усилителя включает­ся резистивный делитель. Так устроен, например, источник опорного напряжения AD586. Применение ОУ позволяет также путем подгонки соотно­шения сопротивлений резисторов достичь высокой точности установки опорного напряжения.

В итоге, колебания выходного напряжения ИОН, выполненного по этой схеме, при реальных изменениях входного напряжения и нагрузки не превышают 1 мВ. Существенно большие значения имеют температурные коле­бания опорного напряжения.

Температурный коэффициент напряжения стаби­лизации стабилитрона (ТКН) определяется как отношение относительного приращения напряжения стабилизации к приращению температуры

Для большинства стабилитронов он находится в пределах Для малых напряжений стабилизации он отрицателен, для больших — положи­телен. Это вызвано тем, что в стабилитронах имеют место два механизма про­боя: туннельный, проявляющийся на низких напряжениях (его напряжение имеет отрицательный ТКН), и вторичный (зенеровский), для которого характе­рен положительный ТКН, существенный на больших напряжениях. Минимума по абсолютной величине этот коэффициент достигает при напряжениях стаби­лизации около 6 В, причем напряжение, соответствующее нулевому ТКН, зави­сит от тока через стабилитрон. Стабилитроны, имеющие ТКН в пределах , называют опорными диодами и обычно используют в схемах ИОН на напряжения, превышающие 7.5 В. Примером такого источника опорного напряжения может служить ИМС МАХ671С, обеспечивающая выходное на­пряжение 10 В с точностью 0.01% при К ст= 20000. ТКН = и токе по­требления 9 мА. Другой пример — AD586 (отечественный аналог — 1009ЕН2) создает выходное напряжение 5 В с точностью 0.05% при К ст = 10000, ТКН = и токе потребления 3 мА.

Рекордными характеристиками для этого класса ИОН обладает 5-вольтовая ИМС VRE3050 производства фирмы «Thaler Corporation» — ТКН = точность 0.01%, выходное сопротивление 0.025 Ом.

Для повышения температурной стабильности в некоторые ИМС источни­ков опорного напряжения (например, LM199/299/399, отечественный аналог — 2С483) встраивают термостаты с нагревательным элементом. Обе части схемы (нагреватель и ИОН) изготавливаются на одном кристалле, который помещает­ся в теплоизолированном корпусе. Это позволяет достичь ТКН в диапазоне температур —25°С... + 85°С, причем время, требуемое для установле­ния рабочего режима после включения, составляет всего 3 с. Недостаток такого решения — довольно большая мощность, потребляемая этим источником опорного напряжения (около 400 мВт при 25°С).

 

ИОН на напряжении запрещенной зоны.

Современная тенденция повышения экономичности электронных уст­ройств требует снижения питающих напряжений. Многие типы аналоговых и цифровых микросхем в настоящее время питаются напряжениями 5 В, 3 В и менее. Для работы с такими схемами требуются источники опорного напряже­ния на 2.5 В и ниже, потребляющие ток менее 1 мА.

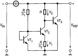
В принципе напряжение база—эмиттер транзистора можно использовать в качестве опорного. Но его температурный коэффициент напряжения (ТКН) составляет , что соответствует примерно —2.1 мВ/К, т. е. достаточно велик. Он может быть уменьшен, если это напряжение суммировать с другим напряжением, имеющим положительный температурный коэффициент. Прак­тически такое напряжение получают как разность напряжений база—эмиттер двух транзисторов, которые работают при различных токах коллектора. Схема, поясняющая принцип действия такого ИОН, представлена на рисунке.

Выходное напряжение схемы

Чтобы температурный коэффициент выходного напряжения был равен ну­лю, необходимо (но не достаточно), чтобы температурные коэффициенты на­пряжений и были различны. Для этого транзисторы и питают­ся различными токами от источников стабильного тока и , так что

 

Схема источника опорного напряжения на биполярных транзисторах, раз­работанная Р. Видларом в 1968 году, приведена на рисунке.

 

При анализе схемы будем полагать, что все транзисторы идеально согласо­ваны по параметрам и имеют очень высокий коэффициент усиления тока базы. Напряжение база—эмиттер транзистора определяется следующим уравнением:

 

 

где — напряжение запрещенной зоны полупроводника при абсолютном ну­ле температуры, То и Т — базовое и текущее значения абсолютных температур полупроводника, m — коэффициент, определяемый конструкцией и технологи­ей производства транзистора, — напряжение база—эмиттер при базовой температуре, к — постоянная Больцмана, е — заряд электрона, и — токи коллектора при базовой и текущей температурах. Напряжение V 1, равное разно­сти напряжений база—эмиттер транзисторов и (с учетом )

 

 

Опорное напряжение складывается из напряжения транзистора и напряжения , поэтому с учетом того, что два последних слагаемых в правой части уравнения весьма малы и в первом приближении ими можно пренебречь, запишем

Температурный коэффициент опорного напряжения

 

 

Из последнего выражения следует, что, для того чтобы температурный ко­эффициент опорного напряжения был равен нулю, достаточно выполнения ус­ловия

 

 

Опорное напряжение при базовой температуре найдем из V REF при Т= То

 

 

Сравнивая последние соотношения, можем утверждать

 

 

т. е. для того чтобы ТКН равнялся нулю, опорное напряжение должно быть рав­но напряжению запрещенной зоны полупроводника при абсолютном нуле тем­пературы. Для кремния это составляет 1.205 В. Именно поэтому такие источни­ки называются ИОН на ширине запрещенной зоны. Выполнение последнего условия достигается выбором коэффициентов и .

Источники опорного напряжения, построенные по схеме Рис. 5.33 и подоб­ным ей, выпускаются многими фирмами в двухвыводных корпусах.Одним из первых был LM113. Это двухвыводной ИОН на номинальное напряжение стабилизации 1.22 В. Типичное отклонение опорного напряжения при изменении температуры —55°С...+125°С и изменении выходного тока 0.5мА...20мА не превышает 5 мВ. Другой пример: микросхема AD589 обеспечивает опорное на­пряжение 1.23 В с точностью 2% при ТКН = и обладает выходным сопротивлением 0.6 Ом при токе потребления 50 мкА.

 

Параметры источников опорного напряжения.

 

Точностные параметры.

Основное назначение ИОН — создавать образцовое напряжение, которое могло бы быть использовано электронными устройствами преобразования ин­формации в качестве меры, эталона. Поэтому главное требование к ИОН — поддерживать выходное напряжение неизменным, равным номинальному зна­чению в условиях изменяющегося входного напряжения, токов нагрузки, тем­пературы окружающей среды и старения элементов.

К точностным параметрам ИОН относятся: начальная точность установки выходного напряжения в нормальных условиях, коэффициент стабилизации по входному напряжению, коэффициент стабилизации по току нагрузки, темпера­турный коэффициент напряжения, тепловой гистерезис, временная нестабиль­ность, шум выходного напряжения.

Начальная точность установки выходного напряжения зависит в основном от технологических факторов. Отклонения выходного напряжения от номиналь­ного значения вызваны разбросом элементов, входящих в состав ИОН. Точ­ность установки повышают путем лазерной подгонки сопротивлений резисто­ров схемы.

Коэффициент стабилизации по входному напряжению определяется как отно­шение приращения входного напряжения к вызываемому им приращению вы­ходного напряжения ИОН:

Иногда в справочниках приводится нестабильность по напряжению как аб­солютное изменение выходного напряжения в мВ, процентах или миллионных долях (ррm) при изменении входного напряжения в заданных пределах. Повы­шение коэффициента стабилизации достигается увеличением коэффициента усиления контура регулирования.

Коэффициент стабилизации по току нагрузки характеризует стабильность вы­ходного напряжения стабилизатора при изменении тока нагрузки. Обычно под этим коэффициентом понимают относительное изменение выходного напряже­ния при изменении тока нагрузки в заданных пределах в процентах или милли­онных долях от номинальной величины. Используются также термины «неста­бильность по току нагрузки» и «выходное дифференциальное сопротивление»:

которое измеряется в Ом. Этот параметр также существенно зависит от коэф­фициента усиления контура регулирования. Для уменьшения влияния выход­ного тока при работе ИОН на удаленную нагрузку широко используется кельвиновское (т. е. четырехпроводное) подключение (при этом напряжение обратной связи снимается непосредственно с входных зажимов питания уст­ройства-потребителя). Для этого некоторые модели прецизионных ИОН, на­пример AD588, имеют специальные выводы.

Выходное сопротивление для трехвыводных параллельных ИОН зависит от коэффициента передачи внешнего делителя в цепи обратной связи. Если — выходное сопротивление при отсутствии внешнего делителя, то при включении делителя оно увеличивается

Температурный коэффициент выходного напряжения характеризует неста­бильность выходного напряжения ИОН при изменении температуры окружаю­щей среды. Это вторая по важности после точности установки выходного на­пряжения (а в некоторых случаях даже первая) точностная характеристика. Для многих изготовителей измерительных приборов ТКН менее позволяет избавиться от системной температурной калибровки — медленного и дорого­стоящего процесса. Существует несколько методов определения ТКН. Один из них состоит в определении ТКН как тангенса угла наклона касательной к гра­фику зависимости опорного напряжения от температуры:

Однако в силу того, что эта зависимость не только не линейна, но даже и не монотонна, ТКН, определенный по этой формуле, сам очень сильно зависит от температуры. Обычно применяется метод поля, при котором задается поле допуска на отклонения опорного напряжения от номинального значения в за­данном температурном диапазоне.

На следующем рисунке представлен график за­висимости опорного напряжения от температуры для прецизионного ИОН AD588.

 

Эта зависимость (ее называют S-образной) характерна для ИОН на основе стабилитронов с так называемым «захо­роненным» слоем (или скрытым Зенеровским переходом). Очевидно, что вычисленный по вышеприведенной формуле ТКН, ни в какой мере не определяет действи­тельные границы, в которых должно оставаться опорное напряжение при изменении температуры в рабочем диапазо­не. Поэтому обычно ТКН вычисляют по формуле

 

 

Например, для AD588 эта формула дает .

На вид зависимости опорного напряжения от температуры сущест­венно влияет величина его начального значения. Это вызвано тем, что, в свою очередь, ве­личина опорного напряжения конкретного ИОН связана с точностью компенсации ТКН его базового опорного элемента. Недокомпенсаиия ведет к сниже­нию V REF, а перекомпенсация наоборот, к его увеличению. На следующем рисунке приведены гра­фики зависимости опорного напряжения от температуры для трех образцов ИОН типа TL431.

 

Видно, что при недокомпенсашш в диа­пазоне температур преобладает отрицатель­ный ТКН, а при перекомпенсации — положи­тельный.

В справочниках часто приводится так называемая «температурная стабильность», под которой понимают относительное изменение выходного напряжения в процентах от номинальной величины при изменении температуры окружаю­щей среды в допустимых для данной ИМС пределах. Используется также тер­мин «температурный дрейф выходного напряжения», определяемый отноше­нием и измеряемый в

Тепловой гистерезис — неоднозначность изменения опорного напряжения в результате изменения температуры. Он проявляется в том, что при нагреве ИОН и последующем возврате к исходной температуре, его опорное напряже­ние не всегда принимает первоначальное значение. Тепловой гистерезис трудно компенсировать, и зачастую он является главным источником погрешности при температурных колебаниях с амплитудой 25 °С и больше. Изготовители ИОН сравнительно недавно начали включать данные о тепловом гистерезисе своих изделий в техническую документацию. Например, для ИОН МАХ6250 тепловой гистерезис при изменении температуры в последовательности 25°С à 50°С à 25°С равен 20 мкВ, что сопоставимо с от­клонением опорного напряжения при изменении температуры на 7°С.

Долговременная нестабильность (времен­ной дрейф) определяет относительное изме­нение выходного напряжения в процентах от номинального значения за 1000 часов работы при температуре окружающей среды, соот­ветствующей верхней границе рабочего диа­пазона. Для ИОН на стабилитронах типич­ное значение временного дрейфа составляет за 1000 часов и уменьшается по зату­хающей экспоненте. Дополнительная термо­тренировка улучшает временную стабиль­ность ИОН на стабилитроне. XFET источники опорного напряжения имеют превосходную долговременную стабильность — за 1000 часов.

Шум опорного напряжения характерен для ИОН, так же как и для ОУ, но интенсивность шума ИОН значительно превосходит тако­вую для ОУ. Шум опорного напряжения вно­сит ошибку в измерения. В опорном напря­жении преобладают два типа шума: фликкер-шум () и тепловой (белый). Гра­фик спектральной плотности шума опорного напряжения для прецизионного AD588 представлен на рисунке.

График спектральной плотности шума для прецизионного ИОН AD588

 

Широкополосный тепловой шум может быть заметно сглажен путем подключения параллельно выходу ИОН конденсатора. На следующем рисункеможно видеть степень влияния на спектральную плотность шума ИМС МАХ6225 конденсатора емкостью 1 мкФ, подключенного параллельно выходу ИМС.

 

 

Влияние шунтирующего конденсатора на спектральную плотность шума

 

Однако не все модели ИОН допускают непосредственное подключение конденсато­ра без потери устойчивости. Ре­шением здесь может быть подключение на­грузки к ИОН через. -фильтр первого порядка. На следующем рисунке приведен график зави­симости действующего значения напряже­ния шума на выходе -фильтра, подклю­ченного к ИОН типа LT1004-2.5 ot его частоты среза.

 

 

График зависимости действующего значения шума опорного напряжения ИОН

от частоты среза выходного фильтра

 

Поскольку в отличие от ОУ выходное на­пряжение ИОН меняться не должно, можно использовать фильтр с большой постоянной времени.

К сожалению, применение -фильтра приводит к увеличению выходного сопротивления ИОН на низких частотах. Это нежелательно, если входное сопротив­ление приемника сигнала от ИОН низкое, особенно если оно меняется, как, например, у цифроаналогового преобразования с инверсной резистивной мат­рицей. Поэтому сопротивление резистора фильтра выбирают порядка 20 Ом.

В стабилитронных ИОН конденсатор для снижения шума может быть под­ключен непосредственно параллельно стабилитрону либо параллельно неинвертирующему входу усилителя, входящего в состав ИОН, как это, например, предусмотрено у прецизионного AD587. При этом условия ус­тойчивости ИОН не ухудшаются, поскольку конденсатор не входит в контур обратной связи.

К основным динамическим параметрам источников опорного напряжения относятся коэффициент подавления пульсаций, полное выходное сопротивле­ние и время установления после включения.

Коэффициент подавления пульсаций определяется как отношение (в дБ) амплитуд основной гармоники пульсаций напряжения на выходе и входе ИОН при его питании от пульсирующего напряжения (например, выходным напря­жением двухполупериодного выпрямителя без фильтра). Обычно приводится в технической документации в виде частотной характеристики. Значение этого коэффициента в области низких частот определяется частотной характеристи­кой контура регулирования ИОН, в частности коэффициентом усиления петли и частотой среза, а в области высоких частот — емкостью и частотными свойст­вами выходного конденсатора, если он есть. На рисунке представлен график зависимости коэффициента подавления пульсаций от частоты для AD291.

 

 

Полное выходное сопротивление характеризует способность источника опорного напряжения компенсировать изменение выходного напряжения при изменении тока нагрузки. Задается, как правило, в виде графика в функции от частоты изменения тока нагрузки. Так же, как и в области низких частот определяется усилительными свойствами контура регулирования, а в области высоких частот полным сопротивлением выходного конденсатора. На рисунке представлены графики зависимости от частоты модуля полного выходного сопротивления ИМС МАХ6225 для втекающего и вытекающего выходных токов силой 5 мА.

 

Графики зависимости от частоты модуля полного выходного сопротивления ИМС МАХ6225.

 

В фирменных описаниях микросхем ИОН часто приводятся графики пере­ходных характеристик — зависимости от времени опорного напряжения при скачкообразном изменении входного напряжения или тока нагрузки.

Время установления после включения — время, в течение которого опорное напряжение устанавливается с заданной точностью после подачи питания. У большинства ИОН опорное напряжение устанавливается до 0.1% за время ме­нее 10 мкс. Этот параметр важен для систем с батарейным питанием, поскольку в этом случае целесообразно подавать питание на узлы системы только на ко­роткое время их работы.

 

К важнейшим эксплуатационным параметрам ИОН относятся:

• диапазон допустимых входных напряжений;

• максимально допустимый ток нагрузки;

• максимально допустимая рассеиваемая мощность;

• минимально допустимое напряжение между входом и выходом ИОН при максимальном или дополнительно оговоренном токе нагрузки;

• ток, потребляемый ИОН в режиме холостого хода (часто называемый током утечки);

• допустимый диапазон температур окружающей среды.

В таблице приведены параметры некоторых моделей источников опорного напряжения.

 

 

Примечание.

Если в качестве регулирующего элемента выступает транзистор включенный последовательно с нагрузкой, то такой ИОН называют последовательным.

Схема ИОН, основанная на регулирующем элементе (транзисторе), включаемым параллельно нагрузке, называется параллельным.


Поделиться с друзьями:

mylektsii.su - Мои Лекции - 2015-2026 год. (2.552 сек.)Все материалы представленные на сайте исключительно с целью ознакомления читателями и не преследуют коммерческих целей или нарушение авторских прав Пожаловаться на материал