Студопедия

Главная страница Случайная страница

КАТЕГОРИИ:

АвтомобилиАстрономияБиологияГеографияДом и садДругие языкиДругоеИнформатикаИсторияКультураЛитератураЛогикаМатематикаМедицинаМеталлургияМеханикаОбразованиеОхрана трудаПедагогикаПолитикаПравоПсихологияРелигияРиторикаСоциологияСпортСтроительствоТехнологияТуризмФизикаФилософияФинансыХимияЧерчениеЭкологияЭкономикаЭлектроника






Применение ИОН






 

Помимо основного назначения — эталонная мера электрического напряже­ния — ИОНмогут быть применены во многих узлах электронной аппаратуры. Особенно много возможностей в этом смысле предоставляют трехвыводные последовательные ИОН. Ниже рассматривается построение некоторых элек­тронных схем на базе ИОН.

 

Типовое включение параллельного ИОН.

На рисунке приведены типовые схемы включения и схема замещения па­раллельного ИОН.

 

Параллельный ИОН:

а — типовая схема включения, б — схема замещения, в — схема включения с источником тока

 

На резисторе падает разность входного и опорного напряжений. Коэффи­циент стабилизации по входному напряжению для этой схемы можно опреде­лить на основе схемы замещения (рисунок б)

 

Из последнего выражения следует, что чем больше сопротивление резисто­ра , тем выше Это, однако, справедливо только в том случае, если ток, про­ходящий через ИОН, не изменяет его сопротивление. Поскольку сопротивле­ние R определяет ток через ИОНи нагрузку, оно не может быть больше некоторого максимального значения, определяемого из следующего уравнения:

 

где — минимально допустимый входной ток, — максимально возможный ток нагрузки, — минимально допустимый ток катода источника опорного напряжения, — минимально возможное входное напряжение.

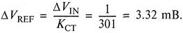
Пример. Возьмем современную модель параллельного ИОН AD1586, обладаю­щую следующими параметрами: = 2.5 В; = 0.05 мА; = 0.5 Ом. Пусть = 5±1 В, = 10 мА. Тогда на основании вышеприведенного соотношения нахо­дим = 150 Ом. Найдем = 301. При возможном отклонении входного напряжения изменение опорного напряжения составит

Несложно убедиться (см. предыдущую таблицу), что такое изменение эквивалент­но его дрейфу при изменении температуры на 27°С.

Уменьшить влияние входного напряжения можно, если в качестве входного использовать стабилизированное напряжение, либо заменив резистор источни­ком стабильного тока, например, на полевом транзисторе (см. рисунок в).

 

Пороговый детектор с однополярным питанием.

В состав схем параллельных трехвыводных ИОН на ширине запрещенной зоны входят: собственно ИОН и усилитель.

Это позволяет использовать такие ИОН в каче­стве термокомпенсированных пороговых детекторов. Схема устройства представлена на рисунке.

 

Обратная связь разомкнута. В таком случае усилитель превращается в компаратор. Выходное напряжение схемы при использовании ИМС типа TL431

 

 

где — напряжение насыщения ИОН (около 2 В для TL431), — коэффициент передачи делителя напряжения.

 

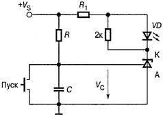
Реле времени.

Сочетание в схеме параллельного трехвыводного ИОН усилителя и опорного источника позво­ляет использовать его для построения простого ре­ле времени.

Запуск реле осуществляется кратковременным закорачиванием времязадающего конденсатора С контактами кнопки «Пуск», в результате чего конденсатор разряжается. После размыкания контактов начинается заряд конденсатора через резистор . Пока ток катода ИОН менее 1 мкА. Когда напряжение на конденсаторе превысит напряжение катод—анод ИОН становится равным и через светодиод начинает течь ток, величина которого определяется по формуле

 

где — прямое напряжение на диоде.

Длительность задержки

 

В этой схеме хорошие результаты дает применение микромощных ИОН, та­ких, как TLV431 и подобных им.

 

Мощный параллельный стабилизатор.

При включении по типовой схеме в каче­стве параллельного стабилизатора напряже­ния мощность ИОН может оказаться недоста­точной. В этом случае можно умощнить схему дополнительным транзистором.

 

Дополнительный транзистор и выход­ной транзистор ИОН включены здесь по квазикомплементарной схеме Дарлингтона. Вы­ходное напряжение схемы

 

 

Прецизионный последовательный стабилизатор напряжения.

Параллельный ИОН можно использовать, как схему управления регулирующим транзистором в последовательном стабилизаторе на­пряжения.

Поскольку регулирую­щий транзистор включен по схеме с общим коллектором, проблем с устойчивостью не воз­никает, если только не подключать параллельно выходу конденсатор большой емкости.

В случае же неустойчивости можно попро­бовать включить конденсатор емкостью несколько десятков нанофарад между катодом и выводом управления ИОН. Выходное напряже­ние аналогично предыдущему соотношению.

 

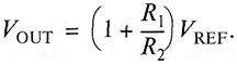
Регулируемый линейный стабилизатор.

Ранее была представлена схе­ма включения нерегулируемого трехвыводного стабилизатора напряжения, обеспечивающая повышение его выходного напряжения. Ис­пользование в этой схеме вместо стабилитрона параллельного трехвыводного ИОН позволяет сделать этот источник регулируемым и повы­сить его качество. Схема такого стабилизатора приведена на рисунке.

Линейный стабилизатор поддерживает раз­ность потенциалов между своими выходным и общим выводами равной его номинальному выходному напряжению (для 142ЕН5А — 5 В). Только в этом случае регулирующий транзистор стабилизатора будет работать в активном режиме. За счет своей внутренней отрицательной обратной связи по выходному напряже­нию ИОН поддерживает напряжение между анодом и управляющим выводом, равным При этом выходное напряжение всей схемы

 

нельзя устанавливать меньше, чем уменьшая сопротивление резистора , поскольку тогда ИОН скачком перейдет в режим насы­щения и обратная связь разомкнётся.

 

Источники стабильного тока.

Наиболее просто строятся источники стабильного тока на основе последо­вательных ИОН. Схема включения не отличается принципиально от подобной на основе ИМС линейного стабилизатора. Схемы источников тока на основе параллельных ИОН несколько сложнее (см. рисунок).

 

На рисунке а и б изображены схемы источников соответственно втекающего и вытекающего то­ков на основе трехвыводных регулируемых ИОН.

В схеме на рисунке а используется ИОН, опорное напряжение которого равно напряжению между анодом и выводом управления (TLV431 и др.). На рисунке б применен ИОН, опорное напряжение которого равно напряжению между выводом управления и катодом (LM385 и др.). Для обеих схем выходной ток равен

Некоторую погрешность вносит конечный коэффициент усиления тока ба­зы транзистора, поэтому желательно, чтобы он был как можно больше.

На рисунках в и г приведены соответственно схемы источников втекающего и вытекающего токов на основе двухвыводных параллельных ИОН и операци­онных усилителей с однополярным питанием. Выходной ток этих схем опреде­ляется по той же формуле.

 

Простое умощнение выхода.

Представим себе ситуацию: выбран ИОН с максимально-допустимым то­ком нагрузки, близким к реальному току, потребляемому нагрузкой. После монтажа оказалось, что ток нагрузки несколько больше, чем предполагалось вначале. Что делать? Предельно простой путь состоит в подключении между выводами входа и выхода резистора , через который и будет проте­кать «лишняя» часть тока нагрузки.

 

 

Поскольку обычно ИОН питается от стаби­лизированного источника питания, через этот резистор может ответвляться до 80% тока нагруз­ки. Однако следует иметь в виду, что при отклю­чении нагрузки, или значительном повышении ее сопротивления выходное напряжение ИОН в этой схеме может превысить номинальное значе­ние или даже увеличиться до входного.

 

Получение отрицательного опорного напряжения.

Номенклатура ИОН, специально предназначенных для получения отрица­тельного (относительно общей точки) опорного напряжения, довольно бедна. В то же время есть немало устройств, например, некоторые типы цифроаналоговых преобразователей, где требуется именно отрицательное опорное напря­жение. Конечно, можно легко получить < 0 с помощью соответствующим образом соединенных резистора и параллельного ИОН, но последовательные ИОН обладают более высокой точностью, особенно если речь идет о = 10 В. Другой путь состоит в изменении знака опорного напряжения с по­мощью инвертирующего повторителя, но это требует применения прецизион­ных резисторов.

Самый простой путь получения отрицательного опорного напряжения с по­мощью источника положительного опорного напряжения иллюстрируется схе­мой на рисунке а.

 

Единственный дополнительный компонент здесь — ре­зистор, соединенный с источником отрицательного питающего напряжения. Эта схема имеет ограничения, обычные для параллельных ИОН, в первую оче­редь ограничение допустимого диапазона тока нагрузки.

Для расширения диапазона токов нагрузки нужно уменьшать сопротивле­ние , а это ведет к увеличению тока через ИОН и к его нагреву.

Схема, показанная на рисунке б, устраняет эти проблемы. Как и в предыду­щем случае, здесь нет надобности в точных резисторах. Дополнительная ошиб­ка при применении прецизионных ОУ незначительна. Конденсатор С способ­ствует уменьшению шума. Понять, как работает схема, легко, если заменить ИОН в цепи обратной связи ОУ источником ЭДС. Поскольку потенциалы вхо­дов ОУ равны между собой, а значит, практически равны нулю, напряжение на выходе ОУ равно — . Поскольку выходной ток ИОН, равный входному току ОУ, близок к нулю, здесь не действует фактор влияния тока нагрузки ИОН на опорное напряжение. Важно, чтобы разность потенциалов между входным и общим зажимами не превышала предельно допустимого для ИОН значения.

 


Поделиться с друзьями:

mylektsii.su - Мои Лекции - 2015-2026 год. (1.304 сек.)Все материалы представленные на сайте исключительно с целью ознакомления читателями и не преследуют коммерческих целей или нарушение авторских прав Пожаловаться на материал