Студопедия

Главная страница Случайная страница

КАТЕГОРИИ:

АвтомобилиАстрономияБиологияГеографияДом и садДругие языкиДругоеИнформатикаИсторияКультураЛитератураЛогикаМатематикаМедицинаМеталлургияМеханикаОбразованиеОхрана трудаПедагогикаПолитикаПравоПсихологияРелигияРиторикаСоциологияСпортСтроительствоТехнологияТуризмФизикаФилософияФинансыХимияЧерчениеЭкологияЭкономикаЭлектроника






Платежный баланс как источник данных для СНС






 

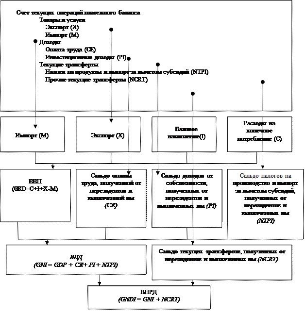
Как упоминалось, все операции, отражающиеся в ПБ, отража­ются и в счете «остального мира» СНС, т.е. ПБ может использо­ваться в качестве источника данных для СНС.

Необходимо отметить, что в стандартной классификации ста­тей платежного баланса отсутствуют такие показатели счета «осталь­ного мира», как налоги на продукты и импорт, а также субсидии, полученные от нерезидентов и выплаченные им. Это объясняется тем, что на практике такие операции встречаются чрезвычайно редко. Если же они все-таки происходят, то в платежном балансе от­ражаются среди других текущих трансфертов. Если в статье «Текущие трансферты» платежного баланса выделить отдельную позицию для учета налогов на продукты и импорт за вычетом субсидий, то между платежным балансом и центральными показателями СНС можно установить четкие соответствия (см. рис. 11.3).

 

 

Рис. 11.3.Связь показателей платежного баланса и СНС

В заключение хотелось бы отметить, что методология ПБ не может остановиться в развитии, поскольку ПБ должен учитывать постоянно изменяющиеся экономические реалии. В настоящее время МВФ планирует очередной пересмотр Руководства по ПБ, новая версия которого ожидается в 2009 г. (более подробная ин­формация находится на сайте МВФ www.imf.org).

 

Контрольные вопросы и задания:

 

1. Что такое «резидентство» в платежном балансе?

2. В чем состоит экономический смысл сальдо по текущим операциям платежного баланса?

3. Назовите разделы платежного баланса.

4. Что такое международная инвестиционная позиция?

5. Какова классификация иностранных инвестиций в платежном балан­се?

6. Какова связь между платежным балансом и СНС?

7. В каких ценах оцениваются показатели экспорта и импорта в платеж­ном балансе?

 


Поделиться с друзьями:

mylektsii.su - Мои Лекции - 2015-2026 год. (0.647 сек.)Все материалы представленные на сайте исключительно с целью ознакомления читателями и не преследуют коммерческих целей или нарушение авторских прав Пожаловаться на материал