Студопедия

Главная страница Случайная страница

КАТЕГОРИИ:

АвтомобилиАстрономияБиологияГеографияДом и садДругие языкиДругоеИнформатикаИсторияКультураЛитератураЛогикаМатематикаМедицинаМеталлургияМеханикаОбразованиеОхрана трудаПедагогикаПолитикаПравоПсихологияРелигияРиторикаСоциологияСпортСтроительствоТехнологияТуризмФизикаФилософияФинансыХимияЧерчениеЭкологияЭкономикаЭлектроника






Плотность распределения вероятностей. Функция распределения вероятностей непрерывной случай­ной величины дает полную вероятностную характеристику ее поведения






 

Функция распределения вероятностей непрерывной случай­ной величины дает полную вероятностную характеристику ее поведения. Однако задание непрерывной случайной величины с помощью функции распределения не является единственным. Ее можно задать с помощью другой функции, которая называется дифференциальной функцией распределения или плот­ностью распределения вероятностей. В некотором смысле эта функция «более удобная», чем интегральная функция F(x). Используя функцию F(x), трудно судить о характере рас­пределения случайной величины в небольшой окрестности той или иной точки числовой оси. Решить эту задачу позволяет плотность распределения вероятностей.

 

Определение. Плотностью распределения вероятностей непрерывной случайной величины называется первая производная интегральной функции распределения F(x).

f(x)= F'(x)

 

График плотности распределения вероятностей f(x) называется кривой распределения. Ниже представлен график плотности нормального распределения.

Пример 2. Непрерывная случайная величина задана функцией распределения вероятностей

Найти функцию плотности распределения вероятности.

 

Решение: Плотность распределения вероятностей f(x) непрерывной случайной величины вычисляется по формуле: f(x) = F’(x). Тогда (3x)’=3, (1)’ = 0 и

 

Пример 3. Непрерывная случайная величина задана функцией распределения вероятностей

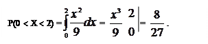
Чему равна вероятность ?

 

Решение:

Воспользуемся формулой: Р(х1 < Х < х2) = = F(x2) – F(x1). Тогда

 
 

 

 



Поделиться с друзьями:

mylektsii.su - Мои Лекции - 2015-2026 год. (1.265 сек.)Все материалы представленные на сайте исключительно с целью ознакомления читателями и не преследуют коммерческих целей или нарушение авторских прав Пожаловаться на материал