Студопедия

Главная страница Случайная страница

КАТЕГОРИИ:

АвтомобилиАстрономияБиологияГеографияДом и садДругие языкиДругоеИнформатикаИсторияКультураЛитератураЛогикаМатематикаМедицинаМеталлургияМеханикаОбразованиеОхрана трудаПедагогикаПолитикаПравоПсихологияРелигияРиторикаСоциологияСпортСтроительствоТехнологияТуризмФизикаФилософияФинансыХимияЧерчениеЭкологияЭкономикаЭлектроника






Метод Рунге–Кутта






Метод Рунге-Кутта є одним з методів підвищеної точності, але має багато загального з методом Ейлера.

Обчислення по методу Рунге-Кутта зручно розташовувати за алгоритмом,

1.Значення х0 и у0 підставляють у праву частину диференціального рівняння (9.21), визначають .

2.Отримане значення множать на крок інтегрування h, обчислюють

.

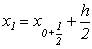
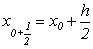
3. Змінюють значення х0

4. визначають допоміжне значення

5. визначення похідної в точці (, )

6. визначають значення k2

7. визначають нове допоміжне значення

8. визначення похідної в точці (, )

9. визначають значення k3

10. визначають нове значення допоміжного у

11. змінюють значення

12. визначають допоміжну похідну в точці ()

13. визначають значення k4

14. визначають нове значення у1 за формулою

Для визначення повторюють ітераційний процес, починаючи з першого кроку.


Поделиться с друзьями:

mylektsii.su - Мои Лекции - 2015-2026 год. (4.076 сек.)Все материалы представленные на сайте исключительно с целью ознакомления читателями и не преследуют коммерческих целей или нарушение авторских прав Пожаловаться на материал