Студопедия

Главная страница Случайная страница

КАТЕГОРИИ:

АвтомобилиАстрономияБиологияГеографияДом и садДругие языкиДругоеИнформатикаИсторияКультураЛитератураЛогикаМатематикаМедицинаМеталлургияМеханикаОбразованиеОхрана трудаПедагогикаПолитикаПравоПсихологияРелигияРиторикаСоциологияСпортСтроительствоТехнологияТуризмФизикаФилософияФинансыХимияЧерчениеЭкологияЭкономикаЭлектроника






Выбор и расчет комбинированных посадок






Сопряжение d24 =40 мм [2], с. 28, п. 2.1

Комбинированной посадкой называется такая, в которой поля допусков вала и отверстия заданы в различных системах. Это чаще вызвано тем, что на одной из сопрягаемых поверхностей требуется обеспечить различный характер соединения одновременно нескольких деталей

Рассмотрим сопряжение вала промежуточного 74 с зубчатой полумуфтой 50, вала со ступицей червячного колеса 82, вала и втулки 79.

 

 

Рисунок 3.1..-Схема сопрягаемых деталей d24=40мм: сопряжение вала промежуточного 74 с зубчатой полумуфтой 50, вала со ступицей червячного колеса 82, вала и втулки 79.

3.1. Выбираем посадку методом аналогов для соединения вала74 с зубчатой полумуфтой 50.Для аналогичных соединений примем посадки [1]ч.1, с 326.

Принимаем посадку 40 , как предпочтительную в системе отвер

 

 

стия[1]ч.1, с.325

 

Рисунок 3.2- Схема расположения полей допусков посадки

Изм.
Лист
№ докум.
Подпись
Дата
Лист
 
КР НТиТИ 2906 000 05 ПЗ  
3.2. Выбираем посадку методом аналогов для соединения вала со ступицей червячного колеса 82.

Принимаем посадку 40 , как предпочтительную в системе отверстия[1]ч.1, с.325

 

Рисунок 3.3- Схема расположения полей допусков посадки

 

3.3. Выбираем посадку методом аналогов для соединения вала и втулки 79

Принимаем посадку 40 , как предпочтительную в системе

Изм.
Лист
№ докум.
Подпись
Дата
Лист
 
КР НТиТИ 2906 000 05 ПЗ  
отверстия[1]ч.1, с.84, с.79

 

Рисунок 3.4- Схема расположения полей допусков посадки

 

В связи с тем, что вал не целесообразно обрабатывать с различными допусками, выбираем наиболее ответственное соединение- ступицу червячного колеса 82, а характер сопряжения сохранить по средним значениям Sc и Nc

Определим средний зазор для этой посадки, взяв предельные отклонения для посадки [1]ч.1, табл. 1.27, 1.28 с.84, с.79

40

Номинальный размер dн=Dн=40мм.

Верхнее предельное отклонение ES=+0, 030 мм.

Нижнее предельное отклонение EI=0.

Верхнее предельное отклонениеes=-0, 025мм.

Нижнее предельное отклонение ei=-0, 064 мм.

Наибольший зазор Smax=ES-ei=0, 030+0, 064=0, 094мм (3.1)

Наименьший зазор Smin=EI-es=0+0, 025=0, 025 мм. (3.2)

 

Средний зазор Sc= мм (3.3)

Назначаем постоянное поле допуска для вала ø 40k6, с отклонениями

Верхнее предельное отклонение es=0, 018мм.

Нижнее предельное отклонение ei=0, 002 мм. [1] табл. 1.29 с.91.

Определяем среднее предельное отклонение [1] с.19. формула 1.20

Изм.
Лист
№ докум.
Подпись
Дата
Лист
 
КР НТиТИ 2906 000 05 ПЗ  

 

; (3.4)

мм.

Определяем среднее предельное отклонение для отверстия [1] с.22. формула 1.30а.

Ес=Sс+eс. (3.5)

Ес=0, 0595+0, 01=0, 0695 мм.

По найденному среднему предельному отклонению из таблицы стандартов [1]табл. 1, 36 с. 118 выбираем поле допуска отверстия с близким значением среднего предельного отклонения.

Принимаем поле допуска отверстия Е8 со средним предельным отклонением

Верхнее предельное отклонение ES=+0, 089мм.

Нижнее предельное отклонение EI=+0, 050мм.

Среднее предельное отклонение Ec=0, 0695 мм.

Рассчитываем полученную комбинированную посадку:

 

Наибольший предельный размер Dmax=Dн+ES=40+0, 089=40, 089 мм. (3.6)

Наименьший предельный размер Dmin=Dн+EI=40+0, 050=40, 050 мм. (3.7)

Наибольший предельный размерdmax=dн+es=40+0, 018=40, 018 мм. (3.8)

Наименьший предельный размер dmin=dн+ei=40+0, 002=40, 002 мм. (3.9)

Наибольший зазор Smax=ES-ei=0, 089-0, 002=0, 032мм.

Наименьший зазор Smin=EI-es=0, 050-0, 018=0, 032 мм.

 

Средний зазор S c= мм.

 

 

 

 

Рисунок 6.3 - Схема расположения полей допусков посадки

 

Изм.
Лист
№ докум.
Подпись
Дата
Лист
 
КР НТиТИ 2906 000 05 ПЗ  

 

 


Изм.
Лист
№ докум.
Подпись
Дата
Лист
1
КР НТиТИ 2906 000 05 ПЗ  
Разраб.
Шахрай
Провер.
Дулевич А.Ф.  
Реценз.
 
Н. Контр.
 
Утверд.
Дулевич А.Ф.    
Расчёт посадок с натягом
Лит.
Листов
5
БГТУ ДМтПТУ  
24

4. Расчёт посадки с натягом

Посадки с натягом предназначены для неподвижных неразъемных соединений деталей без дополнительного крепления винтами, гайками, шпонками, штифтами и т.д. Относительная неподвижность деталей при этом достигается за счет напряжений, возникающих в материале сопрягаемых деталей вследствие действия деформаций их контактных поверхностей.

Сопряжение d26=95 мм

Сопряжение зубчатой полумуфты 49 со ступицей червячного колеса 49. [2], стр. 28, п. 2.1

Исходные данные:

мм – номинальный диаметр сопряжения;

Т=180 Нм – вращающий момент[2], с. 28, п. 2.1

В качестве материала для обоих деталей берем Сталь 45.

Коэффициент трения по стали f=0, 13[1]ч.1, с. 334, табл. 1.104

Модуль упругости ступицы и муфты ED=Ed=2*1011

Коэффициенты Пуассона для ступицы и муфты соответственно:

[1]ч.1, с. 334, с.335, табл. 1.106

Предел текучести для стали Па

Шероховатость для ступицы и муфты соответственно RaD=1, 6 мм, Rad=0.8 мм [1]ч.1, с. 562, табл. 2.68

Известно примерное соотношение Rz=5Ra, получаем RzD= 8 мкм, Rzd=4 мкм

Наружный диаметр ступицы

dст = (1.6÷ 1.8)·dнс (4.1)

lст = (1.4÷ 1.6)·dнс (4.2)

 

 

dст =

Изм.
Лист
№ докум.
Подпись
Дата
Лист
 
КР НТиТИ 2906 000 05 ПЗ   КР НТиТИ ПЗ  
1.7*95=161, 5 мм

lст =1.5*95=142.5 мм

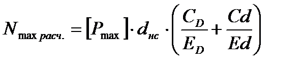
Находим величину минимального удельного давления, возникшее на контактируемых поверхностях и необходимых для передачи заданного крутящего момента [1], 1ч, с.361, формула 1.109:

(4.3)

Рmin- минимальное удельное давление Н/М2;

l= lст- длина сопряжения

кН. (4.4)

Н/м2.

 

Рассчитываем величину минимального натяга, обеспечивающего неподвижность соединения [4, c.12]:

; (4.5)

 

СD, Cd- коэффициенты Лямэ, соответственно для втулки и вала. Данные коэффициенты вычисляются по следующим формулам [4, c.12]:

 

; (4.6)

; (4.7)

 

d2 = dст =161, 5 мм; d1 =0(т.к ступица сплошная);

 

;

 

;

 

Изм.
Лист
№ докум.
Подпись
Дата
Лист
 
КР НТиТИ 2906 000 05 ПЗ   КР НТиТИ ПЗ  
м;

Определяем наименьший допустимый натяг с учетом уменьшения действительного натяга за счет смятия неровностей при запрессовке [4, c.13]:

 

[ Nmin ] = Nmin расч +1.2· (RzD + Rzd) (4.8)

мкм.

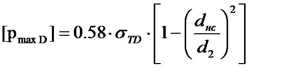
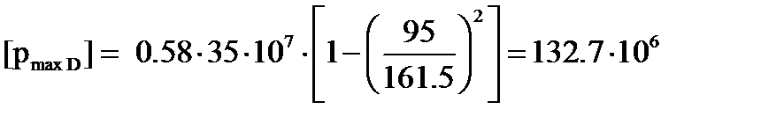
Рассчитаем максимально допустимое удельное давление [ pmax ], при котором отсутствует пластическая деформация на контактных поверхностях деталей, МПа. По формулам [4, c.13]:

 

для вала:

; (4.9)

 

для втулки:

; (4.10)

 

где σ Td и σ TD – пределы текучести материала вала и втулки, указаны ранее.

Па;

Па.

В качестве [ pmax ] принимаем наименьшее из двух значений,

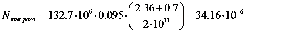
[ pmax ] =132.7 МПа

 

Находим величину наибольшего расчетного натяга [4, c.13]:

 

; (4.11)

м;

 

Вычисляем наибольший допустимый натяг с учётом среза и смятия неровностей [4, c.13]:

[ Nmax ] = Nmax расч +1, 2· (RzD + Rzd); (4.12)

 

[ Nmax ] = 34.16+1, 2· (8 + 4) =48.56 мкм.

 

 

Из [1], ч.1, с.79, 94 таблицы 1.27 и 1.30 выбираем посадку, удовлетворяющую следующим условиям [4, c.13]:

 

NmaxТ [ Nmax ]; (4.13)

 

NminТ [ Nmin ]; (4.14)

 

Принимаем посадку , для которой:

Nmax = 33 мкм;

Nmin =23 мкм.

 

 

Рисунок

Изм.
Лист
№ докум.
Подпись
Дата
Лист
 
КР НТиТИ 2906 000 05 ПЗ   КР НТиТИ ПЗ  
4.2 Схема полей допусков

 

 

Изм.
Лист
№ докум.
Подпись
Дата
Лист
 
КР КР НТиТИ 2906 000 05 ПЗ     КР НТиТИ ПЗ  
28

 

 

Рисунок 4.3 Детали сопряжения

 

 

Шероховатости взяты из [2], c.358, рисунок 22.20, отклонения из [2], c.374, рисунок 22.34, такие параметры шероховатости выбраны, так как соединение неподвижное и более точная поверхность ни к чему.

 

 

Изм.
Лист
№ докум.
Подпись
Дата
Лист
 
КР НТиТИ 2906 000 05 ПЗ ПЗ  
Разраб.
Шахрай П.А.  
Провер.
Дулевич А.Ф.  
Реценз.
 
Н. Контр.
 
Утверд.
Дулевич А.Ф.    
Выбор и расчет переходных посадок
Лит.
Листов
 
БГТУ ДМтПТУ  
5.Выбор и расчёт переходных посадок

Сопряжение d14=52мм. [2], с.28, П 2.1

Переходные посадки, как правило, используют в неподвижных разъёмных соединениях для центрирования сменных деталей. Выбор переходных посадок зависит от необходимой точности центрирования и легкости сборки и разборки соединения и чаще всего производится по аналогии с известными соединениями.

Легкость сборки и разборки соединений с переходными посадками определяется величиной вероятности получения в них зазоров и натягов.

При расчете вероятности натягов и зазоров обычно исходят из нормального распределения натягов размеров деталей при изготовлении. Распределение натягов и зазоров в этом случае также будет подчиняться нормальному закону, а вероятности их получения определяется с помощью интегральной функции.

Проведем расчет переходной посадки для сопряжения промежуточного вала 18 и зубчатого колеса 15. Для данного соединения выбираем посадку типа [1] ч.1, с.79, с 91:

52

1)Выбираем посадку и определяем предельные отклонения, допуски размеров сопрягаемых поверхностей и значения среднего натяга(зазора):

Размерные параметры отверстия [1] ч.1, с 79:

52 H 7 .

Номинальный размер D n=52мм.

Верхнее предельное отклонение ES =+0.03 мм.

Нижнее предельное отклонение EI = 0мм.

Среднее предельное отклонение E m= = мм. (5.1)

Наибольший предельный размер D max= D n+ ES =52+0.03=52.03 мм. (5.2)

Наименьший предельный размер D min= D n+ EI =52+0=52мм. (5.3)

 

 

 

Средний предельный размер D m= мм. (5.4)

TD = D maxD min= ESEI =52, 03– 52=0.03мм

Размерные параметры вала[1] ч.1, с.91:

52n 6 .

 

 

Номинальный размер d n=52мм.

Верхнее предельное отклонение es =+0.039мм.

 

Изм.
Лист
№ докум.
Подпись
Дата
Лист
 
КР НТиТИ 2906 000 05 ПЗ    
Нижнее предельное отклонение ei =+0.02мм.

Среднее предельное отклонение e m= = мм. (5.5)

Наибольший предельный размер d max= d n+ es =52+0.039=52.039 мм (5.6)

Наименьший предельный размер d min= d n+ ei =52+0.02=52.02 мм. (5.7)

Средний предельный размер: d m= мм. (5.8)

Допуск размера Td = d maxd min= esei =0.039-0.02=0.019 мм. (5.9)

Характеристики сопряжения:

Наименьший зазор S min= EIes =0–0.039=-0.039мм. (5.10)

Наибольший зазор S max= ESei =0.03-0.02=+0.01мм. (5.11)

Средний зазор S m= мм. (5.12)

Допуск зазора TS = S maxS min=0.01-(-0, 039)=0.49мм. (5.14)

Наименьший натяг N min= eiES =0.02 − 0.03= 0.01мм. (5.15)

Наибольший натяг N max= esEI = 0.039− 0=0.039мм. (5.16)

Средний натяг N m= мм. (5.16)

 

Допуск натяга TN = N maxN min= 0, 039–0, 01= 0.029мм. (5.17)

 

 

Изм.
Лист
№ докум.
Подпись
Дата
Лист
 
КР НТиТИ 2906 000 05 ПЗ    
31

 

2)Определяем среднеквадратичное отклонение натяга:

мм (5.18)

3)Рассчитываем предел интегрирования, равный:

(5.19)

 

4)Из таблицы 1.1[ч.1, с. 12] по найденному значению z определяем функцию Ф(z).

Ф(z)=0.4999997

5)Рассчитываем вероятность получения натягов(или процент натягов) и вероятность получения зазоров(процент получения зазоров)

, при z> 0 (5.20)

, при z< 0 (5.21)

6)Определяем максимально вероятные натяг и зазор

мм (5.22)

мм (5.23)

 

 

 

Изм.
Лист
№ докум.
Подпись
Дата
Лист
 
КР НТиТИ 2906 000 05 ПЗ    

 


Рисунок 5.1 Схема вероятности получения зазоров и натягов

 

Рисунок 5.2 Схема взаимного расположения полей допусков

 

 

Изм.
Лист
№ докум.
Подпись
Дата
Лист
 
КР НТиТИ 2906 000 05 ПЗ    
33

 

 

Рисунок 5.3. Детали сопряжения

 

Изм.
Лист
№ докум.
Подпись
Дата
Лист
 
КР НТиТИ 2906 000 05 ПЗ  
Разраб.
Шахрай
Провер.
Дулевич  
Реценз.
 
Н. Контр.
 
Утверд.
Дулевич    
Расчет и выбор посадок колец подшипников качения  
Лит.
Листов
 
БГТУ ДМтПТУ  
6. РАСЧЕТ И ВЫБОР ПОСАДОК КОЛЕЦ ПОДШИПНИКОВ КАЧЕНИЯ


Поделиться с друзьями:

mylektsii.su - Мои Лекции - 2015-2026 год. (2.036 сек.)Все материалы представленные на сайте исключительно с целью ознакомления читателями и не преследуют коммерческих целей или нарушение авторских прав Пожаловаться на материал