Студопедия

Главная страница Случайная страница

КАТЕГОРИИ:

АвтомобилиАстрономияБиологияГеографияДом и садДругие языкиДругоеИнформатикаИсторияКультураЛитератураЛогикаМатематикаМедицинаМеталлургияМеханикаОбразованиеОхрана трудаПедагогикаПолитикаПравоПсихологияРелигияРиторикаСоциологияСпортСтроительствоТехнологияТуризмФизикаФилософияФинансыХимияЧерчениеЭкологияЭкономикаЭлектроника






Проверочный расчет вала на усталостную прочность






а) Расчетный запас выносливости по нормальным напряжениям изгиба:

,

где предел выносливости вала при изгибе для симметричного цикла, МПа,

т.к. материал для изготовления был выбран Ст45, НВ = 250;

коэффициент снижения предела выносливости для вала с напрессованными деталями (табл.8.20; [2]); );

нормальное напряжение в опасном сечении, МПа:

коэффициент чувствительности материала вала к асимметрии цикла напряжений;

среднее напряжение цикла, .

;

 

 

б) Расчетный запас выносливости по касательным напряжениям:

,

где предел выносливости вала при кручении для симметричного цикла,

;

коэффициент снижения предела выносливости для вала с напрессованными деталями (табл.8.20; [2]);

коэффициент чувствительности материала вала к асимметрии цикла напряжений;

касательное напряжение в опасном сечении, МПа;

среднее напряжение цикла;

;

;

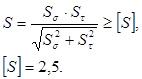
в) Общий расчетный запас выносливости:

усталостная прочность вала обеспечивала.


Поделиться с друзьями:

mylektsii.su - Мои Лекции - 2015-2026 год. (0.732 сек.)Все материалы представленные на сайте исключительно с целью ознакомления читателями и не преследуют коммерческих целей или нарушение авторских прав Пожаловаться на материал