Студопедия

Главная страница Случайная страница

КАТЕГОРИИ:

АвтомобилиАстрономияБиологияГеографияДом и садДругие языкиДругоеИнформатикаИсторияКультураЛитератураЛогикаМатематикаМедицинаМеталлургияМеханикаОбразованиеОхрана трудаПедагогикаПолитикаПравоПсихологияРелигияРиторикаСоциологияСпортСтроительствоТехнологияТуризмФизикаФилософияФинансыХимияЧерчениеЭкологияЭкономикаЭлектроника






Для ведомого вала






 

Частота вращения вала n2 = 490об/мин, требуемый ресурс подшипников L =11000 ч. По ГОСТ 8328-75 принят роликовый радиальный подшипник с короткими цилиндрическими роликами лёгкой серии типа: 2217; d1п = 85мм; D = 150мм; B = 28мм; r1п = 3 мм; Cr = 119 кН, C0r = 78кН.

а) Эквивалентная динамическая нагрузка:

,

где коэффициент радиальной нагрузки, X=1;

кинематический коэффициент подшипника качения, (вращается внутреннее кольцо);

коэффициент безопасности, учитывающий характер действующей нагрузки,

(для зубчатых передач с 8-9 точностью изготовления);

температурный коэффициент, ;

радиальная нагрузка, Н;

расчет подшипников делается для точки А т.к. в этой точке большая радиальная нагрузка.

.

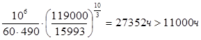
б) Базовый расчётный ресурс работы подшипника:

,

где m-показатель кривой выносливости, (для роликов);

-базовая динамическая грузоподъемность подшипника, ;

=

Характеристики принятых подшипников:

 

Вал Обозначения подшипника Размеры d× D× B Базовая динамическая грузоподъемность, (кН)
Быстроходный   75× 130× 25  
Тихоходный   85× 150× 28  

 

 



Поделиться с друзьями:

mylektsii.su - Мои Лекции - 2015-2026 год. (5.154 сек.)Все материалы представленные на сайте исключительно с целью ознакомления читателями и не преследуют коммерческих целей или нарушение авторских прав Пожаловаться на материал