Студопедия

Главная страница Случайная страница

КАТЕГОРИИ:

АвтомобилиАстрономияБиологияГеографияДом и садДругие языкиДругоеИнформатикаИсторияКультураЛитератураЛогикаМатематикаМедицинаМеталлургияМеханикаОбразованиеОхрана трудаПедагогикаПолитикаПравоПсихологияРелигияРиторикаСоциологияСпортСтроительствоТехнологияТуризмФизикаФилософияФинансыХимияЧерчениеЭкологияЭкономикаЭлектроника






Средняя хронологическая






Средняя величина есть обобщающая количественная характеристика однородных явлений по какому-либо варьирующему признаку.

Применение средних величин позволяет охарактеризовать определенный признак совокупности одним числом, несмотря на количественные различия единиц по данному признаку внутри совокупности.

Следовательно, средняя величина есть обобщающая характеристика совокупности; средняя величина выражает типичное свойство совокупности; средняя величина — величина абстрактная, а не конкретная, так как в ней сглаживаются отдельные значения единиц совокупности, имеющие отклонения в ту и другую сторону; реальность средней величины достигается, если она вычисляется из одной совокупности.

Пользуясь средними величинами при анализе массовых явлений, необходимо всегда помнить, что часто в средней величине скрываются отстающие хозяйствующие субъекты, которые имеют низкие показатели своей деятельности и, наоборот, не выявляются фирмы, компании, предприятия и т. д., которые работают весьма эффективно. Это возможно, как уже говорилось выше, в связи со свойством средней, в которой отклонения отдельных значений признака от ее величины взаимно погашаются. (Так, например, при условии выполнения плана розничного товарообо­рота в целом по холдингу, занимающемуся продажей товаров, часть фирм, входящих в него, не выполнила план и, наоборот, другая часть перевыполнила план товарооборота.) Поэтому, кроме средней, следует использовать и отдельные индивидуальные показатели работы фирм, входящих в холдинг.

В эк. практике исп.-ся широкий круг показателей, вычисленных в виде средних величин.

Напр, обобщающим показателем доходов рабочих АО служит средний доход одного рабочего, определяемый отношением фонда з/п и выплат социального характера за рассматриваемый период (год, квартал, месяц) к численности рабочих АО.

Вычисление среднего –один из распространенных приемов обобщения; средний показатель отражает то общее, что характерно (типично) для всех единиц изучаемой совокуп­ности, в то же время он игнорирует различия отдельных еди­ниц. В каждом явлении и его развитии имеет место сочетание случайности и необходимости. При исчислении средних в силу действия закона больших чисел случайности взаимопогашаются, уравновешиваются, поэтому можно абстрагироваться от несущественных особенностей явления, от колич. значений признака в каждом конкретном случае. В способно­сти абстрагироваться от случайности отдельных значений, ко­лебаний и заключена научная ценность средних как обобщаю­щих характеристик совокупностей.

Там, где возникает потребность обобщения, расчет таких характеристик приводит к замене множества различных инд. значений признака средним показателем, характери­зующим всю совокупность явлений, что позволяет выявить закономерности, присущие массовым общ. явлениям, незаметные в единичных явлениях.

Средняя отражает характерный, типичный, реальный уровень изучаемых явлений, характеризует эти уровни и их изменения во времени и в пространстве; это сводная характеристика закономерностей процесса в тех условиях, в к-рых он протекает.

Выбор вида средней определяется эк. содер­жанием определенного показателя и исходных данных.

1)- Класс степенных средних - арифметическая, гармоническая, геометрическая, квадратическая, кубическая и т.д. Помимо степенных средних в с/практике используются

2) Структурные средние - применяются для изучения внутреннего строения и структуры рядов распределения значений признака. К таким показателям относятся мода и медиана..

Средняя хронологическая

Средняя хронологическая — это средний уровень ряда динамики, т. е. средняя, исчисленная по совокупности значений показателя в разные моменты или периоды времени. В зависимости от вида ряда динамики применяются различные способы ее расчета, а именно расчет средней хронологической интервального ряда и средней хронологической моментного ряда.

 
 

Средней хронологической интервального ряда является средняя величина из уровней интервального ряда динамики, которая исчисляется по формуле

где — средний уровень ряда;

у — уровень ряда динамики;

n — число членов ряда.

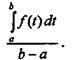
Средней хронологической моментного ряда является средняя величина из уровней моментного ряда динамики. Если f(t) есть функция, выражающая изменение моментного показателя во времени, то за время (t) от а до b средняя хронологическая моментyого ряда равна:

Однако данных непрерывного наблюдения значения f(t) в распоряжении статистики, как правило, нет. Поэтому в зависимости от характера изменения показателя и имеющихся данных применяются различные методы расчета. При равных промежутках времени между датами, на которые имеются данные, и равномерном изменении размера показателя между датами средняя хронологическая мо­ментного ряда обычно исчисляется по формуле:

где у — уровень ряда; n — число всех членов ряда; — средний уровень.

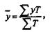
Если периоды времени, отделяющие одну дату от другой, не равны между собой, то расчет средней хронологической моментного ряда производится по формуле средней взвешенной арифметической, в качестве весов которой принимаются отрезки времени между датами, т. е. по формуле:

 
 

где Т— время, в течение которого данный уровень ряда ) оставался без изменения.

Известно, например, что в январе 2007 года произошло следующее изменение численности сотрудников компании " Бест": было на 1 января 551 чел., уволился 2 января один сотрудник, было принято 6 января 24 человека, 16 января— 6 человек, уволилось 25 января— 10 сотрудников. Требуется определить среднюю численность сотрудников компании " Бест" в январе 2007 г. Рассчитаем число календарных дней, в течение которых численность сотрудников компании " Бест" оставалась без изменения, и произведение этих чисел.

Таблица 5

Данные для расчета средней численности сотрудников компании " Бест"

Численность сотрудников компании «Бест», чел .(y) Число календарных дней, в течение которых данная численность сотрудников оставалась безизменения (T) Произведение численности сотрудников на число календарных дней(yT)
     
     
     
     
     
ИТОГО    

Используя данные произведенных расчетов, получим:

 
 

В отличие от первого способа расчета средней хронологиче­ской моментного ряда второй способ дает точное значение средней.


Поделиться с друзьями:

mylektsii.su - Мои Лекции - 2015-2026 год. (2.933 сек.)Все материалы представленные на сайте исключительно с целью ознакомления читателями и не преследуют коммерческих целей или нарушение авторских прав Пожаловаться на материал