Студопедия

Главная страница Случайная страница

КАТЕГОРИИ:

АвтомобилиАстрономияБиологияГеографияДом и садДругие языкиДругоеИнформатикаИсторияКультураЛитератураЛогикаМатематикаМедицинаМеталлургияМеханикаОбразованиеОхрана трудаПедагогикаПолитикаПравоПсихологияРелигияРиторикаСоциологияСпортСтроительствоТехнологияТуризмФизикаФилософияФинансыХимияЧерчениеЭкологияЭкономикаЭлектроника






Расчет медианы интервального ряда.






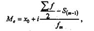
Если варианты в ряду распределения заданы в виде интервалов, то первоначально находят медианный интервал, который содержит единицу, находящуюся в середине ранжированного ряда. Для определения этого интервала сумму частот делят пополам и на основе последовательного суммирования частот первого, второго, третьего и т. д. интервалов находят интервал, где расположена медиана. Приближенное значение Ме в медианном интервале исчисляется по формуле:

где хо — нижняя граница медианного интервала;

i — величина медианного интервала;

— сумма частот интервального ряда;

S(m-1) — сумма накопленных частот в интервалах предшествующих медианному;

fт — частота медианного интервала.

 

Из этой формулы следует, что к нижней границе медианного интервала (хо) добавляется та часть медианного интервала, которая пропорциональна удельному весу в частоте медианного интервала части ее, расположенной от нижней границы интервала до Ме.

Пример. В интервальном ряду (табл. 9) даны группы семей по среднемесячному доходу на 1 человека. Требуется определить для этого ряда серединное значение, т. е. медиану. Таблица.9


Поделиться с друзьями:

mylektsii.su - Мои Лекции - 2015-2026 год. (3.464 сек.)Все материалы представленные на сайте исключительно с целью ознакомления читателями и не преследуют коммерческих целей или нарушение авторских прав Пожаловаться на материал