Студопедия

Главная страница Случайная страница

КАТЕГОРИИ:

АвтомобилиАстрономияБиологияГеографияДом и садДругие языкиДругоеИнформатикаИсторияКультураЛитератураЛогикаМатематикаМедицинаМеталлургияМеханикаОбразованиеОхрана трудаПедагогикаПолитикаПравоПсихологияРелигияРиторикаСоциологияСпортСтроительствоТехнологияТуризмФизикаФилософияФинансыХимияЧерчениеЭкологияЭкономикаЭлектроника






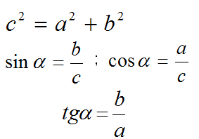
Тригонометрия






ВВЕДЕНИЕ

 

Шпарга́ лка (жарг.шпо́ ра) — носитель информации, используемый наэкзаменах, тестах, контрольных работахи других проверках знаний с целью подсмотреть или списать то, что испытуемый должен был запомнить.

Происхождение слова шпаргалка связано со школьным жаргоном, шпаргалы во множественном числе: «ненужные вещи, старье, барахло». В словареМ. Фасмерауказывается его родство с шутливым украинским словом шпаргал — «старая, исписанная бумажка».Польское слово – szparga«старая исписанная бумажка» (известно сXVII в.), возможно, от латинского слова sparganum «пелёнка», которое происходит из греч. σ π ά ρ γ α ν ο ν (sparganon), обозначающего то же самое. Возможно, что слово " шпаргалка" имеет немецкие корни: по-немецки глагол " sparen" (шпарэн) означает – экономить.

Использование шпаргалок запрещено официально. При обнаружении учащийся, как правило, выгоняется с экзамена с неудовлетворительной оценкой.Строгость наказания различается в разных учебных учреждениях и часто зависит от традиций страны и лояльности экзаменатора. Ада Баскина в своей книге сообщала следующую информацию: в солидном чикагском университете случилось ЧП. Были отчислены сразу пятеро студентов — за пользование шпаргалками на письменном экзамене. Двое за то, что их написали, трое — за то, что ими пользовались. Все пятеро — иммигранты из России. В приказе ректора это преступление квалифицировалось как «недопустимый обман, жульничество, несовместимое с моралью университета». Сами же бедолаги-студенты объясняли свое поведение «особым менталитетом русских».

Это лирическое вступление приведено для того, что бы проиллюстрировать необходимость написания данного методического указания для студентов выполняющих задания по сопротивлению материалов на первом году изучения дисциплины. Оно предназначено для использования на экзаменах, тестах, контрольных работахи других проверках знаний, а также для выполнения расчетно-графических работ.

Предложенным материалом можно пользоваться только после изучения теоретического курса «сопротивления материалов», поскольку изложен в виде справочной информации.

 

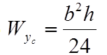
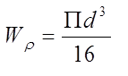
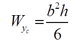
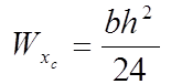
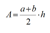
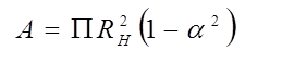
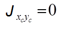
Геометрические характеристики плоских сечений (таблица 1)

Таблица 1

Прямоугольник Треугольник

Продолжение таблицы 1

Круг Кольцо

 


 

Окончание таблицы 1

Прямоугольный треугольник Полукруг

 

 

Тригонометрия

a

 

 


 

 

ЖЗ (Железная заделка)
ШНО (Шарнирно неподвижная опора)  
ШПО (Шарнирно подвижная опора)
3. Типы опор (рисунок 3.1)

Рисунок 3.1 – Типы опор


Поделиться с друзьями:

mylektsii.su - Мои Лекции - 2015-2026 год. (1.231 сек.)Все материалы представленные на сайте исключительно с целью ознакомления читателями и не преследуют коммерческих целей или нарушение авторских прав Пожаловаться на материал