Студопедия

Главная страница Случайная страница

КАТЕГОРИИ:

АвтомобилиАстрономияБиологияГеографияДом и садДругие языкиДругоеИнформатикаИсторияКультураЛитератураЛогикаМатематикаМедицинаМеталлургияМеханикаОбразованиеОхрана трудаПедагогикаПолитикаПравоПсихологияРелигияРиторикаСоциологияСпортСтроительствоТехнологияТуризмФизикаФилософияФинансыХимияЧерчениеЭкологияЭкономикаЭлектроника






Статистическая неопределимость






(каноническое уравнение)

(перемещение по направлению первой неизвестной от действия первой неизвестной)

(перемещение по направлению первой неизвестной от действия внешней нагрузки)

(эпюра М в основной системе от действия единичной нагрузки), где лишняя неизвестная.

(эпюра М в основной системе от действия внешней нагрузки), где р – внешняя нагрузка.

, где п – количество лишних неизвестных.

Перемещения


·
·

 

(Рисунок 6.1)


Правила перемножения эпюр

Правило Верещагина. Правило Верещагина удобно при перемножении линейных эпюр, и когда известно положение центра тяжести хотя бы одной из эпюр.

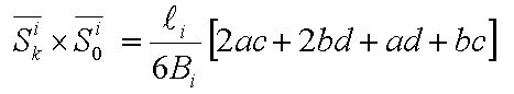
Правило трапеции. Правило трапеции используется только для перемножения линейных эпюр.

Вi - жесткость стержня.

Правило универсальное (формула Симпсона).

где, ;
8. Сложное сопротивление

 


Поделиться с друзьями:

mylektsii.su - Мои Лекции - 2015-2026 год. (0.298 сек.)Все материалы представленные на сайте исключительно с целью ознакомления читателями и не преследуют коммерческих целей или нарушение авторских прав Пожаловаться на материал