Студопедия

Главная страница Случайная страница

КАТЕГОРИИ:

АвтомобилиАстрономияБиологияГеографияДом и садДругие языкиДругоеИнформатикаИсторияКультураЛитератураЛогикаМатематикаМедицинаМеталлургияМеханикаОбразованиеОхрана трудаПедагогикаПолитикаПравоПсихологияРелигияРиторикаСоциологияСпортСтроительствоТехнологияТуризмФизикаФилософияФинансыХимияЧерчениеЭкологияЭкономикаЭлектроника






Расчет параметров истечения газового потока






 

Исходными данными для проведения расчета основных параметров камеры ЖРД являются результаты термодинамического расчета параметров продуктов сгорания в камере и на выходе из сопла.

Определение теоретических параметров камеры.

Теоретические параметры камеры определяются в предположении ее избаричности, изоэнтропичности процесса расширения продуктов сгорания в сопле и равновесности процесса в камере двигателя.

Плотность продуктов сгорания в выходном сечении сопла:

 


Средний показатель равновесного расширения продуктов сгорания:

 

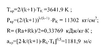
Параметры продуктов сгорания в критическом сечении сопла:

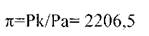
Степень понижения давления газа в цикле

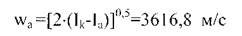
Скорость истечения продуктов сгорания на выходе из сопла:

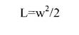
Проверка определения скорости истечения продуктов сгорания на выходе из сопла. Теоретическая работа 1 кг рабочего тела соответствуют, при принятых допущениях, скорости истечения продуктов сгорания:

Теоретическая работа 1 кг рабочего тела

Определяем теоретическую скорость истечения газа из сопла:

Погрешность в определении скорости истечения:

соответствует допустимой погрешности, и поэтому принимаем значение теоретической скорости истечения равной

Коэффициент скорости потока на срезе сопла

Значение газодинамической функции расхода:

Значение газодинамической функции полного импульса потока:

Удельный импульс тяги на расчетном режиме (Ра=Рн)

Секундный расход топлива через камеру сгорания:


Поделиться с друзьями:

mylektsii.su - Мои Лекции - 2015-2026 год. (4.545 сек.)Все материалы представленные на сайте исключительно с целью ознакомления читателями и не преследуют коммерческих целей или нарушение авторских прав Пожаловаться на материал