Студопедия

Главная страница Случайная страница

КАТЕГОРИИ:

АвтомобилиАстрономияБиологияГеографияДом и садДругие языкиДругоеИнформатикаИсторияКультураЛитератураЛогикаМатематикаМедицинаМеталлургияМеханикаОбразованиеОхрана трудаПедагогикаПолитикаПравоПсихологияРелигияРиторикаСоциологияСпортСтроительствоТехнологияТуризмФизикаФилософияФинансыХимияЧерчениеЭкологияЭкономикаЭлектроника






Выбор давления в камере сгорания двигателя






 

Давление в камере сгорания оказывает существенное влияние на параметры и габариты двигателя. С ростом давления, значительно возрастает температура Тк за счет уменьшения степени диссоциации продуктов сгорания, понижается температура на срезе сопла Та. Так как Ра - const,

 

 

А как известно Е — Pk/Pa, влияние же Тк мало, по сравнению с Е.

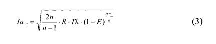
С ростом Рк температура на срезе сопла уменьшается. Таким образом, растет разность (Тк-Та), о следовательно растет и удельный импульс двигателя, т.к.:

С ростом давления в камере сгорания возрастает термический КПД двигателя:

 

Давление в камере сгорания обуславливает так же геометрию камеры и сопла. Площадь критического сечения при увеличении давления резко уменьшается за сет увеличения комплекса р и за счет обратной зависимости от Рк.

Соответственно, уменьшается и площадь на срезе сопла Fa, несмотря на рост Fa/Ркр:

Таким образом, увеличение давления в камере приводит к уменьшению всех размеров сопла и камеры, и следовательно, к уменьшению массы конструкции. С другой стороны, рост давления в камере сгорания приводит к необходимости ставить дополнительные ступени в насосах ТНА. Оптимальное давление в камере определяется аналитически. Максимально достижимое давление при критическом перепаде на турбине и оптимальном режиме внутреннего охлаждения, находится около значения Pk 25-30 мПа.

 


Поделиться с друзьями:

mylektsii.su - Мои Лекции - 2015-2026 год. (0.985 сек.)Все материалы представленные на сайте исключительно с целью ознакомления читателями и не преследуют коммерческих целей или нарушение авторских прав Пожаловаться на материал