Студопедия

Главная страница Случайная страница

КАТЕГОРИИ:

АвтомобилиАстрономияБиологияГеографияДом и садДругие языкиДругоеИнформатикаИсторияКультураЛитератураЛогикаМатематикаМедицинаМеталлургияМеханикаОбразованиеОхрана трудаПедагогикаПолитикаПравоПсихологияРелигияРиторикаСоциологияСпортСтроительствоТехнологияТуризмФизикаФилософияФинансыХимияЧерчениеЭкологияЭкономикаЭлектроника






Строение хинолина






Влияние атома азота на бензольное кольцо выражено слабее, чем на пиридиновое кольцо. Реакции электрофильного замещения протекают легче, чем в пиридине. Также протекают реакции нуклеофильного замещения, и хинолин проявляет основные свойства, как пиридин.

Химические свойства

Основные свойства

Образование солей с минеральными кислотами

Образование N-окисей

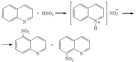
Реакции электрофильного замещения

Нитрование

Сульфирование

Ацилирование и формилирование провести не удается, так как используемые агенты являются слабыми электрофилами.

Нуклеофильное замещение

Аминирование

Реакция с гидроксидом калия

Алкилирование

Окисление


Поделиться с друзьями:

mylektsii.su - Мои Лекции - 2015-2026 год. (1.315 сек.)Все материалы представленные на сайте исключительно с целью ознакомления читателями и не преследуют коммерческих целей или нарушение авторских прав Пожаловаться на материал