Студопедия

Главная страница Случайная страница

КАТЕГОРИИ:

АвтомобилиАстрономияБиологияГеографияДом и садДругие языкиДругоеИнформатикаИсторияКультураЛитератураЛогикаМатематикаМедицинаМеталлургияМеханикаОбразованиеОхрана трудаПедагогикаПолитикаПравоПсихологияРелигияРиторикаСоциологияСпортСтроительствоТехнологияТуризмФизикаФилософияФинансыХимияЧерчениеЭкологияЭкономикаЭлектроника






Примеры решения задач. Задача 1.Два параллельных бесконечно длинных проводника расположены на расстоянии 20 см






Задача 1. Два параллельных бесконечно длинных проводника расположены на расстоянии 20 см. Найти магнитную индукцию поля, создаваемого токами, протекающими по проводникам в противоположных направлениях (сила тока одинакова и равна 10 А), в точке А, равноудалённой от проводников на расстояние 40 см.

Решение.

Физическая система состоит из двух проводников с током и создаваемого ими поля. Используем принцип суперпозиции для нахождения магнитной индукции

(5.7)

где - магнитная индукция поля проводника с током I 1,

 

– проводника с током I 2. Направления показаны на рис. 5.1. Ток, текущий от нас изображён крестиком, к нам – точкой. Модули В 1 и В 2 определим согласно (5.4): , . Так как по условию I 1 = I 2 = I, то   Рис. 5.1

. (5.8)

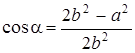
По теореме косинусов

или с учётом (5.8):

.(5.9)

Найдём cosa по теореме косинусов, записанной для треугольника DCA:

. (5.10)

Подставим (5.10) в (5.9):

или

.

Подставим числовые значения:

В Тл =2, 5мкТл

Ответ: .

Задача 2. Два бесконечно длинных прямых провода скрещены под прямым углом. По проводам текут токи I1 = 1 A, I 2 = 2 A. Расстояние между проводами равно 10 см. Определить магнитную индукцию в точке А, удалённой от провода с током I 2 на расстояние 10 см. (см. рис. 5.2)

Решение.

Магнитное поле в данной задаче создаётся двумя проводами с токами. Используем для нахождения магнитной индукции принцип суперпозиции:

, (5.11)

где - магнитная индукция в точке А поля, создаваемого током I 1; - магнитная индукция в точке А поля, создаваемого током I 2. Покажем на рис. 5.3 векторы и (вектор направлен от нас). Так как векторы перпендикулярны, модуль результирующего вектора определим по теореме Пифагора:

(5.12)

Значения В1 и В2 найдём в соответствии с (5.4):

(5.13)

Рис. 5.2 Рис. 5.3

 

Подставим (5.13) в (5.12) и, с учётом a = b, получим:

Подставляя числовые значения, получаем:

.

Ответ:

 

Задача 3. Используя принцип суперпозиции, найти магнитную индукцию поля в точке О, создаваемого дугой тонкого провода с током I = 10 А. Радиус дуги 10 см, дуга опирается на центральный угол p/3 радиан (рис. 5.4).

Решение.

Физическую систему составляют дуга провода с током и магнитное поле этого тока. Разобьём дугу на элементарные участки длиной dl и рассмотрим один из них. Магнитная индукция поля, создаваемого таким элементарным участком, определяется законом (5.1):

или для модуля dB:

, (5.14)

где a - угол между направлением тока на участке dl и направлением радиус-вектора, проведённого от dl к точке О, т.е. a = 90°. Направлен вектор , в соответствии с правилом правого винта, для любого участка дуги от нас.

Магнитную индукцию поля, создаваемого всей дугой, находим по принципу суперпозиции:

или (5.15)

Подставим (5.14) в (5.15) и учтём, что sin 90° = 1,

. (5.16)

    Рис. 5.4 Перейдём от dl к d g (см. рис. 5.4), чтобы упростить расчёт пределов интегрирования: dl = R d g.   Тогда (5.16) примет вид: (5.17) Подставляя в выражение (5.17) угол g в радианах, мы можем найти магнитную индукцию в центре любой дуги. Например, для окружности мы получим:  

.

В нашем случае g = p/3, следовательно:

. (5.18)

Легко заметить, что данная дуга представляет собой 1/6 часть окружности и магнитная индукция поля, создаваемого дугой, равна 1/6 магнитной индукции поля, создаваемого полной окружностью.

Подставим в (5.18) числовые значения и получим:

В» 10 –5 Тл = 10 мкТл.

 

Ответ: .

 

Задача 4. Бесконечно длинный провод изогнут так, как это показано на рис 5.5. Радиус дуги окружности R = 10 см. Определить магнитную индукцию в точке О, если по проводу протекает ток I = 20 А.

Решение.

Разобьём данный провод на три участка: I и III – прямолинейные, одним концом уходящие в бесконечность; II – дуга окружности (т.к. ей соответствует центральный угол в 120°, её длина равна трети окружности). Магнитную индукцию в точке О будем определять, используя принцип суперпозиции:

,

где - магнитные индукции полей, создаваемых выделенными участками провода с током. Так как точка О лежит на оси провода I, то B I = 0 и, следовательно,

.

  Рис. 5.5. Векторы направлены в соответствии с правилом правого винта от нас, а значит результирующий вектор , тоже направлен от нас (см.рис. 5.5). Модуль вектора В: В = В II + B III. (5.19) Величину В II найдём как треть от величины магнитной индукции в центре кругового тока (т.к. дуга равна трети окружности).  

В соответствии с (5.2) получим:

. (5.20)

 

Величину B III найдём согласно (5.5):

,

где r = R× sin a1; a1 = 30°, a2 = 180° (см. рис. 5.5). Тогда:

. (5.21)

Подставим (5.20) и (5.21) в (5.19):

.

После подстановки числовых значений получим:

 

Ответ: В = 1, 2 мкТл.

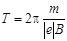
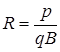
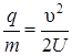
Задача 5. Протон, прошедший ускоряющую разность потенциалов U = 600 В, влетел в однородное магнитное поле с индукцией В = 0, 3 Тл и начал двигаться по окружности. Вычислить радиус R окружности.

Решение

Дано: Физическая система состоит из протона и

U = 600 В магнитного поля в котором он движется.

В = 0, 3 Тл Движение заряженной частицы в одно-

родном магнитном поле будет происходить по окружности

только в том случае, когда частица влетит в магнитное поле

R -? перпендикулярно линиям магнитной индукции В.

Т.к. сила Лоренца перпендикулярна вектору , то она сообщит

частице (протону) нормальное ускорение ап.

 

 

Рис. 6.1

 

Согласно второму закону Ньютона,

, (6.5)

где т – масса протона.

На рис. 6.1 совмещена траектория протона с плоскостью чертежа и дано (произвольно) направление вектора . Силу Лоренца направим перпендикулярно вектору к центру окружности (векторы и сонаправлены). Используя правило левой руки, определим направление магнитных силовых линий (направление вектора ).

Перепишем выражение (6.5) в скалярной форме (в проекции на радиус):

(6.6)

 

В скалярной форме . В нашем случае В и sinα = 1, тогда Так как нормальное ускорение ап = 2/ R, то выражение (6.6) перепишем следующим образом:

.

Отсюда находим радиус окружности:

.

 

Заметив, что m есть импульс протона (р), это выражение можно записать в виде

. (6.7)

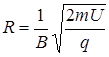
Импульс протона найдём, воспользовавшись связью между работой сил электрического поля и изменением кинетической энергии протона, т.е. A = Δ Wk, или

,

где - ускоряющая разность потенциалов (или ускоряющее напряжение U); и - начальная и конечная кинетические энергии протона.

Пренебрегая начальной кинетической энергией протона ( 0) и выразив кинетическую энергию через импульс р, получим

.

 

Найдём из этого выражения импульс и подставим его в формулу (6.7):

,

или

. (6.8)

 

Подставим в формулу (6.8) числовые значения физических величин и произведём вычисления:

м = 0, 0118 м = 11, 8 мм.

Ответ: = 11, 8 мм.

 

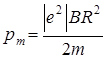
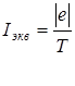
Задача 6. Электрон, влетев в однородное магнитное поле (В = 0, 2 Тл), стал двигаться по окружности радиуса R = 5 см. Определить магнитный момент рт эквивалентного кругового тока.

Решение

Дано: Физическая система состоит из электрона и магнитного поля, в

В = 0, 2 Тл котором он движется. Электрон начинает двигаться по окружности,
R = 5 см если он влетает в однородное магнитное поле перпендикулярно
линиям магнитной индукции. На рис. 6.2 линии магнитной индук-
рт -? ции перпендикулярны плоскости чертежа и направлен «от нас»
(обозначены крестиками).

 

 

Рис. 6.2

Движение электрона по окружности эквивалентно круговому току, который в данном случае определяется выражением

,

где е – заряд электрона; Т – период его обращения.

Период обращения можно выразить через скорость электрона и путь, проходимый электроном за период . Тогда

. (6.9)

 

Зная Iэкв, найдём магнитный момент эквивалентного кругового тока. По определению, магнитный момент контура с током выражается соотношением

 

(6.10)

где S – площадь, ограниченная окружностью, описываемой электроном

Подставив Iэкв из (1) в выражение (2), получим

 

Сократим на π R и перепишем это выражение в виде:

 

(6.11)

В полученном выражении известной является скорость электрона, которая связана с радиусом R окружности, по которой он движется, соотношением (см. пример 1). Заменив Q на | е |, найдём интересующую нас скорость и подставим её в формулу (6.11):

.

 

Произведём вычисления:

 

А·м2 = 7, 03·10-12 А·м2 = 7, 03 пА·м2 .

 

Ответ: = 7, 03 пА·м2 .

Задача 7. Электрон движется в однородном магнитном поле (В = 10 мТл) по винтовой линии, радиус R которой равен 1 см и шаг h = 6 см. Определить период Т обращения электрона и его скорость .

Решение

Дано: Физическая система состоит из электрона и магнитного поля.

В = 10 мТл Электрон будет двигаться по винтовой линии, если он влетает

R = 1 см в однородное магнитное поле под некоторым углом (α = π /2)

h = 6 см к линиям магнитной индукции. Разложим, как это показано на

рис.6.3, скорость электрона на две

Т -? составляющие: параллельную вектору ||)

-? и перпендикулярную ему ().
Скорость || в магнитном поле не изменяется и обеспечивает перемещение электрона вдоль силовой линии. Скорость в результате действия силы Лоренца будет изменяться только по направлению (); в отсутствие параллельной составляющей ( || = 0) движение электрона происходило бы по окружности в плоскости, перпендикулярной магнитным силовым линиям).

 

Рис.6.3

Таким образом, электрон будет участвовать одновременно в двух движениях: равномерном перемещении со скоростью || и равномерном движении по окружности со скоростью . Период обращения электрона связан с перпендикулярной составляющей скорости соотношением

. (6.12)

Найдём отношение . Для этого воспользуемся тем, что сила Лоренца сообщает электрону нормальное ускорение . Согласно второму закону Ньютона можно написать

, или , (6.13)

где .

Сократив (6.13) на , выразим соотношение ( = ) и подставим его в формулу (6.12):

. (6.14)

Произведём вычисления:

Модуль скорости , как это видно из рис.6.3, можно выразить через и ||:

.

Из формулы (6.3) выразим перпендикулярную составляющую скорости:

.

Параллельную составляющую скорости || найдём из следующих соображений. За время, равное периоду обращения Т, электрон пройдёт вдоль силовой линии, т.е. h = T ||, откуда

|| .

Подставим вместо Т правую часть выражения (6.14), получим

|| =

Таким образом, модуль скорости электрона

= .

Произведём вычисления:

м/с = м/с, или 24, 6 Мм/с.

 

Ответ: = 3, 57 нс; = = /с.

 

 

Задача 8. Альфа-частица прошла ускоряющую разность потенциалов U = 104 В и влетела в скрещенные под прямым углом электрическое (Е = 10 кВ/м) и магнитное (В = 0, 1 Тл) поля. Найти отношение заряда альфа-частицы к её массе, если, двигаясь перпендикулярно обоим полям, частица не испытывает отклонений от прямолинейной траектории.

Дано: Решение.

U = 104 В Физическая система состоит: α -частица, электрическое и
Е = 10 кВ/м магнитное поле.

В = 0, 1 Тл Для того, чтобы найти отношение заряда q альфа-частицы к

её массе т, воспользуемся связью между работой

сил электрического поля и изменением кинетической энергии частицы

,

 

откуда . (6.15)

Скорость альфа-частицы найдём из следующих соображений. В скрещенных электрическом и магнитном полях на движущуюся заряженную частицу действуют две силы:

а) сила Лоренца , направленная перпендикулярно скорости и вектору магнитной индукции ;

б) кулоновская сила , сонаправленная с вектором напряженности электростатического поля (q > 0). На рис. 6.4 направим вектор магнитной индукции вдоль оси Oz, скорость - в положительном направлении оси Ох, тогда и будут направлены так, как показано на рисунке.

Альфа-частица не будет испытывать отклонения, если геометрическая сумма сил = будет равна нулю. В проекции на ось Оy получим следующее равенство (при этом учтено, что и sinα = 1):

 

qE – q B = 0,

откудa .

 

 

Рис. 6.4

 

Подставив это выражение скорости в формулу (6.15), получим

Произведём вычисления:

Кл/кг = 4, 81·107 Кл/кг = 48, 1 МКл/кг.

 

Ответ: = 48, 1 МКл/кг.

Задача 9. По двум параллельным прямым проводам длиной l =2, 5 м каждый, находящимся на расстоянии d = 20 см друг от друга, текут одинаковые токи I = 1 кА. Вычислить силу взаимодействия токов.

 

Дано: Решение.

l =2, 5 м Физическая система состоит: 2 провода с током и их магнит-
d = 20 см ные поля. Взаимодействие двух проводов, по которым текут

I = 1 кА токи, осуществляется через магнитное поле. Каждый ток создаёт магнитное поле, которое действует на другой провод

F -? Предположим, что оба тока (обозначим их для удобства I 1 и
I 2) текут в одном направлении. Ток I 1 создаёт в месте распо-

ложения второго провода (с током I 2) магнитное поле.

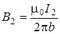
Проведём линию магнитной индукции (пунктир на рис.6.6) через второй провод и по касательной к ней – вектор магнитной индукции . Модуль магнитной индукции В 1 определяется соотношением

. (6.20)

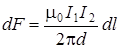
Согласно закону Ампера, на каждый элемент второго провода с током I 2 длиной dl действует в магнитном поле сила

.

Так как вектор перпендикулярен вектору , то = 1 и тогда

 

.

Подставив в это выражение В 1 согласно (6.19), получим

 

.

 

 

 

Рис. 6.6

 

Силу F взаимодействия проводов с током найдём интегрированием:

.

Заметив, что I 1 = I 2, получим

.

Произведём вычисления:

Н = 2, 5 Н.

Сила сонаправлена с силой (рис.6.6) и определяется правилом правого винта.

 

Ответ: = 2, 5 Н.

 

 


Поделиться с друзьями:

mylektsii.su - Мои Лекции - 2015-2026 год. (1.083 сек.)Все материалы представленные на сайте исключительно с целью ознакомления читателями и не преследуют коммерческих целей или нарушение авторских прав Пожаловаться на материал