Студопедия

Главная страница Случайная страница

КАТЕГОРИИ:

АвтомобилиАстрономияБиологияГеографияДом и садДругие языкиДругоеИнформатикаИсторияКультураЛитератураЛогикаМатематикаМедицинаМеталлургияМеханикаОбразованиеОхрана трудаПедагогикаПолитикаПравоПсихологияРелигияРиторикаСоциологияСпортСтроительствоТехнологияТуризмФизикаФилософияФинансыХимияЧерчениеЭкологияЭкономикаЭлектроника






Ограниченные числовые множества. Точные грани числовых множеств






Лекция №4

 

Определение 1. Числовое множество называется ограниченным сверху (снизу), если существует число () такое, что для всех выполняется неравенство ().

Определение 2. Числовое множество, которое ограничено и сверху и снизу, называется ограниченным. Примерами ограниченных числовых множеств являются отрезок, интервал, полуоткрытый промежуток.

Число () называется верхней (нижней) границей множества .

Определение 3. Наименьшая из верхних границ непустого ограниченного сверху множества называется точной верхней гранью этого множества и обозначается (supremum).

Теорема 1. Непустое множество, ограниченное сверху, имеет точную верхнюю грань, притом единственную.

Теорема 2. Для того чтобы число было точной верхней гранью непустого числового множества , необходимо и достаточно, чтобы:

1) для всех выполнялось неравенство ;

2) для любого действительного числа нашлось такое , что .

Определение 4. Наибольшая из нижних границ непустого ограниченного снизу множества называется точной нижней гранью этого множества и обозначается (infimum).

Теорема 3. Непустое множество, ограниченное снизу, имеет точную нижнюю грань, притом единственную.

Теорема 4. Для того чтобы число было точной нижней гранью непустого числового множества , необходимо и достаточно, чтобы:

1) для всех выполнялось неравенство ;

2) для любого действительного числа нашлось такое , что .

Пример 1. Пусть , и , тогда

и .

Этот пример показывает, в частности, что нижняя и верхняя грани могут как принадлежать, так и не принадлежать самому множеству.

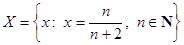
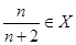
Пример 2. Пусть . Докажем, что , .

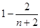
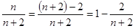
Решение. Для любого натурального числа имеем , а потому 1 – одна из верхних граней для . Предположим теперь, что . Тогда найдется такое , что . С другой стороны, , а потому при имеем . Из этого неравенства следует, что . Мы нашли, таким образом, элемент , такой, что . Итак, для множества и числа 1 выполнены оба сформулированных выше утверждения, и потому . Само число 1 не принадлежит .

Далее, имеем . Отсюда видно, что при увеличении разность увеличивается. Значит, наименьшее значение разности достигается при , и это значение равно . Таким образом, – наименьший элемент множества , а потому .


Поделиться с друзьями:

mylektsii.su - Мои Лекции - 2015-2026 год. (0.809 сек.)Все материалы представленные на сайте исключительно с целью ознакомления читателями и не преследуют коммерческих целей или нарушение авторских прав Пожаловаться на материал