Студопедия

Главная страница Случайная страница

КАТЕГОРИИ:

АвтомобилиАстрономияБиологияГеографияДом и садДругие языкиДругоеИнформатикаИсторияКультураЛитератураЛогикаМатематикаМедицинаМеталлургияМеханикаОбразованиеОхрана трудаПедагогикаПолитикаПравоПсихологияРелигияРиторикаСоциологияСпортСтроительствоТехнологияТуризмФизикаФилософияФинансыХимияЧерчениеЭкологияЭкономикаЭлектроника






Влияние влаги на качество ограждений.






 

Тепловые потери зданий.

В холодный период года здания и соору­жения с положительными температурами внутреннего воз­духа, превышающими температуру наружного воздуха, ох­лаждаются за счет расхода теплоты через ограждающие кон­струкции, на нагревание воздуха, поступающего через открываемые ворота, двери и другие проемы, а также за счет инфильтрации (просачивания) через различные неплот­ности в ограждающих конструкциях. Тепловые потери зда­ний через ограждающие конструкции можно восполнить в холодный период года за счет теплоты, выделяемой техно­логическим оборудованием, нагретыми материалами, а также вследствие инсоляции. Эти расходы теплоты назы­вают тепловыми потерями зданий и делят на основные и добавочные.

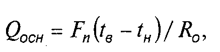
Основные потери теплоты Qосн определяют суммирова­нием потерь теплоты через отдельные ограждающие кон­струкции:

где F – расчетная площадь ограждающей конструкции, м2.

 

Добавочные потери теплоты Qдоб определяют в долях единицы или в процентах от основных потерь по СНиП 2.04.05-86 «Отопление, вентиляция, кондиционирование воздуха». Так, для ограждающих конструкций, обращен­ных на север, восток, северо-восток, северо-запад, добавоч­ные потери теплоты принимают равными 10%, на юго-во­сток и запад – 5% от основных. Если добавочные потери теплоты для данного ограждения устанавливают по направ­лениям инфильтрации воздуха, то их суммируют и добав­ляют к основным потерям этой ограждающей конструкции. Общие тепловые потери Qm.n. (в Вт) определяют как сум­му основных Qосн и добавочных Qдоб потерь:

Для поддержания температуры воздуха в помещении на данном уровне должно соблюдаться равенство Qom+ Qm.в. = Qm.n., которое выражает тепловой баланс помещения. От­сюда можно определить мощность нагревательных прибо­ров отопления Qm.n. = Qm.n – Qm.в.

 


Поделиться с друзьями:

mylektsii.su - Мои Лекции - 2015-2026 год. (1.385 сек.)Все материалы представленные на сайте исключительно с целью ознакомления читателями и не преследуют коммерческих целей или нарушение авторских прав Пожаловаться на материал