Студопедия

Главная страница Случайная страница

КАТЕГОРИИ:

АвтомобилиАстрономияБиологияГеографияДом и садДругие языкиДругоеИнформатикаИсторияКультураЛитератураЛогикаМатематикаМедицинаМеталлургияМеханикаОбразованиеОхрана трудаПедагогикаПолитикаПравоПсихологияРелигияРиторикаСоциологияСпортСтроительствоТехнологияТуризмФизикаФилософияФинансыХимияЧерчениеЭкологияЭкономикаЭлектроника






Маркировка сталей и сплавов






ОТЧЕТ

о лабораторном практикуме

По дисциплине: _ Материаловедение ______________________________

 

_____________________________________________________________

 

Отметка о зачете ____________________ _________________

(дата)

 

 

Руководитель ______________ ______________ ________________

(должность) (подпись) (и., о., фамилия)

 

Архангельск

 

ЛИСТ ЗАМЕЧАНИЙ

 

___________________________________________________________________________________________________________________________________________________________________________________________________________________________________________________________________________________________________________________________________________________________________________________________________________________________________________________________________________________________________________________________________________________________________________________________________________________________________________________________________________________________________________________________________________________________________________________________________________________________________________________________________________________________________________________________________________________________________________________________________________________________________________________________________________________________________________________________________________________________________________________________________________________________________________________________________________________________________________________________________________________________________________________________________________________________________________________________________________________________________________________________________________________________________________________________________________________________________________________________________________________________________________________________________________________________________________________________________________________________________________________________________________________________________________________________________________________________________________________________________________________________________________________________________________________________________________________________________________

 

Оглавление

1 Лабораторная работа №1 «Определение содержания лиственных пород древесины» 5

2 Лабораторная работа №2 «Определение влажности щепы». 7

3 Лабораторная работа №3 «Определение базисной плотности технологической щепы» 8

4 Лабораторная работа №4 «Определение толщины». 10

5 Лабораторная работа №5 «Определение массы 1м2 бумаги». 11

6 Лабораторная работа №6 «Определение плотности и удельного объема бумаги» 12

7 Лабораторная работа №7 «Определение влажности». 13

8 Лабораторная работа №8 «Определение зольности». 14

9 Лабораторная работа № 9 «Испытание материалов на растяжение». 16

10 Лабораторная работа № 10 «Испытание материалов на изгиб». 18

11 Лабораторная работа № 11 «Определение вязкости разрушения». 24

12 Лабораторная работа № 12 «Поверхностная впитываемость воды при одностороннем смачивании коббх». 27

13 Лабораторная работа № 13 «Определение сопротивления продавливанию». 29

14 Лабораторная работа № 14 «Определение марки продукции». 31

15 Маркировка сталей и сплавов. 32

16. Расчет качественных показателей по данным испытания при одноосном статическом растяжении; посторение и обработка кривой зависимости «напряжение – девормация» 34

16.1 Преобразование диаграмм Р-Δ l в интегральную зависимость σ -ε. Материал №1 34

16.1 Преобразование диаграмм Р-Δ l в интегральную зависимость σ -ε. Материал №2 38

1 Лабораторная работа №1 «Определение содержания лиственных пород древесины»

Цель работы: определить массовую долю лиственных и хвойных пород в
100 г технологической щепы.

Для проведения испытания отбирают около 100 г технологической щепы, оставшейся на сите с отверстиями диаметром 10 мм при определении содержания остатка на ситах.

Щепу помещают в стакан из монель-металлической сетки, который в вою очередь, устанавливают в фарфоровый стакан и заливают 1% раствором перманганата калия с таким расчетом, чтобы вся проба была покрыта раствором. Через 2 минуты сетчатый стакан вынимают и технологическую щепу промывают водой для удаления раствора. После этого пробу в течении 2 минут обрабатывают 12% раствором соляной кислоты и снова промывают. Затем щепу обрабатывают 1% раствором аммиака в течении 1 минуты без промывания водой. Обработанная таким образом, щепа лиственных пород древесины приобретает пурпурно-красную окраску, а хвойных – желтую.

После обработки технологическую щепу слегка отжимают фильтровальной бумагой, сортируют по цвету и взвешивают.

Подсчет результатов испытаний

Массовую долю лиственных пород с точностью до 0, 1% вычисляют по формуле:

,

где m1– масса щепы лиственных пород, г;

m2 – масса щепы хвойных пород, г.

В результате опыта получены следующие данные:

m1=25, 77 г;

m2=129, 29г.

Произведем расчет по формуле

L=

Следовательно массовая доля лиственных пород в 100 г технологической щепы равна 16, 6%, а массовая доля хвойной пород 83, 4%.

2 Лабораторная работа №2 «Определение влажности щепы»

Цель работы: определить влажность щепы.

Влажность щепы является одним из важнейших факторов, влияющих на ход варочного процесса. В производстве целлюлозы влажность обуславливает характер пропитки щепы кислотой, а в производстве сульфатной целлюлозы – объем щелоков, закачиваемый варочный котел. Поэтому определение влажности при анализе щепы считается обязательным.

Для определения влажности навеску около 100 г высушивают до постоянной массы при температуре 100 – 105 оС.

Подсчет результатов

Влажность определяют в % с точностью до 0, 1 по следующей формуле:

,

где m1 – масса навески щепы до сушки, г;

m2 – масса щепы после сушки, г.

В результате опыта получены следующие данные:

m1=100 г;

m2=92, 30 г.

Произведем расчет по формуле


Следовательно влажность образца щепы равно 7, 7%

3 Лабораторная работа №3 «Определение базисной плотности технологической щепы»

Базисная плотность древесины щепы – это отношение массы щепы (древесины) в абсолютно сухом состоянии к ее плотному объему при влажности равной или превышающей точку насыщения (более 30%).

Плотность древесины щепы при влажности ее Wabcw) определяется экспериментально. Для этого подготовленную пробу просеивают на анализаторе щепы в течение 15 секунд и отбирают нормальную фракцию щепы. Из нее вручную удаляют кору, сучки, засмолки и другие примеси. Из отсеянной щепы методом повторного квартования отбирают 2 пробы по 0, 5 кг: одну для измерения влажности, другую для определения плотности.

1. Взвесить стакан с сеткой (пикнометр) mст, г;

2. Заполнить пикнометр, не вынимая сетки, водой до метки:

3. Взвесить пикнометр с водой mст+в, г;

4. Объем пикнометра равен, мл:

V= mст+в - mст

5. Слить воду, высушить пикнометр, заполнить его щепой до метки, накрыть сеткой, взвесить, mст+щ, г;

6. Масса щепы составит, г:

mщ = mст+щ - mст

7. Долить пикнометр заполненный щепой, дистиллированной водой до метки, после чего его взвесить, mст+щ+в, г;

8. Объем, занимаемый водой, в этом случае составит, мл:

Vв = mст+щ+в - mст+щ

9. Объем, занимаемый щепой, составит, мл:

Vщ = V – Vв

Подсчет результатов испытаний

Базисная плотность рассчитывается по формуле:

,

где – базисная плотность древесины щепы, кг/м3;

Wabc – влагосодержание щепы, %;

ρ w – плотность древесины щепы при ее влажности Wabc, кг/м3.

Влагосодержание щепы рассчитывается как отношение массы воды в древесине к массе абсолютно сухой щепы:

,

Плотность щепы определяется с помощью пикнометра. Для расчета W следует выполнить ряд взвешиваний. Условно принимается, что масса воды численно равна занимаемому объему при ее плотности ρ 0= 1000 кг/м3, откуда ρ w, кг/м3:

,

В результате опыта получены следующие данные (влажность щепы возьмем из лабораторной работы №2):

mст= 150, 36 г;

mст+в= 661, 69 г;

mст+щ= 220, 11 г;

mст+щ+в= 571, 47 г;

Wabc = 7, 7%

Произведем расчеты по формулам:

V=661, 69-150, 36=511, 33 мл;

mщ=220, 11-150, 36=69, 75 г;

Vв=571, 47-220, 11=351, 36 мл;

Vщ=511, 33-351, 36=159, 97 мл;

ρ w= кг/м3;

ρ баз=0, 44 кг/м3.

4 Лабораторная работа №4 «Определение толщины»

Метод заключается в определении толщины бумаги при давлении подвижной пяткой измерительного прибора 0, 1 Мпа на площади контакта с измеряемой поверхностью 2 см2. Результаты выражают в микрометрах или миллиметрах. Для измерения толщины бумаги используются толщиномеры или микрометры различных систем, например толщиномер индикаторный типа ТНБ.

Перед определением из испытываемых листов бумаги вырезают образцы размером 200× 250 мм в количестве 10 штук при толщине бумаги более 15 мкм и 20 образцов при толщине 15 мкм и менее. Измерения проводят в пяти точках.

Находят среднее арифметическое результатов измерений и округляют его до 0, 1 мкм при толщине бумаги менее 30 мкм; до 1 мкм при толщине от 30 до 100 мкм включительно и до 10 мкм при толщине бумаги свыше 100 мкм.

Данные полученные в результате лабораторной работы представлены в таблице 1.1.

Таблица 1.1 – Данные измерения образцов картона

Номер образца Название материала: картон; 169, 44 г/м2
Направление испытания: машинное
Скорость испытания: 50 мм/мин
Активность длина образца: 250 мм
Ширина образца: 200 мм
Толщина образца, мкм
δ 1 δ 2 δ 3 δ 4 δ 5 δ ср
             
             
             
             
             

 

5 Лабораторная работа №5 «Определение массы 1м2 бумаги»

С помощью ножа или металлического шаблона вырезают 10 образцов бумаги размером 200 х 250 мм (отклонения не должны превышать ± 0, 5 мм). Метод определения основан на взвешивании испытываемых образцов на аналитических или лабораторных технических весах.

Масса 1 м2 бумаги, г,

,

где Σ m - суммарная масса образцов бумаги, г; n - количество образцов; (200 х 250)∙ 10-6 – площадь одного образца, м2.

Результат округляют до 0, 01 г/м2 при массе 1 м2 бумаги менее 25 г; до 0, 1 г/м2 - от 25 до 100 г включительно и до 1 г/м2— свыше 100 г.

В результате взвешивания были получены следующие результаты

Σ m=42, 36 г.

Произведем расчет по формуле:

m2= = 169, 44 г/м2

6 Лабораторная работа №6 «Определение плотности и удельного объема бумаги»

Плотность бумаги, т.е. массу 1 см3 бумаги в граммах, определяют, исходя из толщины и массы 1 м2 бумаги, определенных на одних и тех же образцах, г/см3,

,

где m - масса 1 м2, г; δ - толщина, мкм.

Удельный объём бумаги, см3 /г,

,

где m - масса 1 м2, г; δ - толщина, мкм.

Результаты в обоих случаях округляют до 0, 01.

Воспользовавшись измерениями в лабораторных работах №4, 5 и подставив значения в формулы, получим следующие данные, которые представлены в таблице 6.1

Таблица 6.1 – Значения плотности и удельного объема картона

Номер образца ρ, г/см3 V, см3
  0, 703 1, 422
  0, 703 1, 422
  0, 703 1, 422
  0, 700 1, 428
  0, 697 1, 434
Среднее значение: 0, 701 1, 425

 

 

7 Лабораторная работа №7 «Определение влажности»

Влажность бумаги обычно определяют высушиванием навески в сушильном шкафу при температуре 100... 105 °С до постоянной массы. В бюкс с притертой крышкой, предварительно высушенный до постоянной массы, помещают около 2 г бумаги и взвешивают с точностью до 0, 0002 г. Открытый бюкс и крышку помещают в сушильный шкаф и высушивают до постоянной массы при (105±2) °С. Первую сушку проводят не менее 0, 5 ч.

По окончании сушки бюкс закрывают крышкой, помещают в эксикатор для охлаждения до температуры окружающего воздуха и взвешивают. Масса считается постоянной, если после повторного высушивания в течение 0, 5 ч разность масс при взвешивании не будет превышать 0, 1 % от первоначальной навески.

Влажность бумаги, %,

,

где mб - масса пустого бюкса, г; mб1 - масса бюкса с навеской до высушивания, г; mб2 - масса бюкса с навеской после высушивания, г.

В результате опыта были получены следующие данные:

mб1=0, 95 г

mб2=0, 95 г

m(б+н)1=1, 02 г

m(б+н)2=1, 01 г

Произведем расчет по формуле:

= 6, 9% 6, 4%

= 5, 9%

 

 

8 Лабораторная работа №8 «Определение зольности»

Навеску бумаги около 2 г, взвешенную с точностью до 0, 0002 г, нарезают на небольшие полоски и помещают в прокаленный и доведенный до постоянной массы фарфоровый тигель, затем ее обугливают в муфельной печи при температуре (300±10) °С. Обугливание можно производить на электрической плитке под тягой. Следует избегать воспламенения бумаги в процессе обугливания, так как это ведет к потере золы. Тигель с обугленной бумагой прокаливают в муфельной печи при температуре (800±50) °С в течение 2 часов.

Вынутый из муфеля тигель охлаждают в эксикаторе до комнатной температуры, а затем взвешивают с точностью до 0, 0002 г. Значение влажности бумаги возьмем из лабораторной работы №7.

Массовая доля золы в процентах к абсолютно сухой бумаге

,

где mт1 - масса прокаленного тигля с золой, г; mт - масса прокаленного тигля, г; mт2- навеска воздушно-сухой бумаги, г; W – влажность бумаги, %.

За результат принимают среднее арифметическое двух параллельных определений с точностью: до 0, 01 % - при зольности до 1 %; до 0, 1 % - при зольности от 1 до 10 %; до 1 % - свыше 10 %.

В результате опыта в первом тигле были получены следующие данные

mт1=61, 82 г

mт2=78, 26 г

В результате опыта во втором тигле были получены следующие данные

mт1=61, 84 г

mт2=78, 29 г

Влажность в обоих опытах возьмем равную 7%

Произведем расчет по формуле

Найдем среднее арифметическое двух параллельных определений с точностью до 0, 1 %, следовательно З=1, 35%

Таблица 8.1 – Результаты зольности трех бригад

  Валерия Илья Алина
З1 1, 2 1, 1  
З2 2, 1 1, 4  
Зср 1, 65 1, 25  

 

9 Лабораторная работа № 9 «Испытание материалов на растяжение»

Цель работы: Испытать образцы картона на растяжение.

Краткое описание проведения эксперимента:

1) Нарезаем образцы картона шириной (15 ±0, 1) мм и активной длиной образца 100 мм.

2) Включаем вертикальную разрывную машину ИП 5158-0, 5Б и ПЭВМ, запускаем программу KOMPLEX.

3) Вводим данные в созданный файл для записи данных.

4) Испытываем образец на разрывной машине, убеждаемся, что испытание завершено корректно, произошло разделение испытуемого образца на части, а линия разрыва расположена на расстоянии более 10 мм от зажимов.

5) Передаем данные с разрывной машины на компьютер, сохраняем данные.

6) Для расчета разрывной длины, часть образца, участвующая в испытании, взвешивается, масса образца (мг) заносится в главное окно.

 

 

 


3

 

Рисунок 9.1 – Схема закрепления образца (2) в подвижном (1) и неподвижном (3) зажимах.

Таблица 9.1 – Исходные данные для образцов картона

Номер образца Название материала: картон, масса 115 г/м2
Направление испытания: машинное
Скорость испытания: 50 мм/мин
Активная длина образца: 100 мм
Ширина образца: 15 мм
Толщина образца, мкм
δ 1 δ 2 δ 3 δ ср
         
         
         
         
         
         

Таблица 9.2 – Исходные данные для образцов картона

Номер образца Название материала: картон, масса 115 г/м2
Направление испытания: поперечное
Скорость испытания: 50 мм/мин
Активная длина образца: 100 мм
Ширина образца: 15 мм
Толщина образца, мкм
δ 1 δ 2 δ 3 δ ср
         
         
         
         
         
         

Протокол результатов обработки вложен в отчет.


 

10 Лабораторная работа № 10 «Испытание материалов на изгиб»

Цель работы: измерить силу, приложенную к свободному концу консольно закреплённого образца на постоянном расстоянии от линии закрепления, изгибающую его на определённый угол.

Оборудование для испытаний.

Прибор Бюхеля 116-BD - предназначен для исследования эластичных материалов, металлических листовых материалов, а также тел, имеющих в сечении круг при максимальной нагрузке не более 1000 кН.

Подготовка к испытанию: Образцы из картона вырезают в двух взаимно перпендикулярных направлениях шириной 38 мм и длиной 80 мм.

Проведение испытания:

1. Образец закрепляют в зажим, выравнивая его по горизонтальной оси. Свободный конец не должен испытывать никаких воздействий, кроме трения индикатора или регистрирующего устройства, а сам образец должен быть правильно установлен.

2. Стандартный угол изгиба составляет 15 град. Каждый образец изгибают в одну сторону от исходного положения. Угол изгиба должен быть зафиксирован в протоколе испытания.

Показания приборов снимают по достижении заданного угла изгиба образца поочередно в каждом направлении, результаты зафиксированы в таблицы 10.1 и 10.2.

 

Таблица 10.1 – Результаты испытаний на изгиб образцов картона

Номер образца Название материала: картон, масса 169.44 г/м2
Направление испытания: поперечное
Угол изгиба: 15 град
Активная длина образца: 25 мм
Нагрузка, мН
Р1 Р2 Рср
       
       
       
       
       
       
       
       
       
       

Таблица 10.2 – Результаты испытаний на изгиб образцов картона

Номер образца Название материала: картон, масса 169.44 г/м2
Направление испытания: машинное
Угол изгиба: 15 град
Активная длина образца: 25 мм
Нагрузка, мН
Р1 Р2 Рср
       
       
       
       
       
       
       
       
       
       

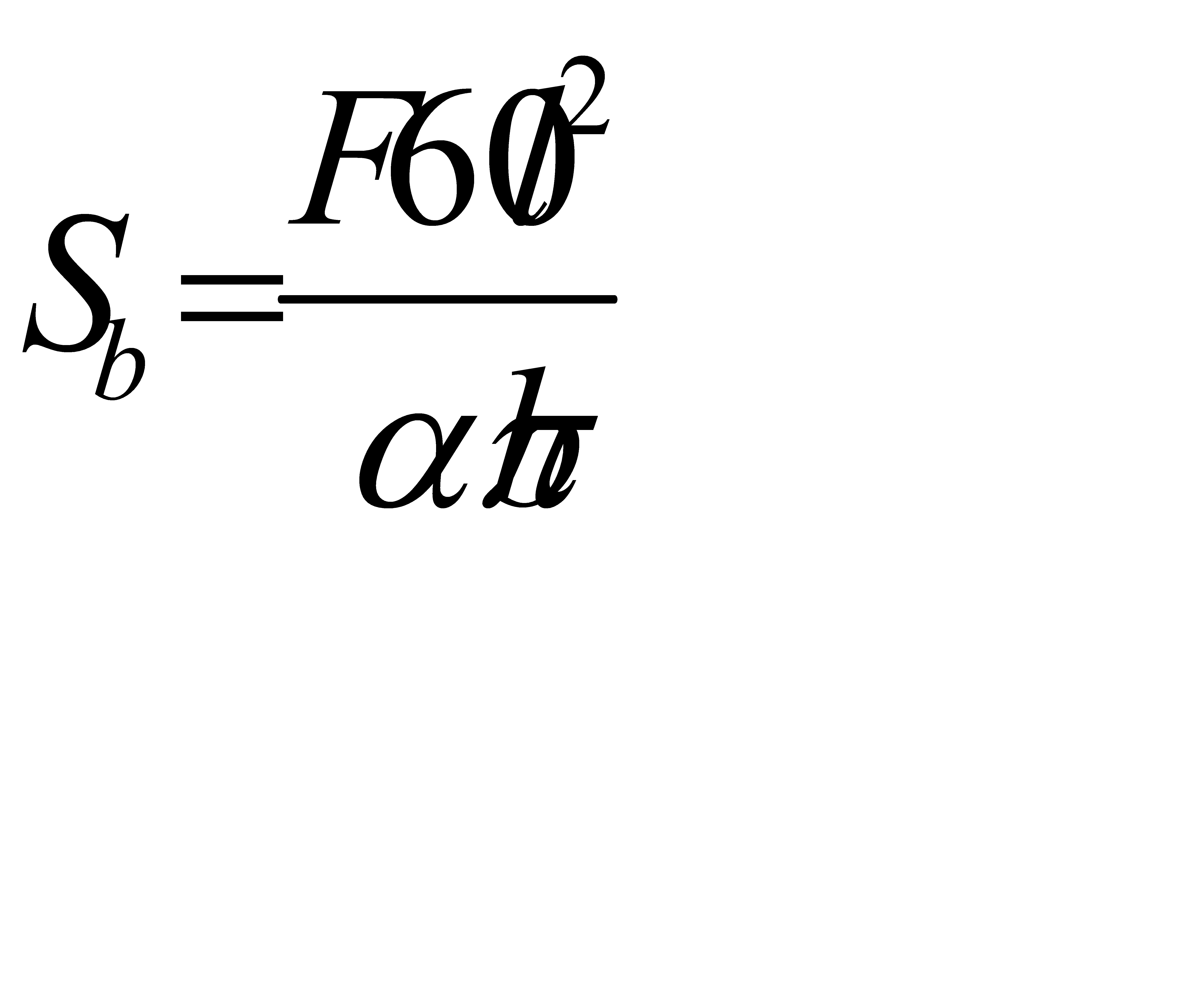
Расчет жесткости при изгибе осуществляется по формуле:

, (10.1)

где F – нагрузка, мН;

l – активная длина образца, см;

α – угол изгиба образца, град;

b – ширина образца, b=3, 8 см.

Рассчитаем жесткость при изгибе для 1 образца поперечного направления:

(мН∙ см2).

 

Таблица 10.3 – Расчетные данные жесткости при изгибе Sb

Номер образца Жесткость при изгибе Sb, мН∙ см2
машинное направление поперечное направление
  157, 1 55, 5
  171, 8 58, 6
  181, 2 55, 5
  155, 0 42, 9
  181, 2 51, 3
  185, 4 58, 6
  147, 7 57, 6
  142, 5 62, 8
  174, 9 55, 5
  196, 9 77, 5

Проводим анализ результатов в машинном направлении.

Вариационный ряд: 244, 246, 257, 263, 267, 272, 279, 283, 286, 294

Количество интервалов:

Величина интервала:

Таблица 10.4 – Количество значений в интервалах (MD).

Интервал, *10-3 Количество значений
  244-257  
  257-270  
  270-283  
  283-296  

Рисунок 10.1 – Кривая распределения Гаусса картона (МD)

Статистическая обработка данных

Среднее арифметическое:

Среднеквадратическое отклонение среднего арифметического:

Коэффициент вариации:

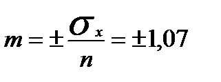
Ошибка среднего арифметического:

Достоверность среднего арифметического:

Проводим анализ результатов в поперечном направлении.

Вариационный ряд: 80, 84, 87, 88, 90, 94, 95, 95, 98, 102

Количество интервалов: .

Величина интервала:

Таблица 10.5 – Количество значений в интервалах (MD).

Интервал, *10-3 Количество значений
  80-86  
  86-92  
  92-98  
  98-104  

Рисунок 10.2 – Кривая распределения Гаусса для картона (CD)

Статистическая обработка данных

Среднее арифметическое:

Среднеквадратическое отклонение среднего арифметического:

Коэффициент вариации:

Ошибка среднего арифметического:

Достоверность среднего арифметического:

 

 

11 Лабораторная работа № 11 «Определение вязкости разрушения»

Цель работы: определить трещиностойкость картона.

Оборудование для проведения испытания.

Разрывная машина, снабжённая зажимами, позволяющими испытывать образцы шириной 15 и 50 мм. Пластины, предотвращающие изгиб образца, сохраняют плоскую поверхность надрезанных испытуемых образцов в процессе испытания. Компьютер, используется для выполнения расчетов.

Подготовка к проведению испытания.

Для определения трещиностойкости бумаги и картона, проводятся две серии испытаний на растяжение с постоянной скоростью на разрывной машине ИП5158-0, 5Б при скорости растяжения 100 мм/мин, и расстоянии между зажимами разрывной машины 100 мм. В первой серии испытываются образцы, шириной 15 мм, во второй - образцы, шириной 50 мм, с надрезом в центре, длиной 20 мм перпендикулярно продольной оси образца. Данные, полученные при этих испытаниях, записываются в файлы, которые используются при проведении расчетов на трещиностойкость. Расчеты производятся на компьютере по специально разработанной программе J-INTEGRAL. По результатам испытаний устанавливается связь между величиной j-интеграла и удлинением. По экспериментальным данным испытаний на трещиностойкость определяется критическое удлинение. По значению критического удлинения определяется критическая величина j-интеграла, которая является характеристикой трещиностойкости.

Проведение испытания.

Испытание на растяжение. Целью испытания на растяжение является построение типичной средней кривой нагрузка-удлинение, по которой рассчитываются параметры материала. Испытываются образцы материала, шириной 15 мм, вырезанные в машинном (MD) и поперечном машинному (CD) направлениях, или из лабораторных отливок.

Испытание на трещиностойкость. Перед испытанием на образец с надрезом устанавливают пластины, предотвращающие изгиб образца. Испытания проводят до получения не менее 5 удовлетворительно сходящихся результатов для образцов в машинном (MD), в поперечном машинному (CD) направлениях или из лабораторных отливок.

Испытания проводят отдельно для картона машинного и поперечного направлений. Результаты записывают в таблицу 11.1 и таблицу 11.2.

 

 

2

 

 


 

 

4

 

Рисунок 11.1– Образец испытания на трещиностойкость: 1 – участок образца, закрепленный в зажиме разрывной машины; 2 – участок образца, подвергаемого напряжению; 3 – надрез; 4 – удлинение образца при испытании.

 

 

Таблица 11.1 - Исходные данные для образцов картона при испытании на трещиностойкость для образцов в поперечном направлении.

Номер образца Название материала: картон, масса 170 г/м2
Направление испытания: поперечное
Активная длина образца: 100 мм
Коэффициент Пуассона: 0, 298
Толщина образца, мкм, при ширине, мм
   
     
     
     
     
     
     

 

Таблица 11.2 – Исходные данные для образцов картона при испытании на трещиностойкость для образцов в машинном направлении.

Номер образца Название материала: картон, масса 170 г/м2
Направление испытания: машинное
Активная длина образца: 100 мм
Коэффициент Пуассона: 0, 298
Толщина образца, мкм, при ширине, мм
   
     
     
     
     
     
     

Протокол результатов обработки вложен в отчет.

 

 


 

12 Лабораторная работа № 12 «Поверхностная впитываемость воды при одностороннем смачивании коббх»

Сущность метода заключается в определении массы воды в граммах поглощенной поверхностью картона при смачивании одной стороны испытуемого образца при определенных условиях в течение установленного времени, по разности взвешивания до и после смачивания.

Поверхностная впитываемость воды при одностороннем смачивании (Коббх): Расчетная масса воды, поглощенная поверхностью картона площадью 1м2 за установленное время х при определенных условиях.

Подготовка образцов для испытания: Из каждого отобранного листа пробы вырезают по одному образцу размером (125±2)× (125±2) мм.

Образцы должны быть без складок, вмятин, морщин, трещин, дыр, водных знаков или других дефектов, на их поверхности не должно быть печати.

Проведение испытаний: Испытывают пять образцов, испытуемый образец взвешивают с точностью до 0, 01 г. Затем образец помещают на плоское основание испытуемой стороной к воде. Цилиндр шлифованным торцом ставят на испытуемый образец и плотно зажимают, чтобы предотвратить просачивание воды между цилиндром и испытуемым образцом. В сосуд прибора наливают (100±5) см3 воды и включают секундомер. Воду сливают через 45 с, быстро отпускают зажимы и снимают цилиндр. Испытуемый образец помещают испытуемой стороной вверх на лист сухой бумаги для промокания. Через 60 с с начала испытания испытуемый образец накрывают другим листом бумаги для промокания и удаляют избыточную воду при помощи отжимного валика, прокатывая его дважды, не прилагая дополнительного усилия. Сразу после испытания испытуемый образец немедленно взвешивают, чтобы предотвратить потерю влаги за счет испарения.

Обработка испытаний: Поверхностную впитываемость воды при одностороннем смачивании Коббх, г/м2, для каждого испытуемого образца картона вычисляют по формуле:

,

где m2 – масса образца после испытания, г; m1 – масса образ2цца до испытания, г; А – площадь испытуемой поверхности, см2.

Таблица 12.1 – Данные для образцов картона при испытании на поверхностную впитываемость воды при одностороннем смачивании Кобб60

Номер образца А, см2 m1, г m2, г Кобб60
  156, 25 2, 62 2, 87  
  2, 64 2, 90 16, 64
  2, 70 2, 97 17, 28
  2, 61 2, 90 18, 56

Статистическая обработка данных

Среднее арифметическое:

Среднеквадратическое отклонение среднего арифметического:

 

13 Лабораторная работа № 13 «Определение сопротивления продавливанию»

Сопротивление продавливанию является одним из основных показателей прочности многих видов бумаг, хотя и является чисто эмпирическим критерием, зависящим как от сопротивления разрыву, так и от растяжимости. Различают абсолютное сопротивление продавливанию, относительное сопротивление продавливанию - приведенное к массе 1 м2 бумаги 100 г и индекс продавливания - абсолютное сопротивление продавливанию отнесенное к массе 1 м 2 бумаги. Сопротивление продавливанию равно максимальному давлению, которое выдерживает непосредственно перед разрушением образец бумаги в форме кружка диаметром (30, 5±0, 025) мм.

Метод заключается в том, что на зажатый по окружности образец бумаги воздействует постепенно и равномерно нарастающее гидростатическое давление, передаваемое через резиновую диафрагму, которое фиксируется в момент разрушения образца. Сопротивление бумаги продавливанию определяют на приборах ПГБ, ПР-1 или СПБ.

Таблица 13.1 – Данные для образцов картона при испытании на определение сопротивления продавливанию

Номер образца Абсолютное сопротивление, кПа Сопротивление с учетом мембран, кПа
     
     
     
     
     

Статистическая обработка данных сопротивления с учетом мембран

Среднее арифметическое:

Среднеквадратическое отклонение среднего арифметического:

Коэффициент вариации:

 

Статистическая обработка данных абсолютного сопротивления

Среднее арифметическое:

Среднеквадратическое отклонение среднего арифметического:

Коэффициент вариации:

14 Лабораторная работа № 14 «Определение марки продукции»

Таблица 14.1 – Сравнение данных

Наименование показателя ГОСТ Фактическое значение
Масса картона площадью 1м2, г   169, 44
Толщина, мм    
Абсолютное сопротивление продавливанию, кПа    
Поверхностная впитываемость воды по Коббу верхней стороны, г/м2   17, 12
Влажность, %   6, 4

 

Маркировка сталей и сплавов

Вариант 13

Ст 3 – сталь углеродистая, обыкновенного качества, конструкционная, условный номер 3.

ВЧ 50 – высокопрочный чугун, характеризующийся пределом прочности при растяжении 50*10-1 МПа.

КЧ 70-12 – ковкий чугун, характеризующийся пределом прочности при растяжении 70*10-1МПа и относительным удлинением 12%.

АД 12 – алюминиевый деформируемый(обрабатываемые давлением) с условным номером 12.

Бр А9Мц2Л – бронза, литейная, безоловянная содержащая: 9% алюминия, 2% марганца.

Бр О3С12Л – бронза, литейная, оловянная содержащая: 3% олова, и 12% свинца.

АМц12– сплав для сварных конструкций алюминиево-марганцевый с порядковым номером 12.

Сталь 12Х25Н16ГМ7Р – качественная, легированная, содержащая 0, 12% углерода, 25% хрома, 16% никеля, 7% марганца, 1% бора.

Сталь У12А – инструментальная, углеродистая, высококачественная, содержащая 1, 2% углерода.

Л70 – обрабатываемая давлением латунь, содержащая 70% меди.

 

ЗАДАЧА

Рассчитать предел прочности алюминиевого образца на растяжение, если при испытании образца диаметром 10 мм получили нагрузку 650 кгс.

Дано:

d = 10мм

F = 650 кгс

Найти: σ =?

 

Решение:

650 кгс=9.81*650=6376, 5 Н

σ =F/ *d2

σ =4*F/ *d2

σ =4*6376, 5/3.14*100=81, 2 Мпа.

 


 

16. Расчет качественных показателей по данным испытания при одноосном статическом растяжении; посторение и обработка кривой зависимости «напряжение – девормация»


Поделиться с друзьями:

mylektsii.su - Мои Лекции - 2015-2026 год. (0.985 сек.)Все материалы представленные на сайте исключительно с целью ознакомления читателями и не преследуют коммерческих целей или нарушение авторских прав Пожаловаться на материал