Студопедия

Главная страница Случайная страница

КАТЕГОРИИ:

АвтомобилиАстрономияБиологияГеографияДом и садДругие языкиДругоеИнформатикаИсторияКультураЛитератураЛогикаМатематикаМедицинаМеталлургияМеханикаОбразованиеОхрана трудаПедагогикаПолитикаПравоПсихологияРелигияРиторикаСоциологияСпортСтроительствоТехнологияТуризмФизикаФилософияФинансыХимияЧерчениеЭкологияЭкономикаЭлектроника






Билет №19






Вопрос№1

Правило Рычага формулируется следующим образом: если одна фаза при изменении параметров системы разлагается на две другие фазы, то количественное соотношение образующихся фаз будет обратно пропорциональным длинам отрезков от точки состава исходной фазы до точек составов образующихся фаз.

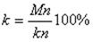
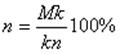
Поскольку Mk+Mn=kn, количественное содержание фаз, выраженное в процентах, можно найти из следующих выражений:

Содержание

 

ПРИМЕНЕНИЕ ПРАВИЛА РЫЧАГА В ДВУХКОМПОНЕНТНЫХ СИСТЕМАХ

Для двух компонентных систем применение правила рычага сводится к рассмотрению соответствующих коннод, концы которых показывают точки составов фаз, находящихся в равновесии, причем сама коннода вертикалью исходного состава делится на два отрезка, длины которых (в обратной пропорциональности) характеризуют количества равновесных фаз. Предположим, что исходный расплав состава М' (рис. 75) охлажден до температуры t. При этой температуре в равновесии находятся жидкая фаза, состав которой выражается точкой п, и твердая фаза (кристаллы соединения АВ), состав которой выражается точкой k, лежащей на вертикали состава соединения АВ. Исходный состав можно выразить точкой М лежащей на пересечении конноды nk с вертикалью исходного состава М'т (составы М' и М одинаковы). По правилу рычага содержание при температуре t жидкой фазы (точка п) я кристаллической фязы АВ (точка k) определится из выражении.

Содержание жидкой фазы ; содержание кристаллов

 

Вопрос№2. диаграмма состояния системы SiO2. скорость фазовых превращений в системе при изменен температуры и влияние на

Единственным устойчивым оксидом кремения является кремнезем - SiO2. Эта диаграмма имеет существенное значение для технологии производства динасовых огнеупоров, изделий тонкой керамики (фарфор, фаянс), кварцевого стекла и т, д., в которых SiO2 является основной или весьма важной составной частью.

Кремнезем образует много полиморфных модификаций, из которых на диаграмме представлены только основные SiO2, встречающиеся в обычных условиях в природных и технических продуктах. SiO2 образует три главные модификации: кварц, тридимит и кристобалит, каждая из которых в свою очередь имеет несколько разновидностей-модификаций второго порядка; α - и β -кварц, α -, β - и γ -тридимт, α - и β -кристобалит.

Все кристаллические формы SiO2, представленные на диаграмме, могут быть разделены на две группы. К первой группе относятся формы, имеющие при нормальном давлении (при котором и была построена диаграмма Феннера) температурные области стабильного существования (на диаграмме они отмечены сплошными линиями). К ним относятся β -кварц (устойчив до 575°С), α -кварц (575... 870°С), α -тридимит (870... 1470°С) и α -кристобалит (1470... 1728°С). Ко второй группе относятся формы, которые при нормальном давлении существуют только в метастабильном состоянии (пунктирные линии на диаграмме): γ -тридимит (ниже 1200), β -тридимит (120... 163°С) и β -кристобалит (ниже 230°С). Последовательность фазовых переходов в системе SiO2 схематически удобно представить следующим образом:

Как видно из представленной схемы, все указанные на ней превращения являются энантиотропными. Превращения в пределах каждой главной формы, т. е. β -кварц↔ α -кварц, γ -тридимит↔ β -тридимит↔ α -тридимит и β -кристобалит↔ α -кристобалит (превращения в вертикальных рядах на схеме), относятся к полиморфным переходам со смещением во вторичной координационной сфере и происходят очень быстро. Это объясняется незначительными структурными изменениями при этих переходах ввиду сходства структур модификаций второго порядка (структуры модификаций второго порядка представляют собой несколько искаженные производные структур основных форм SiO2). В противоположность этому превращения между главными модификациями, т. е. а-кварц↔ α -тридимит↔ α -кристобалит (превращения в горизонтальном ряду на схеме) относятся к реконструктивным превращениям во вторичной координационной сфере и протекают при изменении температуры очень медленно, поскольку они связаны со значительной перестройкой структуры (превращения между главными модификациями значительно ускоряются в присутствии добавок— минерализаторов, например CaO, FeO и т. д.).

Весьма важным для практики, например при производстве динасовых огнеупоров, являются изменения плотности и объема при полиморфных превращениях SiO2. При переходе от низкотемпературных форм SiO2 к высокотемпературным плотность уменьшается, а удельный объем увеличивается. Наиболее плотная из представленных на диаграмме Феннера форм SiO2 β -кварц (плотность 2, 65-103 кг/м3), наименее плотная — кристобалит (2, 32-103 кг/м3). Объемные изменения при фазовых переходах в системе SiO2 (расширение при нагревании, сжатие при охлаждении) могут достигать весьма значительных величин (до 15%) и служить причиной разрушения изделий на основе SiO2 (например, динасового кирпича).

 


Поделиться с друзьями:

mylektsii.su - Мои Лекции - 2015-2026 год. (0.755 сек.)Все материалы представленные на сайте исключительно с целью ознакомления читателями и не преследуют коммерческих целей или нарушение авторских прав Пожаловаться на материал