Студопедия

Главная страница Случайная страница

КАТЕГОРИИ:

АвтомобилиАстрономияБиологияГеографияДом и садДругие языкиДругоеИнформатикаИсторияКультураЛитератураЛогикаМатематикаМедицинаМеталлургияМеханикаОбразованиеОхрана трудаПедагогикаПолитикаПравоПсихологияРелигияРиторикаСоциологияСпортСтроительствоТехнологияТуризмФизикаФилософияФинансыХимияЧерчениеЭкологияЭкономикаЭлектроника






Группа витамина С







1. КИСЛОТА АСКОРБИНОВАЯ (Acidum ascorbini-cum). Витамин С (Vitaminum С).

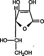
у-Лактон 2, 3-^дегидро-Ь-гулоновой кислоты:

СИНОНИМЫ: Acidum ascorbicum, Ascorbic Acid, Ascorbin, Ascorbit, Ascorvit, Cantan, Cantaxin, Cebione, Cecon, Celin, Ceneton, Cevalin, Cevex, Laroscorbine, Redoxon, Scorbu-mine, Vicin, Vitascorbol и др.1

Белый кристаллический порошок кислого вкуса. Легко растворим в воде (1: 3, 5), медленно растворим в спирте.


Аскорбиновая кислота (витамин С) содержится в зна­чительных количествах в продуктах растительного про­исхождения (плоды шиповника, капуста, лимоны, апель­сины, хрен, фрукты, ягоды, хвоя и др.). Небольшое ко­личество витамина С имеется в продуктах животного про­исхождения (печени, мозге, мышцах),

Аскорбиновая кислота играет важную роль в жизне­деятельности организма. Благодаря наличию в молекуле диенольной группы (—СОН=СОН—) она •бладает силь­но выраженными восстановительными свойствами. Уча­ствует в регулировании окислительно-восстановительных процессов, углеводного обмена, свертываемости крови, регенерации тканей, образовании стероидных гормонов. Одной из важных физиологических функций аскорбино­вой кислоты является соучастие в синтезе проколлагена и коллагена и нормализации проницаемости капилляров.

Организм человека не способен сам синтезировать ви­тамин С; потребность в нем удовлетворяется витамином, вводимым с пищей. Недостаток или отсутствие его при­водят к развитию гипо- или авитаминоза (цинги).

Суточная потребность в аскорбиновой кислоте со-


1 Различные зарубежные лекарственные формы витамина С (таблетки, «шипучие таблетки», драже и др.) зарегистрированы в Российской Федерации под названиями Аддитива витамин С, Витамин С Никомед, Витамин С Плюс, Жевательные таблетки с витамином C(Chewabler Tablets with Vitamin О, Мультитабс с витамином С, Таксофит витамин С, Целлаксан, Эффервесцене, Цетебене и др.

i



Поделиться с друзьями:

mylektsii.su - Мои Лекции - 2015-2026 год. (0.476 сек.)Все материалы представленные на сайте исключительно с целью ознакомления читателями и не преследуют коммерческих целей или нарушение авторских прав Пожаловаться на материал